Abstract
The geological conditions in coal mine tunnel construction are complex, the vibration impact of shield machine due to rock breaking easily leads to cutters failure, thus causing safety problems and causing economic losses. In order to explore the fault vibration characteristics of shield cutters in rock breaking process, numerical simulation of rock breaking of single-blade fault cutters is carried out based on finite element-multi-body dynamics coupling model. The accuracy and reliability of simulation results are verified by comprehensive application of dynamic energy conservation law and hourglass energy control theory, and the fault vibration characteristics of cutter center, cutter body outer side and rock surface outer side are analyzed, and the influence of penetration degree and blade type on fault vibration characteristics is explored. The result showed that: in the three stages of initial contact-leaving rock-secondary contact, the axial and lateral linear velocity of cutter body decreases sharply, the normal linear velocity increases sharply, and the axial and lateral angular velocity of cutter increases sharply at the initial stage of contact. During the second contact period, the axial and lateral linear velocity of the cutter body increases sharply, the normal linear velocity decreases sharply, and the axial and lateral angular velocity of the cutter decreases sharply, and an obvious deviation trend is formed. And that, the fault characteristics of eccentric grinding cutter will appear earlier than fracture cutter, but it takes longer to fully manifest, and the vibration intensity of cutter decreases significantly with the increase of wear degree. In addition, angular velocity and angular acceleration data on rock surface are derived by displacement gradient tensor and numerical differentiation method, and it is found that fault vibration characteristics are not obvious on the outer side of rock surface. Meanwhile, through conducting indoor shield fault roller cutter rock-breaking experiments, the accuracy and rationality of the numerical simulation were verified. This paper provides a theoretical basis for the identification of fault cutter in multi-cutter system and complex shield construction conditions.
Introduction
Shield machine (shield tunneling machine) as a key large-scale mechanical equipment for underground space development1, not only plays an important role in tunnel construction, but also has been widely used and developed in mine tunnel construction2. The cutter used in shield machine is mainly disc cutter. As the first part contacting rock during construction3, cutter head bears extremely high rock force and abrasion effect during rock breaking process. At the same time, it is affected by various complex geological factors in front of rock stratum, which leads to abnormal wear and failure of cutter head more easily than cutter head pane4; In addition, the shield machine is located in the underground space with complex and closed environment, and its compact structure and huge size make it difficult to move. Once the cutter failure accident occurs, failure to timely monitor and replace will prolong the construction period and cause huge economic losses5. Therefore, it is of great practical significance and engineering value to probe into the characteristics of rock breaking vibration of fault cutter and to identify the fault of shield machine cutter effectively.
At present, the research on rock breaking process of shield cutter mainly includes field construction measurement, indoor simulation test, theoretical analysis and numerical simulation6. Among them, the field construction can directly obtain the monitoring data of the rock breaking process of the cutter, which reflects the actual situation more truly. Yang et al.7 explored the correlation between cutter stress and wear in the pebble stone formation in the Yu-Wan interval. Xue et al.8 analyzed tool wear and bridge structural response based on Suzhou subway left line tunnel bridge pile project. However, due to the phenomenon of high temperature, high humidity and high dust concentration in the construction environment, it is difficult for the test device to operate stably for a long time, it takes a long time, it is easy to increase additional costs, and it affects the health and safety of the test personnel. Secondly, the rock breaking test of indoor cutter is mainly divided into linear cutting test and rotary cutting test, which are widely used because of the advantages of small sample size and less environmental interference. Zhang et al.9 explored the influence of blade shape on vibration characteristics of cutter through self-designed multi-mode TBM cutter rock-breaking experimental platform. Wang et al.10 carried out a study on the influence of penetration on cutter vibration by using linear cutting test platform. Zhou et al.11 studied the influence of penetration on the mechanical characteristics, rock breaking efficiency and debris generation characteristics of composite rock mass by using indoor cutter linear cutting test. Pan et al.12 carried out cutter linear cutting test under confining pressure condition, and explored the influence law of confining pressure on cutter force, cutting coefficient and cutting resultant force. But the cost of test instrument is high, and the similar rock simulation material can’t reflect the complex geological condition of rock stratum. In addition, in terms of theoretical analysis and research, Geng et al.13 put forward the concepts of unit wear work and equivalent wear function of hobbing edge from the perspective of energy, and analyzed the linear relationship between them. Wang et al.14 predicted the wear rate and life of cutter by improving Rabinowicz abrasive wear model. Zhang15 put forward a formula for calculating arc length of rock breaking point, and predicted wear amount according to arc length of rock cutting at each point on cutter circle. The Colorado School of Mines (CSM)16 proposed the Abrasion Index (CAI) to predict cutter life based on the different wear levels of different rocks on the hob cutter ring. The Norway University of Science and Technology (NTU) model17 proposes a cutter life index (CLI), i.e. a specific wear value (AV) is used to predict cutter life. Subsequently, Yang et al.18 and Su et al.19 combined the calculation model of rock breaking force of CSM cutter with the abrasive wear micromechanism proposed by Rabinowicz, effectively realizing the prediction of wear behavior in the process of rock breaking of disc cutter. With the rapid development of CAE analysis technology, numerical simulation method can accurately obtain various characteristics of cutter under various geological conditions in formation, greatly save the R & D cycle and reduce the R & D cost, and has broad application prospects. Tan20 et al. carried out numerical simulation on rock cutting by disc cutter using ANSYS-LS/DYNA software to analyze rock breaking mechanism of disc cutter and force law in rock breaking process. Zhang21 uses FLAC finite element software to carry out the influence of cutting depth and cutter spacing on rock breaking of cutter. Hu et al.22 studied the influence of different penetration and tunneling speed on rock fracture by using LS-DYNA software. Zhang23 et al. studied the influence of different cutting depth on the force and deformation of cutter by using ABAQUS finite element software. However, the existing researches on shield cutter mainly focus on wear degree and mechanical characteristics, and the understanding and identification of vibration characteristics between cutter and rock in fault state need to be improved urgently.
It is found that the existing research on shield cutter mainly focuses on wear mechanism and macroscopic mechanical response, but there is no systematic theoretical study on vibration characteristics between cutter and rock under fault state. The existing work is mostly limited to the analysis of linear acceleration vibration characteristics outside the normal cutter, which involves a single cutter type and sensor layout, which is difficult to fully understand and recognize the vibration response law of the fault cutter, and limits the identification and early warning ability of the abnormal state of the cutter in practical engineering. At the same time, scholars generally ignore the influence of mesh shape and quality scaling factor on dynamic response accuracy in numerical simulation research, which reduces the reliability and applicability of their research. Therefore, We combining with the vibration mechanism of shield cutter breaking rock, this paper takes single-blade cutter as the research object, establishes the finite element-multi-body dynamics coupling model through ABAQUS numerical simulation platform, and carries out the rock breaking simulation of single-blade fault cutter. The validity and accuracy of the numerical model calculation results are verified by comprehensive application of dynamic energy conservation law and hourglass energy control theory. At the same time, angular velocity and angular acceleration data on rock are deduced by displacement gradient tensor and numerical differentiation method, and analyzed from three different angles of cutter center, cutter body outer side and rock surface outer side respectively, revealing rock breaking vibration characteristics of fault cutter, exploring the influence law of penetration degree and blade shape on it, and carrying out indoor rock-breaking experiment of shield fault cutter, verifying the rationality of numerical simulation, It provides theoretical basis for effective identification of fault cutter in shield machine multi-cutter system and actual shield construction scene.
Establishment of rock breaking simulation of single-blade fault Cutterh
Rock breaking vibration mechanism of cutter
During the construction of shield machine, the cutter head is pushed forward by the power provided by hydraulic system, the front point of disc cutter directly contacts with the rock surface, the cutter extrudes it, and the blade gradually penetrates into the rock interior, thus causing cracks in the rock. As the cutter head rotates under the action of torsion force, the cutter not only revolves around the central axis of the cutter head, but also rotates around its own axis, converting mechanical energy into crushing energy for rock, effectively promoting the further expansion of cracks in rock24, and continuously generating new cracks in a cycle25, and finally realizing effective crushing of rock.
In this process, the accumulated elastic strain energy is released instantaneously through the disintegration of rock fragments, forming an initial vibration source dominated by high frequency shock waves, thus causing the vibration of the cutter. The vibration mainly includes two forms: one is normal vibration of tool-rock contact surface, which is characterized by high-frequency impact vibration perpendicular to excavation surface, and its frequency spectrum characteristics are controlled by rock fracture toughness and tool penetration speed; the other is tangential vibration induced by tool rotation movement, showing low-frequency modulation characteristics. Figure 1 shows the working principle of shield cutter breaking rock.
Applicability analysis of simulation platform
Rock breaking of shield machine is a nonlinear process involving large displacement, complex contact, material failure and dynamic vibration. Therefore, the accuracy of the simulation depends on the fidelity of the reproduction of the whole rock breaking process. Among them, LS-DYNA’s display dynamics analysis method is especially suitable for dealing with extreme nonlinearity, high speed transient, large deformation and fragmentation problems (such as explosion, collision, ballistic impact, etc.). However, when analyzing the vibration mode of broken rock structure, the process flow is relatively fragmented and lacks continuity. In contrast, the explicit dynamics analysis method adopted by ANSYS is often used to solve multi-field coupling ABAQUS software has rich constitutive models and stable contact algorithms, which are widely used to deal with highly nonlinear static and dynamic problems, especially in the field of geotechnical mechanics and contact mechanics. To sum up, ABAQUS simulation algorithm is most suitable for solving the problems related to shield cutting rock vibration, which is a scientific problem with complex nonlinearity and rock failure as its core, and can ensure the accuracy of dynamic characteristic behavior of shield machine in the process of rock breaking.
FEM model construction
In this paper, 17 inch single-edge cutter is used as the research object. Because it is the cutter ring part of cutter that directly contacts with rock in actual construction, the cutter body, cutter shaft and other parts of single-edge cutter are removed, and the fillet and chamfer structure that do not participate in rock breaking are removed at the same time. SOLIDWORKS 3D modeling software created a 1:5 scaled flat-top cutter model as shown in Fig. 2.
According to the field statistical data show that cutter eccentric wear and fracture wear frequency is relatively high. Therefore, we will focus on the identification of the health state of these two cutters, preset three forms of eccentric wear, fracture wear and normal wear on the reduction cutter ring, and divide it into meshes. The structure is shown in Fig. 3, and the mesh type is C3D8R. Based on a comprehensive consideration of calculation accuracy and efficiency, and after extensive numerical simulation tests, the grid size was ultimately determined to be 2 mm, which is capable of fully capturing the geometric features and local vibration characteristics of the cutter ring. The total number of elements is 9725 (taking the uniform grinding flat-top roller cutter as an example).
Because the tunneling section of shield machine is approximately circular, the shape of rock is idealized as cylinder, the diameter is designed to be 400 mm, and the height H is 50 mm. The contact area between cutter and rock is meshed, and its structure is shown in Fig. 4. In addition, the effect of flying debris after rock failure is set to ensure that the cell mesh of the rock component does not distort26 during simulation.
Material model
We simulate the cutter material selection of high strength, high thermal stability of H13 steel, specific physical and mechanical parameters as shown in Table 1.
In the simulation of rock breaking by a failure cutter, the rock to be broken is fine and medium grained sandstone. Based on the elastoplastic constitutive relation of rock and the fracture criterion of rock cut by the cutter, the linear Drucker-Prager model is used as the constitutive model of rock, that is, an ideal elastoplastic model which is combined with the extended Drucker-Prager failure criterion. This model is widely used in numerical calculation and analysis of rock and soil mechanics27,28.
D-P constitutive yield function expression:
In the formula:\({\text{t}}\)is deviational stress; \(p\)is equivalent stress; \(\beta\) is the material friction angle; \(d\)is material cohesion; \(q\)is Mises equivalent stress; \(r\)is the third invariant of deviational stress; \(k\)is triaxial tensile strength/triaxial compressive strength26,29.
We assume that sandstone material properties are isotropic and have continuous, small deformation material properties30, and its specific physical and mechanical parameters are shown in Table 2.
Construction of MBD model
Since the main energy of vibration caused by rock breaking by the cutter comes from the dynamic process of brittle fracture, crack propagation and cracking of the rock itself under the rolling of the cutter, rather than the elastic deformation of the cutter structure34, the deformation of the cutter itself, Strength and durability are not the focus of the research. At the same time, the strength of the cutter ring is far greater than the strength of the surrounding rock mass. In the actual rock breaking process, the elastic deformation of the shield machine’s cutter is extremely small compared with the rock. Therefore, the simulation process can ignore the deformation of the cutter and set the cutter as a rigid body. We adopt the rock breaking model of single cutter, and select the parameters widely recognized by scholars35,36 when setting the interaction. The contact between cutter and rock is defined as “surface-to-surface contact”, the pressure interference of normal behavior in contact attribute is “hard” contact, and the friction formula of tangential behavior is “penalty”, that is, the friction coefficient is fixed value of 0.3; we also specially set the joint inclination angle between cutter and rock as 90°, that is, cutter is perpendicular to joint to break rock.
In view of the significant nonlinear and instantaneous impact characteristics of the rock breaking process of the shield cutter, and our need for observation of vibration data such as velocity between the cutter and the rock, we choose the “dynamic, explicit” algorithm to solve the problem. This algorithm can accurately capture the dynamic behavior and complex interaction in the rock breaking process and provide high time resolution results. In addition, in order to ensure the accuracy and reliability of vibration data, we set the data acquisition frequency of the cutter breaking rock to 5000 Hz.
In order to simulate accurately the motion behavior of cutter on the cutter head of shield machine, we designate the connection type between the rotation center RP1 of cutter and the revolution center RP2 of hob on cutter head as “hinge”. Two boundary conditions are created simultaneously, one of which imposes a knot constraint on the rock bottom surface to prevent rock movement, and the other imposes a symmetric boundary condition on the side surface to prevent rock rotation.
According to the design parameters of full face tunneling machine, the tunneling depth per hour is 3.6 m, and the cutter head rotation speed is 20r/min. We adopt multi-step analysis module to realize rock penetration process and rock breaking process respectively. In the first analysis step, the penetration process is realized, the penetration time is 0.2s, that is, the RP1 and RP2 points are set to move 3 mm along the Y axis; in the second analysis step, the cutter breaks the rock in the rock, the rock breaking radius of the cutter is 129 mm, the time is 3s, that is, the cutter revolution angular velocity \(\frac{{{\text{2}}\pi }}{{\text{3}}}\)rad/s is applied to the RP2 point, and the linear velocity is 0.27 m/s. This connection mode allows the cutter to revolve around RP2 and rotate freely around its own axis (i.e. RP1), thus simulating the complex motion mode of the cutter in the actual rock breaking process(Note: If the rotation parameters of the cutter are set, the vibration data is the set rotation parameter signal, and the impact signal of rock breaking of the cutter cannot be truly simulated). The simulation model is assembled as shown in Fig. 5.
Simulation results and analysis
Simulation validity analysis
-
(1)
Mass scaling contrast analysis.
We introduce a mass scaling factor into explicit dynamic analysis. Its main purpose is to improve computational efficiency by adjusting the mass of the whole model element without changing the physical size and shape. According to formula (4), the scaled unit mass can be obtained. When \(\alpha > 1\), the unit mass will increase, resulting in a corresponding increase in the density of the material. It can be seen from formula (5) that in this case, the minimum time step is effectively increased, thus speeding up the calculation speed of the simulation process. Although the mass scaling factor can shorten the time of simulation calculation, improper application may lead to distortion of dynamic response, which may change the vibration of the cutter and reduce the authenticity and reliability of the results. Therefore, we deeply discuss the influence of mass scaling coefficient on simulation results of flat-top single-cutter rock-breaking model when the scaling coefficient is 0, 500, 1000, 2000.
In the formula: \(m_{{original}}\) is the original unit mass; \(m_{{scaled}}\) is the scaled cell mass; \(L\) is the smallest unit size; \(p\) is density of material; \(E\) is the modulus of elasticity of the material; \(\omega _{{\max }}\) is the maximum angular frequency; \(\Delta t\) is the smallest time step.
It can be seen from Fig. 6 that the ratio of kinetic energy to internal energy has a maximum value at the initial stage of simulation (0s) and the start-up stage of rock breaking (0.2 s), which is caused by the sudden change of the dynamic state of the cutter. This anomaly can be ignored in the overall analysis. When mass scaling is not used, each element maintains its original energy state, and the simulation process needs to be calculated with very small time steps, which will lead to instability and fluctuation of the total energy of the system. When the mass scaling coefficient increases, the whole model performs simulation with a large time step, which obviously changes the dynamic behavior of the original cutter breaking rock, introduces excessive artificial energy into the system, causes the instability and oscillation of the internal energy to intensify, and the change rate of the ratio of kinetic energy to internal energy tends to stabilize becomes slower, thus affecting the accuracy of the simulation results.
Considering the mass scaling factor, the speed of finite element analysis can be greatly accelerated, but the change trend of internal energy and kinetic energy should be relatively stable, and the ratio of kinetic energy to internal energy should not exceed 2%. Therefore, when the mass scaling coefficient is 500, the influence on the rock breaking simulation results of cutter is small, and the calculation efficiency can be improved.
-
(2)
Comparative analysis of grid systems.
Many studies have shown that the measurement accuracy of vibration data on cutter can be improved by dividing it into several hexahedral elements (C3D8R) for mesh division by discrete processing method37. After determining the basic simulation parameters of rock breaking by cutter, the accuracy of numerical simulation mainly depends on the quality of rock mesh system. Figure 7 shows the obvious influence of mesh shape, size and stiffness on simulation results under the same rock breaking parameters.
Looking at Fig. 7, it is found that the ratio of pseudo-strain energy to internal energy has a large outlier at the beginning of the simulation, which is caused by a sudden change in the motion state of the model and can be ignored in the overall analysis. In addition, at the beginning of simulation (0 s) and the end of penetration stage (0.2 s), these two time points are the key nodes for observing and analyzing the curve change. In 0–0.2 s and 0.2–1 s, the ratio diagram of cutter in penetration and rock breaking state is reflected respectively, and the ratio change trend is gradually stable at 0.8 s.
When hexahedral elements are used to mesh rock, the ratio of pseudo-strain energy to internal energy decreases from 30% to 10% with the increase of mesh density, which effectively suppresses the hourglass phenomenon. At the same time, enhancing rock stiffness can effectively reduce the frequency of hourglass phenomenon in the stage of cutter breaking, but can not effectively avoid the occurrence of hourglass phenomenon in the stage of cutter penetration. In addition, we found that after a lot of numerical simulation parameters test, when the hexahedral mesh size is 1 mm, the simulation results do not converge, and when the mesh size is less than 1 mm, the mesh over-fitting occurs, which makes the simulation results unreliable. Therefore, hexahedral mesh can not meet the requirements of rock division, hourglass phenomenon has a great impact on the simulation results, so hexahedral mesh is abandoned.
In contrast, the quadratic tetrahedral element (C3D10M) exhibits significant numerical stability advantages (Fig. 6b). With the decrease of mesh density, the influence of contrast value is minimal, and the ratio after stabilization remains at about 4%, that is, the influence of hourglass phenomenon on simulation results can be suppressed without maximum mesh density, thus ensuring the energy conservation of the whole simulation and ensuring the reliability and accuracy of simulation results. When the grid size is 6 mm, the ratio curve shows a stable trend after 0.2 s, which indicates that the energy changes steadily in the simulation process under this grid size, which can ensure accurate simulation results. In summary, the rock crushing state under different faulty cutter is shown in Fig. 8.
Analysis of vibration characteristics of cutter center
The cutter head of shield machine is a periodic component, and its vibration signal components are complex and diverse. According to the rock breaking process of cutter, the signal components of cutter mainly include deterministic signal component, modulation signal component and noise signal component. Deterministic signal component is vibration signal produced by cutter normal operation, which has deterministic function relationship with time; modulation signal component is cutter vibration caused by cutter rotation and periodic impact during rock breaking, if cutter fails in rock breaking process, it will contain fault characteristic information; noise information component is mainly disturbance signal caused by test environment and monitoring system during rock breaking process of cutter. Combined with the numerical simulation model of rock breaking by single-blade cutter, the vibration transmission system of rock breaking by cutter can be regarded as linear time-invariant system, and the monitoring vibration signal is the result of convolution of three signal components and the transmission path function from vibration source to monitoring point, as shown in formula (6).
In the formula: \(x(t)\) is the detection vibration signal on the cutter; \(x_{d} (t)\) is the normal revolution vibration signal of cutter; \(x_{m} (t)\) is a periodic shock vibration signal; \(x_{n} (t)\) is the test environment disturbance signal; * is convolution operation; \(h\) is the transfer function between the rock breaking vibration source of the cutter and the monitoring point.
We ignore ambient noise signals and concentrate on the direct disturbance effects of the broken rock face on the cutter. In addition, because the penetration of the cutter is certain, the linear velocity of the cutter RP1 point in the normal direction is 0 m/s and the angular velocity is \(\frac{{{\text{2}}\pi }}{{\text{3}}}\)rad/s. In order to more accurately analyze the vibration signal of the fault cutter with excavation, we only analyze the vibration signal in the axial direction and lateral direction during the rock breaking process of the cutter. The curves of various vibration parameters with time at RP1 point in different cutter health states are shown in Fig. 9.
As shown in Fig. 9, the vibration characteristics of cutter center during rock breaking process of fault cutter mainly include the following aspects:
-
RP1 linear velocity vibration characteristics. Since the distance from the cutter center to its own axis of rotation is zero, the rotation linear velocity of the cutter center is always 0 m/s, that is, the normal linear velocity of RP1 is the revolution linear velocity. The direction of the revolution linear velocity is always tangent to the circumferential direction, and it is decomposed into coordinate axes, so that the maximum revolution linear velocity of 0.27 m/s appears at the position directly above (0.75s) and directly below (2.25s) the circumferential trajectory. The phase difference between the curves in axial direction and lateral direction is \(\frac{\pi }{{\text{2}}}\), and the normal linear velocity curve can be obtained by shifting the axial linear velocity to the left for 0.75 s.
-
Characteristics of angular velocity vibration at RP1. The angular velocity of the cutter center in the normal direction is the angular velocity of the cutter revolution, that is, the angular velocity of the revolution is \(\frac{{{\text{2}}\pi }}{{\text{3}}}\)rad/s. The axial and lateral angular velocities are rotation angular velocities, and the frequency band width is \({\text{ - 2}}\pi \sim {\text{2}}\pi\)rad/s in the state of uniform grinding cutter, and the phase difference is \(\frac{\pi }{{\text{2}}}\), that is, the axial angular velocity shifts to the left for 0.75s to obtain the lateral angular velocity curve.
Compared with normal wear vibration, the angular velocity of cutter center in axial direction and lateral direction under fault state no longer follows the original sine wave trend, but appears obvious sharp fluctuation when cutter eccentric wear or fracture wear. The reason is that the cutting resistance of the cutter at the cutting front point decreases gradually at the initial stage of contact between the abnormal wear position and the rock, and the effective force acting on the cutter decreases at this time, which makes the angular velocity of RP1 increase sharply according to Newton’s second law; On the contrary, when the abnormal wear position gradually contacts with the rock again, the depth of the cutter cutting into the rock gradually increases, causing the cutting resistance of the cutter breaking rock front point to increase, which leads to a sharp decrease in angular velocity according to Newton’s second law. In addition, the distance from the worn surface of the eccentric cutter to RP1 is smaller than that of the fracture cutter, so the angular velocity fault characteristics of the eccentric cutter begin earlier than that of the fracture cutter and end later than that of the fracture cutter.
-
RP1 acceleration vibration characteristics. RMS is used to measure the acceleration vibration intensity of a faulty cutter. The greater the root mean square value of acceleration, the greater the vibration intensity of the cutter. The root mean square of the linear acceleration and angular acceleration of the three fault cutter is shown in Fig. 10. It can be seen from Fig. 10 that the root mean square of acceleration and angular acceleration of each axis decreases significantly with the increase of wear degree, which is due to the relatively high and stable vibration signal generated due to the continuous interaction between cutter and rock surface although wear is relatively uniform under normal wear; intermittent impact is induced during fracture, resulting in transient high-amplitude vibration. However, the impact events are sparse and the duration is short, the root mean square of the whole is lower than that of the normal cutter, and the energy can not be effectively transferred at the fracture site, resulting in part of the vibration energy being absorbed by the structure, so the root mean square of the fracture cutter is larger than that of the eccentric cutter; under the eccentric cutter rock- breaking condition, the tool is unbalanced, and it is easy to generate low-frequency periodic vibration. Because the vibration energy is concentrated in a specific frequency band (such as the rotation fundamental frequency), and the structure suppresses part of the vibration through damping, the root mean square is the lowest.
In order to further explore the vibration characteristics of different fault types of cutter at RP1 point, the radius variation law of cutter was studied. As a result, as shown in Fig. 11, the cutter is affected by the reaction force of uneven rock fracture surface during rock breaking, resulting in the fluctuation of revolution radius around 129 mm, which causes the linear velocity and angular velocity of cutter to change. When the cutter fails, the change of the geometry of the cutting edge will reduce the effective cutting area, weaken the cutting ability of the rock, and the fluctuation of its radius will be significantly reduced, i.e. \(\sigma _{{normal}} > \sigma _{{fracture}} > \sigma _{{eccentric}}\).
In the formula: \(\nu _{{\text{x}}}\) is the x-axis revolution linear velocity at RP1; \(\nu _{{\text{y}}}\) is the y-axis revolution linear velocity at RP1; \(\nu _{z}\) is the z-axis revolution linear velocity at RP1; \(\nu _{{{\text{tangent}}}}\) is the tangential revolution linear velocity at RP1; \(\omega _{{\text{y}}}\) is the angular velocity of y-axis revolution at RP1; \(r\)is the radius of revolution of cutter.
Analysis of vibration characteristics of cutter body outside
When the cutter breaks down, its vibration mode will change. Therefore, the health status of the cutter can be directly analyzed through its own vibration changes (Fig. 12). In addition, according to rigid body kinematics, angular velocity at any point on the cutter is the same, so analyze the linear velocity vibration change of RP3 point in the process of cutting sandstone (penetration degree of 3 mm) by the cutter, as shown in Fig. 13. Subsequently, the angular velocity of cutter center and outer side of blade is collectively referred to as angular velocity of cutter.
Looking at Fig. 13, it is found that the motion of the cutter is a compound motion of rotation and revolution. Therefore, the linear velocity of the cutter body is the vector sum of the rotational linear velocity and the revolution linear velocity, so the axial and lateral linear velocities present a peak-like trend, while the normal linear velocity presents a wave-like trend. In particular, one revolution of linear velocity is a cycle, and one half revolution of linear acceleration is a cycle.
When cutter failure occurs, the axial velocity of cutter no longer follows the original trend of normal cutter, and the axial and lateral resistance increases at the initial stage of contact between abnormal wear position and rock, resulting in a sharp decrease of linear velocity in these two directions, while the normal linear velocity increases sharply due to unbalanced force. When the abnormal wear position is away from the rock contact surface, the depth of cutter cutting into rock is zero, and the variation trend of velocity of each axis tends to be stable again, which is roughly parallel to the original trend of cutter grinding. On the contrary, when the abnormal wear position gradually contacts with the rock again, the depth of the cutter cutting into the rock gradually increases, resulting in a sharp increase in axial and lateral linear velocity due to the increase in force. On the contrary, the normal linear velocity decreases sharply due to the decrease in reaction force, and an obvious deviation trend is formed compared with the normal cutter. In addition, for the preset eccentric cutter wear surface to the center of the distance is shorter, so eccentric cutter fault characteristics will appear earlier than the fracture cutter, later to fully show.
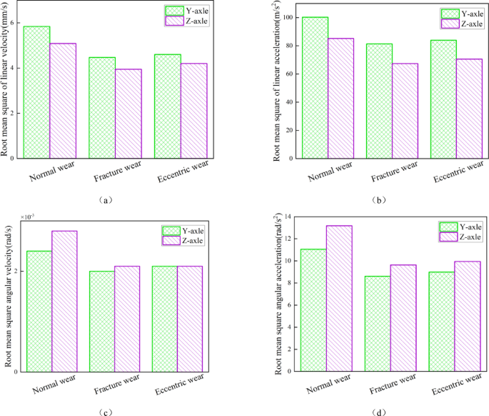
Similarly, root mean square (RMS) is used to measure the acceleration vibration intensity of a faulty cutter. Since the normal linear acceleration is zero, it is meaningless to analyze it, so the emphasis is placed on the analysis of axial and lateral vibration characteristics. The root mean square of linear acceleration of three kinds of fault cutter is shown in Fig. 14. With the increase of wear degree, the root mean square of acceleration of each axis decreases significantly, which can be mutually verified with the analysis of vibration characteristics of cutter center.
Analysis of vibration characteristics outside rock face
When the cutter interacts with the rock under normal working conditions, it will produce a specific mode of vibration signal; if the cutter fails, this vibration mode may change significantly. The rock breaking characteristics of the fault cutter are explored from the vibration angle of rock surface. However, in the finite element analysis, the nodes on the three-dimensional model have only translational degrees of freedom, and no rotational degrees of freedom, that is, RP4 points cannot directly output angular velocity and angular acceleration data. Therefore, we derive the angular velocity and angular acceleration data on the rock through the displacement gradient tensor and numerical differentiation methods. In addition, the cutter boundary conditions were imposed on the rock side in the previous article, so the x-axis direction is restricted, and the RP4 point on the outer side of the rock surface The changes in the vibration signal y and z axes are shown in Figs. 15, 16.
In the formula: \(\nabla u\) is the displacement gradient tensor; \(\Omega\) is the rotation rate tensor; \(\omega _{x}\) is the angular velocity of x-axis; \(\omega _{y}\) is the angular velocity of y-axis; \(\omega _{z}\) is the angular velocity of z-axis; \(\alpha _{x}\) is the angular acceleration of x-axis; \(\alpha _{y}\) is the angular acceleration of y-axis; \(\alpha _{z}\) is the angular acceleration of z-axis.
The results in Fig. 16 show that the time-domain vibration characteristics of the fault cutter outside the rock surface are not obvious, which is due to the fact that when the cutter contacts with the rock, the vibration signal will pass through complex propagation paths (such as cutter, rock and other media), resulting in the original vibration characteristics being weakened or concealed. Therefore, for the fault detection of cutter, the analysis on cutter is more intuitive than the observation on rock, and can provide more discrimination and accuracy information. To further investigate the vibration characteristics in the time domain, the root mean square (RMS) analysis is still performed, and the RMS of the three failed cutter is shown in Fig. 17.
It can be seen from Fig. 17 that \(RMS_{{normal}} > RMS_{{eccentric}} > RMS_{{fracture}}\), which is different from the root-mean-square characteristics of the cutter mentioned above. This is because the normal cutter can effectively crush the rock, resulting in continuous high-pressure contact, the rock bears continuous energy input, and the vibration energy is widely transmitted through the formation, so the vibration intensity of the normal cutter is large; The asymmetric result of eccentric cutter leads to periodic impact (such as strong contact once per rotation), the rock bears concentrated load at a specific phase, and the vibration energy accumulates periodically, resulting in lower vibration intensity than that of uniform grinding; the rock breaking efficiency of fractured cutter decreases significantly, the contact with rock is discontinuous, the energy transmission is hindered, and the rock receives the least vibration energy, so the vibration intensity of fractured cutter is the lowest.
Analysis of the influence of penetration on fault vibration characteristics
The depth of penetration of the cutter into the rock will affect the size of its rock breaking force38. In order to explore the effect of penetration on fault vibration characteristics, rock breaking simulation of eccentric grinding flat cutter with penetration of 1,3 and 5 mm was carried out respectively. Based on the above analysis, RP3 point on the eccentric cutter is selected as a representative measuring point for vibration characteristic comparison, and its vibration signal time domain diagram is shown in Fig. 18. (Note: Since the fault vibration characteristics of RP3 and RP1 are relatively similar, no distinction is made here; meanwhile, the fault characteristics of eccentric grinding and fracture cutter occur at similar time and similar phenomena. In view of space limitation, this study only takes eccentric grinding cutter as an example to carry out analysis.)
It can be seen from Fig. 18 that the fault characteristics of eccentric cutter under different penetration conditions keep consistent. The vibration amplitude of linear velocity increases with the increase of penetration, reflecting the increase of rock breaking energy, while the vibration amplitude of angular velocity remains basically unchanged, which is due to the fact that the torque applied to the cutter by the driving system is very large, and the short-term and high-frequency impact in the process of rock breaking is not enough to significantly change its stability. That is, linear velocity changes reflect the intensity of “cutting motion”, and angular velocity changes reflect the stability of “rotating motion”. However, the anomalous relationship between acceleration amplitudes (RMS3mm > RMS1mm > RMS5mm) shows the difference of impact characteristics of force: cutter with penetration of 1 mm produces high frequency and low energy impact, resulting in higher acceleration; cutter with penetration of 5 mm produces extreme impact due to severe rock fragmentation, resulting in maximum acceleration; The cutter with penetration of 3 mm is in a resonance state with the most stable energy transmission and the best rock breaking efficiency, so the acceleration vibration is the weakest.
Analysis of the influence of blade shape on fault vibration characteristics
Similarly, rock breaking simulation of dome and flat-top eccentric grinding cutter under certain penetration (3 mm) is carried out respectively, and the vibration signal time domain diagram is shown in Fig. 19. Although factors such as edge inclination and rock characteristics also affect the fault vibration characteristics39,40, this study aims to clarify the basic response law of single-edge fault cutter under typical working conditions, so it is not included in the current research scope to ensure that the core mechanism is clearly identifiable.
It is not difficult to see from Fig. 19 that the fault characteristics of eccentric grinding cutter under different penetration conditions keep the same trend. At the same time, the vibration intensity of the dome cutter is stronger than that of the flat-top cutter, which is due to the fact that the edge of the dome cutter first intrudes into the rock, cracks occur under high pressure, and radial forces generated during rolling will tear and shear the rock. This force is a periodic and violent change, so the waveform is a sawtooth-like sudden increase. And flat cutter because of its flat knife ring surface and rock contact in large areas, through extremely high thrust will be crushed below the rock, forming a crushing zone. This process is relatively continuous and stable. Therefore, the flat cutter has a predictable and gradual wear process due to its stable vibration in actual rock breaking operation, and its overall service life and economy are better than those of dome cutter.
Rock-breaking vibration experiment of shield cutter with fault in laboratory.
Laboratory equipment and materials
In the numerical simulation above, we compare and analyze the vibration characteristics of cutter center, cutter outer side and rock outer side under fault condition. Among them, the vibration characteristics of cutter center and cutter outside are not significantly different. Therefore, in the follow-up indoor physical experiments, only the vibration response on the outer side of the cutter and on the rock needs to be verified. Among the translational and rotational degrees of freedom of cutter, the vibration characteristics corresponding to translational degrees of freedom are particularly critical: once the fault vibration characteristics reflected by linear acceleration (rate of change of linear velocity) are consistent with the simulation results, the vibration responses under rotational degrees of freedom such as angular velocity and angular acceleration can be derived by displacement gradient tensor and numerical differentiation method, so as to ensure the consistency of vibration characteristics within the range of full degrees of freedom. Therefore, we adopt the self-designed indoor rock breaking test rig of shield cutter to carry out rock breaking vibration experiment of single fault cutter, as shown in Fig. 20. When the test bench breaks rock, the hydraulic system pushes the cutter head to move to the rock, so that the cutter intrudes into the rock. At the same time, the variable frequency motor drives the rock to rotate around the center to realize the relative rotation between the cutter and the rock.
In order to ensure the consistency of input and output between numerical simulation and physical experiment, the flat-top fault cutter size, cutter installation radius and rock type adopted by us are consistent with those of numerical model. The vibration data of broken sandstone in rock and cutter head isolation plate are collected by triaxial acceleration sensor, and displayed in software control system in real time. Among them, the range of three-axis acceleration sensor is ± 16 g, the sampling frequency is 26667HZ, and the actual fault cutter is shown in Fig. 21.
Experimental results and analysis
In practice, due to the violent vibration and a large amount of debris produced by the cutter head in the process of rotating rock breaking, it is impossible to directly collect the vibration signal on the cutter. In engineering, sensors are often installed on the isolation plate of the cutter head to collect data. In numerical simulation, the vibration signal of the cutter center and cutter is analyzed to better understand the characteristics of the isolation plate. Therefore, we select the rear cutter head isolation plate and the rock interior as indirect test points, and the sensor installation position is consistent with the radius position where the cutter breaks the rock. The RMS variation characteristics of the acceleration vibration signal of the rock and cutter head isolation plate are shown in Fig. 22.
It can be seen from Fig. 22 that the vibration intensity on the cutter head isolation plate shows obvious differences under different working conditions, characterized by \(RMS_{{normal}} > RMS_{{fracture}} > RMS_{{eccentric}}\), and the vibration intensity on the rock is \(RMS_{{normal}} > RMS_{{eccentric}} > RMS_{{fracture}}\). This result is consistent with the root mean square characteristics obtained in the previous numerical simulation, further verifying the correctness of the numerical simulation.
Conclusion and outlook.
In order to study the fault vibration characteristics of shield cutter in the process of rock breaking, we establish a finite element-multibody dynamics coupling model, carry out rock breaking simulation of single-blade fault cutter, analyze the fault vibration characteristics of cutter center, cutter body outer side and rock surface outer side, explore the influence of penetration degree and blade shape on it, carry out indoor rock breaking experiment of shield fault cutter, and obtain the following conclusions:
-
The fault vibration characteristics of cutter center and blade outer side are consistent in rotational freedom degree, but there are significant differences in translational freedom degree. When the cutter has eccentric wear or fracture fault, the angular velocity of cutter center deviates from the original sine law in axial and lateral direction, and obvious sharp fluctuation phenomenon appears. At the initial stage of contact between cutter and rock, the axial and lateral linear velocities of cutter body decrease sharply, while the normal linear velocity increases sharply, and the axial and lateral angular velocities of cutter also increase rapidly. At the second contact stage, the axial and lateral linear velocity of the cutter body increases sharply, the normal linear velocity decreases sharply, and the axial and lateral angular velocity of the cutter decreases significantly, and presents an obvious deviation trend. In addition, the angular velocity fault characteristics of eccentric cutter appeared earlier than that of fracture cutter, but its ending time was later than that of fracture cutter. The RMS characteristics of rock vibration are \(RMS_{{normal}} > RMS_{{eccentric}} > RMS_{{fracture}}\), which is different from the RMS characteristics of cutter itself.
-
The vibration characteristics of fault cutter revealed in this paper provide an effective method for condition monitoring and fault diagnosis of shield cutter. By establishing a mapping database between vibration signals of cutter and their time domain characteristics under different fault conditions, reliable discrimination basis can be provided for fault identification. In practical application, depending on the three-way vibration sensor installed on the cutter head isolation plate and the roadway side wall, the rock-breaking vibration signal in the process of tunneling can be collected in real time, and the preliminary identification of the cutter fault type can be realized by matching and comparing with the database. Furthermore, after detecting abnormal vibration signals, combining with the calculation of the ratio of linear velocity to angular velocity, and utilizing the distribution characteristics of the root mean square value of vibration signals in the radius variation interval, the accurate positioning of the fault cutter position can be realized.
-
We systematically analyze the fault vibration characteristics of cutter penetrating sandstone under certain conditions, and the working conditions covered have been applied to a considerable proportion of actual shield construction scenarios. Although the vibration characteristics of cutter are affected by the inclination of cutting edge, rock properties and geological structure, the analysis of the influence of penetration and cutting edge type on vibration characteristics shows that these factors do not change the basic trend of fault vibration and do not affect the validity of the conclusions of this study. It should be pointed out that in the multi-cutter cooperative operation, vibration signals will be superimposed, resulting in complex characteristics, and there is a difference between the vibration response of single cutter. For this reason, the basic research work based on single cutter is carried out in this paper, and the essential characteristics of fault vibration are preliminarily revealed. In the future, the experimental and theoretical analysis of multi-cutter cooperative rock breaking under complex geological conditions will be carried out, and the vibration response law under different wear states will be systematically identified to improve the accuracy and engineering applicability of fault cutter identification.
Data availability
All data generated or analysed during this study are included in this published article [and its supplementary information files].
References
Fan, X. X., Xiang, Z. Y., Sun, R. X., Zhang, M. & Mo, J. L. Fault diagnosis of TBM hob eccentric wear based on wavelet time-frequency analysis and Inception-BiGRU model. J. Vib. Shock. 42 (15), 232–240. https://doi.org/10.13465/j.cnki.jvs.2023.15.028 (2023).
Wang, S. H., Liu, Q. S., Huang. X. & Zhang, X. B. Real-time force monitoring method for disc cutter in TBM tunneling. Tunn. Constr. 39 (02), 309–316. https://doi.org/10.3973/j.issn.2096-4498.2019.02.018 (2019).
Chen, C. et al. An experimental measurement for forces acting on TBM hobbing cutters. J. Experimental Mech. 30 (03), 373–380. https://doi.org/10.7520/1001-4888-13-172 (2015).
Li, J., Gong, Y., Zhao, S. P., Sun, W. L. & Su, Y. Y. Material and processing optimization on disc cutter of tunnel boring machine for failure prevention. Eng. Fail. Anal. 138. https://doi.org/10.1016/j.engfailanal.2022.106363 (2022).
Wang, L. H., Kang, Y. L., Zhao, X. J. & Zhang, Q. Disc cutter wear prediction for a hard rock TBM Cutterhead based on energy analysis. Tunn. Undergr. Space Technol. 50, 324–333. https://doi.org/10.1016/j.tust.2015.08.003 (2015).
Xue, Y. D., Zhou, J., Zhao, F. & Li, X. Rock breaking mechanism of TBM cutter based on MatDEM. Rock. Soil. Mech. 41 (S1), 337–346. https://doi.org/10.16285/j.rsm.2019.1656 (2020).
Yang, Z. Y. et al. Research on the force and wear law of Epb shield disc cutter in Beijing boulder strata. China Civil Eng. J. 57 (S1), 1–8. https://doi.org/10.15951/j.tmgcxb.2024.S01 (2024).
Xue, H., Ma, X. J., Chen, L. & Jia, P. J. Field experimental study on steel reinforced concrete pile cutting with shield disc cutter. J. Water Resour. Architectural Eng. 22 (03), 127–135. https://doi.org/10.3969/j.issn.1672-1144.2024.03.01 (2024).
Zhang, H. Y., Zhang, M. Q., Mo, J. L., Duan, W. J. & Zhou, Z. R. Experimental study on load and vibration characteristics of TBM cutters with different cutter profiles. J. Cent. South. Univ. (Science Technology). 55 (04), 1340–1350. https://doi.org/10.11817/j.issn.1672-7207.2024.04.009 (2024).
Wang, B. & Li, R. Influence of rock joint with different spacing and dip angle on rock breaking by TBM cutter. Sci. Technol. Eng. 22 (29), 13066–13074. https://doi.org/10.3969/j.issn.1671-1815.2022.29.045 (2022).
Zhou, X. P., Zhai, S. F. & Bi, J. Two-dimensional numerical simulation of rock fragmentation by TBM cutting tools in Mixed-face ground. Int. J. Geomech. 18 (3), 06018004. https://doi.org/10.1061/(ASCE)GM.1943-5622.0001081 (2018).
Pan, Y. C., Liu, Q. S., Liu, J. P., Liu, Q. & Kong, X. X. Full-scale linear cutting tests in Chongqing sandstone to study the influence of confining stress on rock cutting efficiency by TBM disc cutter. Tunn. Undergr. Space Technol. 80, 197–210. https://doi.org/10.1016/j.tust.2018.06.013 (2018).
Geng, Q., Wei, Z. Y. & Ren, J. H. Analytical research on the wear mechanism of TBM disc cutters based on an energy approach. J. Mech. Eng. 54 (1), 36–43. https://doi.org/10.3901/JME.2018.01.036 (2018).
Wang, C., Zou, J. F., Li, L. & Shu, D. Life prediction of TBM disc cutters considering dense core effect and compression-shear failure mode. J. Jilin University(Engineering and Technol. Ed.). 1–16. https://doi.org/10.13229/j.cnki.jdxbgxb.20250042 (2025).
Zhang, Z. H. Study on the abrasion of disc cutters on full face rock tunnel boring machine. Mod. Tunn. Technol. 44 (6), 32–36. https://doi.org/10.13807/j.cnki.mtt.2007.06.008 (2007).
Rostami, J. Development of a force Estimation model for rock fragmentation with disc cutters through the oretical modeling and physical measurement of crushed zone pressure. Colorado School of Mines. 34–45. https://www.researchgate.net/publication/307167689 (1997).
Bruland, A. Hard rock tunnel boring advance rate and cutter wear.Trondheim. Nor. Inst. Technol. 81 https://doi.org/10.13140/2.1.3050.3204 (1998).
Yang, Y. D. et al. The derivation and validation of TBM disc cutter wear prediction model. Geotech. Geol. Eng. 36 (6), 3391–3398. https://doi.org/10.1007/s10706-018-0540-9 (2018).
Su, W. L. et al. Analysis and prediction of TBM disc cutter wear when tunneling in hard rock strata: A case study of a metro tunnel excavation in Shenzhen, China. Wear (C), 446–447. https://doi.org/10.1016/j.wear.2020.203190 (2020).
Tan, Q., Zhang, K., Xia, Y. M., Wang, K. & N, W. D. Three-dimensional simulation of rock breaking by TBM cutter. J. Shandong Unversity (Engineering Science). 39 (06), 72–77. https://doi.org/CNKI:SUN:SDGY.0.2009-06-014 (2009).
Zhang, X. H., Peng, Z. R., Lai, H. W., Zhong, H. X. & Liao, Y. S. Rock-crushing mechanism caused by TBM ball-tooth cutter in water jet slotting condition. Eng. Fail. Anal. 176109616–176109616. https://doi.org/10.1016/j.engfailanal.2025.109616 (2025).
Hu, X. K., Du, C. L., Liu, S. Y., Tan, H. & Liu, Z. Q. Three-dimensional numerical simulation of rock breaking by the tipped hob cutter based on explicit finite element. IEEE Access. 7, 86054–86063. https://doi.org/10.1109/ACCESS.2019.2925427 (2019).
Zhang, K., Wang, T. Y., Sun, H., Wang, H. & Zhao, K. J. Simulation study on disc cutter of full face rock tunnel boring machine. J. Shenyang Jianzhu Univ. (Natural Science). 26 (06), 1209–1213. http://doi.org/CNKI:SUN:SYJZ.0.2010-06-039 (2010).
Lu, F. et al. Experimental study on rock-breaking simulation of double disc cutter of TBM. Chin. J. Eng. Des. 23 (01), 41–48. https://doi.org/10.3785/j.issn.1006-754X.2016.01.007 (2016).
Wang, M., Lu, Z. X., Zhao, Y. L. & Wan, W. Peak strength coalescence and failure processes of rock-like materials containing preexisting joints and circular holes under uniaxial compression: Experimental and numerical study. Theoret. Appl. Fract. Mech. 125, 103898. https://doi.org/10.1016/j.tafmec.2023.103898 (2023).
Zhang, K. et al. Research on the impact of the disc cutter broken rock parameters on rolling force and specific energy based on ABAQUS. J. Shenyang Jianzhu Univ. (Natural Science). 33 (05), 914–922. https://doi.org/10.11717/j.issn:2095-1922.2017.05.17 (2017).
Liu, J. L., Luan, M. T., Xu, C. S., Wang, J. L. & Yuan, F. F. Study on parametric characters of Drucker-Prager riterion, Chinese J. Rock. Mech. Eng. S2. 4009–4015. https://doi.org/10.3321/j.issn:1000-6915.2006.z2.10 (2006).
Xiao, S. Y., Lin, G. & Wang, Z. A Drucker-Prager consistent rate-dependent model. Eng. Mech. 04, 147–151. https://doi.org/10.3969/j.issn.1000-4750.2003.04.026 (2003).
Zhai, S. F., Du, H. K., Tian, H., Li, K. & Wang, Y. H. Numerical simulation of TBM three cutters cooperative linear and rotary cutting rock breaking. J. Zhengzhou Univ. (Engineering Science). 1–9. https://doi.org/10.13705/j.issn.1671-6833.2025.03.006 (2025).
Wu, Y. H. et al. Effects of joint characteristics on rock breaking with dick cutter based on ABAQUS. J. Shenyang Jianzhu Univ. (Natural Science). 31(03) 534–542. https://doi.org/10.11717/j.issn:209521922.2015.03.19 (2015).
Wang, M., Lu, Z. X., Zhao, Y. L. & Wan, W. Experimental and numerical study on peak strength, coalescence and failure of rock-like materials with two folded preexisting fissures. Theoret. Appl. Fract. Mech.. 125, 103830. https://doi.org/10.1016/j.tafmec.2023.103830 (2023).
Wang, M. & Wan, W. A new empirical formula for evaluating uniaxial compressive strength using the Schmidt hammer test International. Int. J. Rock. Mech. Min. Eng. 123, 104094. https://doi.org/10.1016/j.ijrmms.2019.104094 (2019).
Wang, M., Wan, W. & Zhao, Y. L. Prediction of uniaxial compressive strength of rocks from simple index tests using random forest predictive model. Comptes Rendus Mecanique. 348(1), 3–32. https://doi.org/10.5802/crmeca.3 (2020).
Li, W., Yan, P., Lu, A., Huang, S. L. & Lu, W. B. Effect of confining pressure on peak penetration force of the TBM disc cutter. Arabian J. Geosci. 15(11). https://doi.org/10.1007/s12517-022-10233-z (2022).
Zhang, Z. H. et al. Numerical simulation and analysis of 3D cutter spacing for disc cutter. Min. Mach. 52(06), 9–16. https://doi.org/10.16816/j.cnki.ksjx.2024.06.007 (2024).
Shen, D., Cao, Q., Qi, Z. Z. & Xu, X. D. Analysis of force and wear mechanism of shield hob under conventional working conditions. J. Phys.: Conf. Ser. 2691(1). https://doi.org/10.1088/1742-6596/2691/1/012020 (2024).
M, M., M, P. & M, L. Influence of two Gage disc cutters on TBM performance and optimization of disc cutter installation angle. Rock Mech. Rock Eng.. 58(8), 1–20. https://doi.org/10.1007/s00603-025-04593-7 (2025).
Zhang, Z. H., Wang, X. X., Zhuo, X. J. & Jia, L. Study on the rock-breaking forces of TBM disc cutters with uneven wear. Chin. J. Theoretical Appl. Mech.. 57 (5), 1188–1201. https://doi.org/10.6052/j.cnki.ksjx.0459-1879-24-566 (2025).
Wang, M., Wan, W. & Zhao, Y.L. Experimental study on crack propagation and the coalescence of rock-like materials with two preexisting fissures under biaxial compression. Bullet. Eng. Geol. Environ. 79(6), 3121–3144. https://doi.org/10.1007/s10064-020-01759-1 (2020).
Wang, M., Lu, Z. X., Zhao, Y. L. & Wan, W. Numerical study on the strength and fracture of rock materials with multiple rough preexisting fissures under uniaxial compression using particle flow code. Computational Particle Mechanics. 12, 453–477. https://doi.org/10.1007/s40571-024-00811-1 (2025).
Acknowledgements
This work was supported by the Deep Earth Probe and Mineral Resources Exploration-National Science and Technology Major Project (Program No. 2024ZD1004101), the Scientific Research Foundation for High-level Talents of Anhui University of Science and Technology (Program No.2023yjrc21), the Open Foundation of the Innovation Base of Fine Mine Prospecting and Intelligent Monitoring Technology (Program No.2023-MPIM-04) and the Natural Science Research Project of Anhui Educational Committee (Program No. 2023AH051186).
Author information
Authors and Affiliations
Contributions
Jiaxin Chen: Writing-review & editing, Writing-original draft, Validation, Software, Rock-cutting experiment, Investigation. Pingsong Zhang: Writing-review & editing, Writing-original draft, Validation, Resources, Investigation, Funding acquisition. Shenglin Li: Validation, Writing – review & editing. Shi Qiu: Writing – original draft, Visualization. Tao Zhang: Supervision, Resources, Methodology.
Corresponding author
Ethics declarations
Competing interests
The authors declare no competing interests.
Additional information
Publisher’s note
Springer Nature remains neutral with regard to jurisdictional claims in published maps and institutional affiliations.
Supplementary Information
Below is the link to the electronic supplementary material.
Rights and permissions
Open Access This article is licensed under a Creative Commons Attribution-NonCommercial-NoDerivatives 4.0 International License, which permits any non-commercial use, sharing, distribution and reproduction in any medium or format, as long as you give appropriate credit to the original author(s) and the source, provide a link to the Creative Commons licence, and indicate if you modified the licensed material. You do not have permission under this licence to share adapted material derived from this article or parts of it. The images or other third party material in this article are included in the article’s Creative Commons licence, unless indicated otherwise in a credit line to the material. If material is not included in the article’s Creative Commons licence and your intended use is not permitted by statutory regulation or exceeds the permitted use, you will need to obtain permission directly from the copyright holder. To view a copy of this licence, visit http://creativecommons.org/licenses/by-nc-nd/4.0/.
About this article
Cite this article
Chen, J., Zhang, P., Li, S. et al. Study on fault vibration characteristics of shield cutters based on FEM-MBD. Sci Rep 15, 37834 (2025). https://doi.org/10.1038/s41598-025-21723-x
Received:
Accepted:
Published:
Version of record:
DOI: https://doi.org/10.1038/s41598-025-21723-x





















