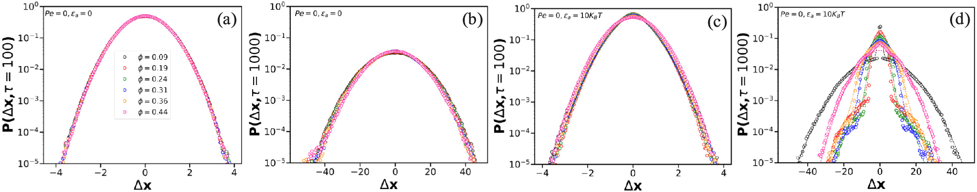
Fig. 5

Plot of \(P(\Delta x; \tau )\) as a function of packing fraction \(\phi\) at lag times (a) \(\tau =100\), (b) \(\tau =1000\), for non-sticky crowders with \(\varepsilon _a = 0\) and for sticky situation with \(\varepsilon _a= 10 k_BT\) at lag times (c) \(\tau =100\), (d) \(\tau =1000\) for passive tracer particle. The dashed lines show the best fit of the simulation data. The fundamental unit of time is expressed \(\tilde{t}\) as mentioned in the methods section.