Abstract
Transport of single molecules via passive or active processes is crucial for biological functioning. In this study, we investigate the dynamics of point-like self-propelled tracer particles in a non-inert, ordered crowded environment using underdamped Langevin dynamics. The crowders are modeled by creating a biologically relevant setting with high damping and attractive centers. We analyze the diffusion of passive and self-propelled tracers as a function of crowder stickiness and packing fraction. Passive tracers exhibit subdiffusive behavior, while self-propelled tracers show superdiffusion despite obstruction by crowders. At intermediate packing fractions, diffusion is suppressed due to perfectly separated attractive centers, an effect overcome by active propulsion, which enhances tracer mobility. In extreme crowding situations, the attractive potential valleys start to overlap, contributing to enhanced diffusion. The displacement probability distribution of passive tracers is non-Gaussian at intermediate packing fractions, displaying a double-Gaussian structure. This non-Gaussianity is reduced for active tracers, whose distributions exhibit soft multi-step features arising from repeated hopping and trapping events. Furthermore, propulsion restores ergodicity, which is otherwise broken due to the presence of sticky crowders.
Introduction
The transport property of macromolecules in a complex environment is a fundamental problem with applications in medical and biological systems1,2,3,4,5,6,7,8,9,10. For example, diffusion is fundamental to the biochemical and physicochemical reactions that drive cellular life, such as protein-protein association, gene transcription, cellular transport through biofilaments, drug delivery, chromatin dynamics in the nucleus, and signal transmission11,12,13,14,15,16.
The transport of macromolecules in biological systems occurs via two primary mechanisms during cellular functions and drug delivery17,18. One is the transport of a passive Brownian particle driven by thermal fluctuations19,20,21. The Brownian particle moves as energy dissipation caused by friction is balanced by stochastic forces, as described by the fluctuation-dissipation theorem, which results in random motion. These transport processes can be seen in the nuclear pore complex, diffusion through the mucus membrane, etc22. The transport processes become more interesting when the tracer particle is driven out of equilibrium, as observed in active matter systems23,24,25,26. Motility is a key driver of cellular transport, pattern formation, and the emergence of collective dynamics in biological as well as artificial systems. Active biomolecules are driven by the utilization of chemical energy from ATP hydrolysis, which produces directed motion. Examples include chemically induced molecules such as actin filaments, molecular motors, etc27,28. These nonequilibrium transport systems have attained significant attention in statistical mechanics in recent years29,30,31,32. Recent experimental studies in in-vitro setups highlighted the diffusion of passive and active agents, which have applications in fluorescence correlation microscopy and single particle tracking33,34. The tracer dynamics in symmetric obstacles has previously been investigated, and the influence of obstacle softness on the diffusive behavior of active particles has also been studied extensively.35,36 These studies elucidate the transport mechanisms of molecules, pathogens, and proteins in biological systems. Experiments reveal that tracer dynamics in complex environments exhibit non-Gaussian and subdiffusive behavior, typically on short timescales37. However, in-depth theoretical insights into the interaction of active matter physics with macromolecular crowding (MMC), revealing the non-Gaussian nature, are still lacking.
In this paper, we focus on elucidating the dynamics of passive and active Brownian tracer-crowd interaction as they transport through the infinite-lattice macromolecular crowded environment. MMC creates a dense environment that regulates cellular biochemical kinetics38,39,40. We examine the mean squared displacement (MSD) of the tracer particle in a crowded environment, which takes the power form \(\langle \Delta r^2(t)\rangle = t^\beta\) where \(\beta\) is the anamalous diffusion exponent41,42. Its typical range is \(1< \beta < 2\), indicating the motion from ballistic (\(\beta \sim 2\)) at a very short time scale and, as time progresses, diffusive (\(\beta \sim 1\)) at longer times. We note the logarithmic exponent of MSD. In accordance with MSD, \(\beta\) also follows a typical three-stage variation. It starts from a short-time ballistic regime \(\beta \approx 2\), reaches the significant subdiffusion region \(\beta < 1\) in intermediate time scales, and finally tends to normal diffusion \(\beta \approx 1\) in long times. The three-stage variation of \(\beta\) is not universal, but depends on specific parameters43,44. The tracer particle jiggling in the lattice of immobile, regularly ordered obstacles showed that the anamalous diffusive regime has a dependence on the obstacle volume occupancy1. We noted that for dense obstacle lattices, that is, at higher packing fraction \(\phi\), we observe a distribution of tracer particle trapping in the dynamical cages formed between crowders5,45,46,47,48. A potential valley is created between the overlapping regions of the crowders.
As the active Brownian tracer particle diffuses through the crowded environment, it undergoes collisions and interacts with the environment, significantly shaping its dynamics3,49,50,51,52,53. Consequently, the medium influences the persistent motion of active tracers. For attractive interaction between the crowder and the tracer, a tug-of-war-like situation arises between the activity and the arrest of the tracer particle in the crowded medium. This behavior can be rationalized using the van-Hove function for better elucidation. For a passive tracer particle with no attractive interaction with the crowders, we observe a purely diffusive motion of the tracer resulting in a Gaussian distribution. Moreover, the increasing stickiness results in the double hump in the van-Hove behaviour, which can be interpreted in terms of key parameters, i.e., the size and depth of the potential well. The double hump behaviour corresponds to two distinct Gaussian distributions, where the broader one associates with the hopping and the narrower one with tracer particle sticking to crowders. Whereas the van-Hove correlation function exhibits broader distributions for the active tracer particle, reflecting enhanced spatial exploration over a given time interval. The ripple patterns observed in the van-Hove correlation function arising from the interplay between activity and attraction are well captured by the double non-Gaussian fitting.
To examine the stochastic behavior and to establish the underlying diffusion mechanism, we noted the ensemble average of time-averaged trajectories (TAMSD) to look at the ergodicity of the point-sized tracer particle7. It is counterintuitive to note that the ergodicity of the system breaks at the intermediate packing fraction and activity, as the spatial and temporal averages of mean squared displacement are distinct. But, at the higher volume occupancy of the obstacle and activity of tracer particles in the crowded environment, the system again becomes ergodic, rationalised by the non-Gaussianity parameter.
Schematic representation of the trajectories of a passive particle in green (top row) and a self-propelled particle in red (bottom row) at given configurations. (a) Shows the passive particle trajectory at a packing fraction \(\phi = 0.13\), attraction strength \(\varepsilon _a = 2 k_BT\), (b) trajectory at \(\phi =0.24\) and adhesion strength \(\varepsilon _a = 5 k_BT\) and (c) binded trajectory around lattice sites happened at higher strength \(\varepsilon _a = 5 k_BT\) at optimal packing fraction \(\phi =0.31\). At the bottom row, the trajectories in red are at three propulsion strengths (\(Pe = 6, 10, 20\)) respectively at fixed attraction strength \(\varepsilon _a = 10 k_BT\) at optimal packing fraction. The trajectory is getting unbound from the lattice sites from left to right (bottom row) due to propulsion.
The article is structured as follows. In the first section, we discuss results such as diffusion dynamics of the tracer particle in terms of MSD, \(\beta (t)\), diffusion constant, and a more detailed elucidation in terms of van-Hove function, and TAMSD. This is followed by a summary and conclusions drawn from the results section. Finally, we elaborate on the model used for our study.
Results
The physical properties of a self-propelled probe particle immersed in a complex, ordered, non-inert system are primarily dictated by the interplay between the particle’s activity and the strength of attractive interactions within the crowded environment, which are influenced by the system’s packing fraction. This study focuses on the emergence of exotic anomalous, non-Gaussian behavior arising from the interactions between the probe particle and the crowded medium. Our analysis encompasses both the time-dependent diffusion dynamics and the long-term diffusion coefficient, shedding light on the intricate mechanisms driving such behavior.
MSD(t), \(\beta\)(t), and D
To elucidate the dynamics of the tracer particle, we first compute the mean squared displacement (MSD), which is defined as \(\langle \Delta r^2(t)\rangle =\langle \mid r_i(t)-r_i(0) \mid ^2\rangle\), where \(r_i(t)\) is the position of the particle at time t. The MSD of a Brownian particle takes the power-law form: \(\langle \Delta r^2_{i}(t)\rangle \sim t^{\beta }\) where \(\beta\) is the anomalous exponent. At very short time scales in free space, the tracer particle exhibits ballistic motion with \(\beta \sim 2\). Over longer time scales, its motion transitions to normal diffusion, characterized by \(\beta \sim 1\). However, deviations from normal diffusion occur in crowded media, resulting in anomalous diffusive behavior where \(\beta \ne 1\). During the ballistic regime at very short times, the tracer particle’s motion remains largely unaffected by the crowded environment. At intermediate times, the influence of the surrounding crowders slows down the particle, leading to anomalous diffusion. Eventually, the particle exhibits normal diffusion with \(\beta \sim 1\). Introducing attractive sites within the crowded environment further alters MSD. The presence of these sites traps the tracer particle, thereby reducing its MSD. As the stickiness (\(\varepsilon _a\)) of the environment increases, the motion of the particle becomes increasingly restricted due to stronger attractive interactions, resulting in a more pronounced reduction in MSD.
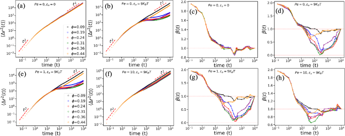
Plot of the variation of mean squared displacement and corresponding local exponent of passive tracer particle (top row) and self-propelled tracer particle (bottom row) with packing fraction (\(\phi\)) of the system. (a,b) is at attraction strength (\(\varepsilon _a = 0, 9 k_BT\)) respectively, and (c,d) is the corresponding local exponent. (e,f) shows the variation of MSD, and (g,h) show the variation of the local exponent with packing fraction at propulsion \(Pe=1, 10\) at a fixed adhesion strength (\(\varepsilon _a = 9 k_BT\)), respectively. Here, the parameters used are in non-dimensional LJ units, the length and energy measured in terms of \(\sigma\) and \(k_B T\) respectively.
To validate our simulation methodologies, we first investigate the motion of a passive tracer particle in free space, for both underdamped and overdamped limits. We validate the underdamped dynamics by comparing our results with the solution of the Ornstein-Uhlenbeck process54,
In this case, the particle exhibits characteristic ballistic motion at short times, where the mean squared displacement scales as \(\langle \Delta r^2(t) \rangle \sim t^2\), transitioning to diffusive behavior (\(\sim t\)) at longer times due to the cumulative effect of damping and stochastic forces. Our simulation accurately captures this two-regime behavior, further demonstrating the reliability of our numerical approach in modeling tracer dynamics under various physical conditions.
In the overdamped regime, where inertial effects are negligible due to high friction, the simulation outcomes are evaluated against the analytical expression \(\langle \Delta r^2(t) \rangle = 6D_t t\), which was shown in Fig. S1 The simulation data show excellent agreement with the theoretical prediction, confirming the expected purely diffusive behavior (\(\langle \Delta r^2(t) \rangle \sim t\)) on all time scales in this regime.
Subsequently, we extended our investigation to study the dynamics of a self-propelled tracer particle under both overdamped and underdamped conditions. Once again, we compared our simulation results with the analytical expression55,56
The results show good agreement with the expected behavior, demonstrating a diffusive regime at short times, followed by an intermediate super-diffusive phase, and eventually returning to diffusive motion at long times, as shown in Fig. S1. In the absence of the active force term (\(F_a = 0\)) in the governing equation, the system exhibits purely passive dynamics, and the particle’s motion corresponds to that of a passive tracer. In the underdamped limit, we validate our simulation as shown in Fig. S2, which is initial ballistic and long time diffusive, with a constant shift in the MSD profile, which characterizes the propulsion strength57,58. The underdamped passive tracer dynamics validated with the solution of the Ornstein-Uhlenbeck process54. Representative trajectories of both passive and self-propelled particles are presented in Fig. S3 to highlight the distinct nature of their motion.
First, we studied the dynamics of a passive tracer particle in a non-inert, crowded environment. Thermal fluctuations and attractive interactions among the crowders govern the motion of these particles. The behavior of the tracer particle in this system is influenced by two key parameters: the packing fraction of the medium (\(\phi\)), which determines the density of crowders, and the stickiness (\(\varepsilon _a\)) of the crowders, which quantifies the strength of the attractive interactions associated with the fixed crowders.
Figure 2a,b illustrates the variation in the mean squared displacement (MSD) for two different stickiness values (\(\varepsilon _a = 0\) and \(\varepsilon _a = 9 k_BT\)) at various packing fraction values (\(\phi\)). At lower stickiness (\(\varepsilon _a = 0\)), the tracer particle diffuses freely, as shown in Fig.1a, resulting in negligible variation in the MSD (Fig.2a). This behavior can be attributed to the larger available space between the crowders, which allows the tracer particle to have more freedom of movement. However, when the stickiness increases to \(\varepsilon _a = 9 k_BT\), as depicted in Fig.2b, the crowder size significantly influences the diffusion dynamics. As the size of the crowder increases, the MSD value decreases, likely due to dynamic caging caused by the larger attractive surface area of the fixed crowders. Tracer particles cannot overcome this caging because they cannot have sufficient energy from the thermal fluctuations of the medium. At large crowd sizes (\(\sigma _c \sim L\)), the attractive potential surfaces overlap, forming a valley of equipotential surfaces. This geometrical frustration limits the tracer particle’s movement, allowing it to navigate along the semi-equipotential surfaces connecting the crowders.
At low and intermediate packing fractions or crowder sizes (\(\sigma _c\)), the tracer particle becomes trapped due to the sticky surfaces of the crowders, exhibiting subdiffusive behavior (\(\beta < 1\)). As the packing fraction increases, the attractive surfaces of the crowders approach each other, forming an overlapping potential valley that behaves like a single potential surface. This overlap allows the tracer particle to move more freely, resulting in higher MSD values. The observed behavior suggests an optimal crowder size, where overlapping potential valleys are just beginning to form, creating geometric frustration and slowing diffusion, particularly at intermediate values of packing fraction (\(\phi = 0.31\)), as shown in Fig. 1c.
The active tracer particle’s behavior in non-inert crowding system is influenced by three key parameters: the packing fraction of the medium (\(\phi\)), which determines the density of crowders, the stickiness (\(\varepsilon _a\)) of the crowders, which quantifies the strength of the attractive interactions associated with the fixed crowders, and the activity of the tracer particle (Pe), which signifies the self-propelling forces acting on it. In this system, we observe an interplay between the tracer particle’s activity and the crowder’s attractive interaction. At a fixed attractive strength, at lower activity, the tracer particle’s MSD exhibits two distinct regimes: ballistic at short times and diffusive at long times. At short times, due to the active force, the tracer particle gains mobility, enhancing its MSD, and the tracer exhibits ballistic motion. As time proceeds, the existence of crowders begins to impact the motion of the tracer particle, resulting in a slowing down of its motion.
In the case of a self-propelled particle, the dynamics is given by the activity (Pe) along with medium properties, including packing fraction(\(\phi\)) and stickiness (\(\varepsilon _a\)). In Fig. 2e, we have shown the variation of MSD at a fixed value of stickiness (\(\varepsilon _a = 9 k_BT\)), a fixed value of activity (\(Pe=1\)) at different packing fraction values.
At a higher packing fraction, as the size of the crowders increases, the crowding effect becomes more pronounced. At higher stickiness and larger crowder size, the diffusion of active tracer particles is like a “tug-of-war” situation between the activity and the geometrical trapping by crowders. This results in slowing the diffusion of the tracer particle. On increasing the tracer particle’s activity to \(Pe = 6\) shown in Fig. S4, it recovers from the trapping, which in turn results in higher diffusion.
As shown in Fig. 2f, increasing the activity to a higher value (\(Pe=10\)), enhances the tracer’s mobility, enabling it to hop between lattice sites. This activity induced mobility effectively overcomes the attractive interactions (stickiness) of the crowders, diminishing the trapping behavior typically observed in a crowded environment. At high propulsion strengths, the role of interaction is negligible, allowing the particle to move through dense surroundings with reduced obstruction and exhibit free diffusion.
For a smaller crowder size or packing fraction, the active tracer particle can easily move through the system. However, an optimum crowder size exists, where the tracer particle starts to feel the existence of the overlapping potential valleys created by the crowders. This leads to geometric frustration and slows the diffusion of tracer particles, specifically at the intermediate packing fraction (\(\phi = 0.31\)). Subsequently, at the larger crowder size, the tracer particle escapes from the crowded environment, and eventually, the dynamics become diffusive. Furthermore, rotational inertia has a significant role in the particle dynamics to create an inertial delay between the velocity and orientation of the particle. This effect has been experimentally observed for single active particles and theoretically verified by explicitly accounting for rotational inertia59. The persistence of single-particle trajectories is maintained by rotational inertia until interrupted by either a crowder interaction or by reorientation due to rotational diffusion. Consequently, rotational inertia effectively increases persistence time. Although we did not explicitly analyze the rotational mean-square displacement, our results indicate that rotational inertia strongly influences the diffusion-to-subdiffusion transition. By prolonging the persistence of propulsion direction, rotational inertia enhances the likelihood of particles remaining trapped at crowded sites, thereby amplifying subdiffusive behavior. At long times, however, the rotational mean-squared displacement becomes independent of rotational inertia.
The diffusive behavior of the tracer can be further characterized by evaluating the anomalous local exponent of time \(\beta (t)\), which describes the time dependence of the mean squared displacement (MSD) or the mean squared displacement averaged over time (TAMSD). This exponent is defined via the scaling relation \(\langle \Delta r^2(t) \rangle \sim t^{\beta (t)}\), and is typically computed as the local slope of the MSD on a log-log plot:
To obtain well-resolved and statistically reliable profiles for determining the local time exponent, the ensemble-averaged MSD and TAMSD are often computed over a large number of trajectories.
The time evolution of the anomalous exponent \(\beta (t)\), shown in Fig. 2c, corresponds to a passive tracer particle diffusing in a medium of inert crowders at varying packing fractions \(\phi\). This analysis provides insight into how tracer dynamics evolve over time in the absence of significant interactions. Consistent with the MSD behavior, \(\beta (t)\) exhibits a characteristic two-regime pattern in the non-interacting case (\(\varepsilon _a = 0\)): an initial ballistic regime with \(\beta \approx 2\), followed by a crossover to normal diffusion with \(\beta \approx 1\) at longer times. No intermediate subdiffusive (\(\beta < 1\)) or superdiffusive (\(\beta > 1\)) anomalous behavior is observed during this transition. The absence of anomalous scaling indicates that, without attractive interactions, the tracer undergoes a conventional ballistic-to-diffusive crossover, unimpeded by trapping or caging effects that typically arise in more complex or interacting environments.
At higher attraction strength (\(\varepsilon _a = 9k_BT\)), the tracer dynamics exhibit a three-stage behavior, as shown in Fig. 2d. Initially, at short times, the tracer displays ballistic motion with \(\beta \approx 2\), as it is not yet significantly influenced by the crowded environment. At intermediate times, \(\beta (t)\) drops below unity, indicating pronounced subdiffusive behavior. This regime corresponds to transient trapping of the tracer in overlapping attractive potential wells formed by neighboring crowders. At long times, the tracer escapes these traps and transitions to normal diffusion with \(\beta \approx 1\).
The degree of subdiffusion is most significant at intermediate packing fraction (\(\phi \sim 0.31\)), where the separation of attractive regions is optimal for trapping as the packing fraction increases further (e.g., \(\phi \sim 0.44\)), the overlap becomes more extensive but less effective at confining the tracer, resulting in a weaker subdiffusive regime. While similar subdiffusive behavior has been reported in polymer-crowding environments53,54, our results highlight the critical role of attractive interactions (“stickiness”) for passive tracers54. A more detailed analysis of the impact of activity (Pe) will be presented in a later section.
Now, examine how activity influences the anomalous exponent \(\beta (t)\). In Fig. 2g,h, we show how \(\beta (t)\) varies with the packing fraction of crowders at a fixed stickiness strength (\(\varepsilon _a = 9 k_B T\)), for two distinctly different activity characterized by low and high Péclet numbers \(Pe = 1\), and \(Pe = 10\), respectively. At low activity (\(Pe = 1\)), the tracer’s self-propulsion is weak and insufficient to overcome the hindering effects of the crowded environment. Consequently, the packing fraction continues to exert a strong influence, and subdiffusive behavior (\(\beta (t) < 1\)) persists over an extended time window. However, compared to the passive case, a modest enhancement in \(\beta (t)\) is observed (see Fig. 2g), indicating that even weak activity introduces persistent motion that facilitates tracer escape from local traps. As activity increases (\(Pe = 10\)), the tracer can overcome adhesive interactions with the crowders. This increases \(\beta (t)\) across intermediate and long time scales. Eventually, the tracer reaches a normal diffusion limit with \(\beta \approx 1\), as shown in Fig. 2h. These results demonstrate that self-propulsion plays a key role in enhancing tracer mobility in sticky, crowded environments. Activity helps the tracer escape from transient potential wells formed by overlapping attractive regions between crowders. This leads to a systematic increase in effective diffusivity and a transition from subdiffusive to diffusive dynamics at long times, a trend robust across parameter regimes.
To characterize the diffusive behavior of the tracer particle, we compute the normalized long-time diffusion coefficient, defined as \(D = 1/6 \lim _{t \rightarrow \infty } \langle \Delta r^2(t) \rangle /{t}\), where \(\langle \Delta r^2(t) \rangle\) is the mean squared displacement MSD(t). We analyze the dimensionless normalized diffusion coefficient \(\tilde{D} = D/D_0\), of the passive tracer particle as a function of packing fraction \(\phi\) for different attractive interaction strengths \(\varepsilon _a\) and propulsion strength \(Pe\). Here, \(D_0\) denotes the diffusion coefficient of the tracer particle in the absence of crowders (i.e., in free space). The results reveal a non-monotonic dependence of the diffusion coefficient on the packing fraction, indicating a complex interplay between crowding geometry and attractive interactions.
The Schematic represents the diffusive behavior of passive particles. (a) Represents the variation of \(\tilde{D}\) as a function of packing fraction (\(\phi\)), (b) as a function of attraction strength (\(\varepsilon _a\)), and the contour plot shows the variation of both model parameters simultaneously. Here \(\tilde{D} = D/D_0\) is the normalized diffusion constant of a passive tracer, where \(D_0\) is the diffusion constant of a tracer particle in free space.
The variation of the normalized diffusion coefficient of the passive tracer particle as a function of the packing fraction \(\phi\), for different values of the attractive strength \(\varepsilon _a\) (stickiness), is illustrated in Fig. 3a. The results show that the diffusion coefficient decreases monotonically with increasing packing fraction, indicating increased hindrance to tracer mobility at high packing fraction (\(\phi\)) created by the larger obstacles. This behavior reflects the growing spatial confinement and longer interaction times between the tracer and the attractive crowders as \(\sigma _c\) increases. At a particular intermediate packing fraction, the influence of crodwer size becomes most effective and leads to the lowest diffusion constant. Beyond a critical packing fraction (\(\phi \gtrsim 0.31\)), the diffusion constant increases consistently across all attraction strengths. This enhancement is attributed to the formation of quasi-equipotential, valley-like pathways between lattice sites, which facilitate less obstructed tracer motion. At larger values of packing fraction (\(\phi > 0.36\)), the potential well overlap becomes ineffective for trapping, allowing unrestricted diffusion along these valleys. In contrast, at intermediate crowder sizes, the spatial separation between crowders hinders hopping and enhances trapping, leading to a minimum in the diffusion constant. This dip can be attributed to anomalous dynamics in the crowded environment, where the tracer particle is more confined and experiences transient trapping effects. The turnover points where this decrease-increase transition occurs are shown in Fig. 3a. For both small and large packing fractions, even moderate attractions (e.g., \(\varepsilon _a = 2k_BT\)) can induce partial trapping and reduce mobility. At intermediate attraction strengths (e.g., \(\varepsilon _a = 5k_BT\)), hopping remains possible but is increasingly hindered. For strong attractions (e.g., \(\varepsilon _a = 10k_BT\)), we observed pronounced trapping and significantly suppressed diffusion.
Now, we study \(\tilde{D}\) as a function of \(\varepsilon _a\) for different packing fraction \(\phi\) in Fig. 3b. The results show a general monotonic decrease in the diffusion coefficient with increasing stickiness, indicating that stronger attractive interactions between the tracer and crowders hinder particle mobility. This suppression arises due to the increased likelihood of the tracer being temporarily trapped at the crowder lattice sites. However, an interesting deviation was observed from this trend for optimal packing fraction (\(\phi = 0.44\)), where the diffusion coefficient exhibits a relative enhancement regardless of the stickiness value. This suggests that at this particular crowd size, the crowd’s spatial organization or dynamic rearrangements may facilitate more efficient tracer motion, partially offsetting the effects of increased attraction.
To better elucidate the dependence of the diffusion constant on system parameters, we present a heat map in Fig. 3c, where both attraction strength (\(\varepsilon _a\)) and packing fraction (\(\phi\)) are varied. The color scale denotes the diffusivity, with brighter regions indicating higher diffusion. As expected, diffusivity is highest at low attraction strengths. Even with moderate stickiness (\(\varepsilon _a > 2 k_BT\)), enhanced diffusion persists at both low and high packing fractions. In contrast, diffusivity exhibits a pronounced minimum at intermediate crowder densities, highlighting the geometry-driven competing effects of crowding and attraction-induced trapping.
The plot shows the systematic variation of \(\tilde{D}\) of self-propelled tracer particle. The top row shows the variation of tracer particle at a propulsion strength \(Pe=6\) by changing packing fraction (\(\phi\)) in (a), and attraction strength (\(\varepsilon _a\)) in (b), along with contour map in (c) to show simultaneous effect. The middle row shows the variation at fixed packing fraction (\(\phi =0.31\)) at simultaneous variation of propulsion (Pe) and attraction strength (\(\varepsilon _a\)) given in (d–f). In that order, we show the behaviour of \(\tilde{D}\) at fixed attraction strength at \(\varepsilon _a = 10k_BT\) from (g–i) by varying packing fraction and propulsion. All the parameters are expressed in non-dimensional units.
Next, we examine the variation of the normalized diffusion constant \(\tilde{D}\) of a self-propelled tracer particle, as shown in Fig. 4. Figure 4a–c shows the dependence of \(\tilde{D}\) on system parameters at a fixed intermediate propulsion force \(F_a\) corresponding to a Péclet number \(Pe=6\). The diffusion constant exhibits a non-monotonic dependence on packing fraction \(\phi\), indicating that tracer mobility is sensitive to the geometric constraints imposed by the crowders. At low attraction strengths, crowders have only a weak effect on particle mobility. As the attraction strength increases, the tracer becomes increasingly restricted, with the strongest suppression occurring at intermediate packing fractions where crowders are large but still relatively far apart. Further increasing the packing fraction brings crowders closer together, creating overlapping potential valleys that enable the tracer to hop between neighboring crowders more easily, resulting in enhanced diffusion. Figure 4b shows the variation of \(\tilde{D}\) with attraction strength \(\varepsilon _a\) for different values of packing fraction. For intermediate crowder sizes (\(\phi = 0.19, 0.31\)), diffusion decreases sharply as \(\varepsilon _a\) increases, indicating that strong attractive interactions significantly hinder tracer mobility. In contrast, for small and large values of packing fraction (\(\phi = 0.09, 0.44\)), diffusion exhibits a slow, monotonic decay with increasing \(\varepsilon _a\). For small crowders, the sparse distribution results in weaker confinement and relatively high mobility regardless of attraction strength. For large crowders, overlapping excluded volumes create interconnected voids, facilitating tracer motion even under strong adhesion. Figure 4c presents a phase plot of \(\tilde{D}\) in the \(\varepsilon _a\) versus \(\phi\) plane. At low \(\varepsilon _a\), where attractive interactions are negligible, \(\tilde{D}\) decreases monotonically with increasing packing fraction. However, at higher \(\varepsilon _a\), a non-monotonic behavior emerges. This indicates that crowding-induced enhancement of diffusion arises only in the sticky situation.
Now we observe the variation of \(\tilde{D}\) presents \(\tilde{D}\) as a function of propulsion strengths \(Pe\) at a fixed packing fraction \(\phi =0.36\) for different attraction strengths in Fig. 4d. At low \(\varepsilon _a\), diffusion remains nearly constant across all propulsion strengths. However, with increasing \(\varepsilon _a\), diffusion becomes highly sensitive to propulsion: tracers with low propulsion are strongly hindered, whereas highly propelled tracers overcome adhesive interactions and maintain higher mobility. In Fig. 4e, we show \(\tilde{D}\) as a function of \(\varepsilon _a\) at a fixed packing fraction \(\phi =0.36\) for different Pe. The diffusion coefficient consistently decreases with \(\varepsilon _a\) across all propulsion strengths, highlighting the dominant role of attraction strength in minimizing transport even inherent tracer propulsion. But higher propulsion shows a significant role in the enhancement of transport. In the phase plot of \(\tilde{D}\) in \(\varepsilon _a\) vs \(\phi\) plane (see Fig.4f) D is monotonically increasing as we increases Pe.
Figure 4g shows \(\tilde{D}\) as a function of \(\phi\) for different Pe at a fixed \(\varepsilon _a = 10 k_BT\). For relatively high attraction strengths, at any propulsion strengths, the D exhibits nonmonotonic dependency on \(\phi\). Figure 4h shows \(\tilde{D}\) as a function of \(Pe\) for different \(\phi\) at a fixed \(\varepsilon _a = 10 k_BT\). The diffusion increases with activity across all crowder sizes, with larger crowders exhibiting a stronger enhancement, suggesting that large crowders facilitate active tracer transport by reducing spatial hindrance.
Figure 4i demonstrates the combined effects of crowder size and propulsion strength. The color scale represents the magnitude of normalized diffusion, providing a comprehensive view of its dependence on crowder size, stickiness, and propulsion. Both parameters enhance tracer diffusion, with larger crowders amplifying the activity-induced mobility.
van-Hove correlation function
For a more profound understanding of the underlying trapping mechanism of the tracer particle in the ordered environment, we analyze the self-part of the van-Hove correlation function \(P(\Delta x, \tau )\), which describes the probability distribution of the tracer particle’s displacement, and is defined as60,61
where \(x(t+\tau )\) and x(t) represent the tracer particle positions along the x-direction at times \(t+\tau\) and t, respectively. The van-Hove function is independent of direction, reflecting the system’s symmetry and the isotropic nature of tracer particle motion.
For reference, we first calculated the van-Hove function for a free Brownian particle in free space. The probability distribution function is expected to give a Gaussian distribution,
where \(\delta\) measures the width of the distribution, \(\Delta x\) is the tracer particle displacement at any given lag time.
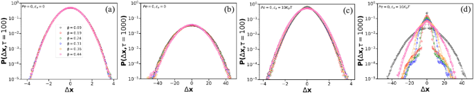
Plot of \(P(\Delta x; \tau )\) as a function of packing fraction \(\phi\) at lag times (a) \(\tau =100\), (b) \(\tau =1000\), for non-sticky crowders with \(\varepsilon _a = 0\) and for sticky situation with \(\varepsilon _a= 10 k_BT\) at lag times (c) \(\tau =100\), (d) \(\tau =1000\) for passive tracer particle. The dashed lines show the best fit of the simulation data. The fundamental unit of time is expressed \(\tilde{t}\) as mentioned in the methods section.
Now, we calculate the van-Hove function of a passive tracer particle within the crowded environment at two short and long lag times, at \(\tau = 10^2, 10^3\) respectively, for various packing fractions. Figure 5a,b show the probability distribution function \(P(\Delta x, \tau )\) of the passive tracer at these lag times in an inert environment (\(\varepsilon _a = 0\)). At shorter times, Fig.5a, for all values of packing fraction (\(\phi\)), the distributions collapse onto a single curve, indicating that the crowder size has no significant effect for the inert situation. Even at longer timescales, Fig.5b, there remains no noticeable dependence of the probability distribution on \(\phi\). As \(\tau\) increases, the van-Hove function broadens, reflecting the tracer particle’s exploration of larger spatial regions. The packing fraction does not significantly affect the tracer’s dynamics because the inert crowders exert minimal interaction forces, allowing the tracer to behave like a free Brownian particle.
As we introduce the attractive interaction between the crowders and the tracer (\(\varepsilon _a = 10k_BT\)), the deviation from Gaussian behavior remains minimal at shorter lag times (\(\tau = 10^2\)) , as shown in Fig. 5c. However, at longer lag times (\(\tau = 10^3\)), this deviation becomes more pronounced, leading to prominent non-Gaussian dynamics. The resulting non-Gaussian behavior can be characterized by the fitting function defined as61
Here, w represents the width of the Gaussian distribution, \(\Gamma\) denotes the gamma function, and \(\delta\) quantifies the extent of Gaussianity. When \(\delta =2\), the distribution is purely Gaussian, while any deviation from this value indicates the degree of non-Gaussianity.
In a crowded environment with attractive interactions, as \(\varepsilon _a\) and \(\phi\) increase, the particle gets attached to the crowder’s surface. This confined motion causes the distribution to become narrower. For a passive tracer, when \(\varepsilon _a\) reaches \(10 k_BT\), the Gaussian nature of the distribution breaks down, and at a lag time of \(\tau =10^3\), the van-Hove curve exhibits a double hump. For \(\phi = 0.24,0.31\), a minimum is observed in the MSD, resulting in an inner Gaussian distribution, indicating the slowest diffusion. This behavior can be interpreted in terms of a potential well, where both its size and depth are key parameters influencing the emergence of the double-hump feature. Two distinct Gaussian distributions are observed in the van-Hove function: a broader one associated with hopping dynamics and a narrower, stiffer one corresponding to the tracer particle stickiness to the surrounding crowders, see Fig. 5d. The double Gaussian profile can be approximated by the sum of two non-Gaussian distributions, defined as
The parameter w represents the resultant width of the curve, derived from the widths of two Gaussian distributions, \(w_1\) and \(w_2\). Similarly, the mean is determined based on the individual means of the two distributions.
For better visualization, we fit individual curves in the supplementary information. Figure S5a shows the fitting of curves for model parameters \(Pe=0, \phi =0.09\) for attraction strength \(\varepsilon _a = 10k_BT\). Figure S5b shows the fitting of a double hump for the packing fraction value(\(\phi = 0.19\)), where we observe the sum of inner Gaussian and outer non-Gaussian profiles.
The plot shows \(P(\Delta x, \tau )\) of a self-propelled tracer particle at two lag time \(\tau =10^2\)(top row) and \(\tau =10^3\)(bottom row). (a–c) Shows the variation at three propulsion strengths (\(Pe = 1, 10, 20\)) respectively at constant \(\varepsilon _a = 10k_BT\) for different values of packing fraction(\(\phi\)) at lag time \(\tau =10^2\). (d–f) show the corresponding variation for three propulsion strengths at lag time (\(\tau =10^3\)). Dashed lines in all figures denote the non-Gaussian fit for each value of packing fraction.
For self-propelled particles (SPPs), the van-Hove correlation function exhibits broader distributions than passive tracers, reflecting enhanced spatial exploration over a given time interval. Figure 6 presents the self-part of the van-Hove correlation function for SPPs at two lag times: low (\(10^2\)) and high (\(10^3\)). It highlights how activity (Pe) and packing fraction (\(\phi\)) influence displacement statistics.
At short lag times (\(\tau =10^2\)), Fig. 6a,b show the van-Hove function for two propulsion strengths (\(Pe = 1\), and 10), fixed attraction strength (\(\varepsilon _a = 10k_BT\)), and varying packing fraction \(\phi\). For \(Pe=1\) (Fig. 6a), the profiles for different \(\phi\) nearly merge onto a single curve, indicating negligible influence of crowder size. In this regime, the tracer rarely reaches crowder sites due to weak propulsion, and trapping by attractive crowders is minimal. Consequently, the van-Hove remains close to Gaussian for both small and large \(\phi\), with only slight deviations at intermediate sizes captured by the non-Gaussian fit in eq. 5.
In contrast, at higher activity (\(Pe=10\)) (Fig. 6b), the van-Hove function broadens and displays noticeable deviation from Gaussianity due to increased tracer-crowder interactions. This deviation is well captured by a stretched exponential (non-Gaussian) form with \(\delta < 2\) in eq. 5. The enhanced propulsion enables the tracer to explore attractive regions more frequently, causing intermittent trapping and leading to a broader, non-Gaussian displacement distribution. However, with further increases in propulsion, the activity overcomes trapping, and the distribution gradually restores to Gaussian behavior, see Fig. 6c.
At longer lag times (\(\tau \sim 10^3\)), Fig. 6d,e shows that the influence of crowder size becomes more prominent. For \(Pe = 1\), Fig. 6d, Gaussian behavior persists at small \(\phi\), but at intermediate sizes (\(0.19< \phi < 0.36\)), a double-hump structure emerges. This structure reflects two populations: one trapped near crowders (inner Gaussian) and the other corresponding to hopping events (outer Gaussian). This behavior is accurately modeled using the double Gaussian expression in eq. 7.
As \(\phi\) increases, the geometric frustration diminishes and the double-hump structure gradually vanishes. For higher propulsion (\(Pe = 10\)) [Fig. 6e], the van Hove function becomes broader and non-Gaussian across all \(\phi\), consistent with active exploration overcoming confinement. In particular, soft multi-step pattern emerge in the distribution at intermediate values of \(\phi\), attributed to repeated hopping between attractive lattice sites. These features arise from competition between activity and attraction, and are best described by a sum of two non-Gaussian profiles, as given by Eq. 7:
where \(w_1\) and \(w_2\) denote the widths, \(\Delta x_1\) and \(\Delta x_2\) are the means of the two components, and \(\delta _1\), \(\delta _2\) quantify deviations from Gaussianity. When \(\delta = 2\), the distribution is Gaussian; otherwise, it exhibits non-Gaussian characteristics.
At high propulsion strengths, activity overcomes attractive interactions, diminishing non-Gaussian features, and restoring Gaussian-like dynamics as shown in Fig. 6f. The soft multi-step pattern observed in the van-Hove correlation function arising from the interplay between activity and attraction is well captured by the double non-Gaussian fitting (Eq.7), as demonstrated in Fig. S5d. Additional fitting details are provided in the Supplementary Information.
TAMSD
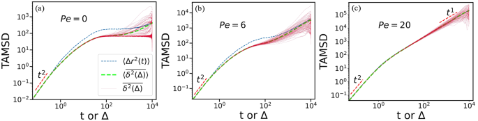
The plot shows the comparison of time averaged mean squared displacement of single trajectory (\(\overline{\delta ^2(\Delta )}\)), Ensemble average of TAMSD (\(\langle \overline{\delta ^2(\Delta )} \rangle\)) and ensemble averaged mean squared displacement (\(\langle \Delta r^2(t) \rangle\)). (a) Presents the comparison results for a passive tracer at packing fraction (\(\phi = 0.31\)) under the highest attraction strength (\(\varepsilon _a = 10k_BT\)). (b) Illustrates the system’s behavior at \(Pe = 6\) , while (c) shows the results at \(Pe = 20\), where ergodicity is observed to be restored.
To investigate potential non-ergodic behavior arising from the presence of attractive crowders, the individual time averaged trajectories (TAMSD) are evaluated using the following expression:7,41
Here, \(T_{max}\) is the total simulation time, \(\Delta\) denotes the lag time, specifying the duration of the sliding time window applied to the trajectory r(t). Further, we averaged the individual trajectories over the available ensembles N, defined as \(\langle \overline{\delta ^2(\Delta )}\rangle =\frac{1}{N} \sum _{i=1}^{N}{\overline{\delta _{i}^2(\Delta ).}}\) We compare the individual TAMSDs, \(\overline{\delta ^2(\Delta )}\), with the ensemble-averaged mean squared displacement (MSD), \(\langle \Delta r^2(t) \rangle\), and the ensemble average of the individual TAMSDs, \(\langle \overline{\delta ^2(\Delta )} \rangle\), to assess their consistency. Prior studies have established that if the MSD and the ensemble-averaged TAMSD exhibit the same scaling behavior over a given time scale, the dynamics can be considered ergodic in that regime. In contrast, significant deviations between these quantities indicate a breakdown of ergodicity, suggesting non-ergodic dynamics.
We begin by examining the dynamics of a passive tracer particle (\(Pe = 0\)), in a non-inert crowded environment with low attraction strength (\(\varepsilon _a = 2k_BT\)), and packing fraction (\(\phi = 0.09\)) (Fig. S6). Under these conditions, the system exhibits ergodic behavior, as indicated by the close agreement between the ensemble-averaged MSD and the ensemble average of individual TAMSDs.
As the attraction strength increases, deviations from ergodicity emerge. At the critical packing fraction \(\phi = 0.31\), where diffusion is notably suppressed, a transient breaking of ergodicity is observed. This deviation is not persistent and occurs primarily at intermediate time scales, suggesting a dynamic crossover between ergodic and non-ergodic regimes.
Upon further increases in attraction strength to \(\varepsilon _a = 10k_BT\) and packing fraction \(\phi = 0.31\) as shown in Fig. 7a, the system remains ergodic at short time scales, but shows a clear divergence between the MSD and ensemble-averaged TAMSD at intermediate time scales. At long times, diffusive behavior resumes, and ergodicity is restored. This intermittent ergodicity breaking arises from the transient trapping of the tracer particle by attractive crowders. At high attraction strengths and optimal crowder sizes, the tracer becomes temporarily localized, unable to escape the attractive domains for extended periods.
Figure 7b presents a comparative analysis of the above three properties for a self-propelled tracer particle at a propulsion strength of \(Pe=6\). Similar to the passive tracer particle, the self-propelled tracer also exhibits ergodic behavior at low attraction strength \(2 k_BT\) and packing fraction \(\phi =0.09\), as shown in Fig. S6, indicating that the addition of self-propulsion does not alter this behavior under these conditions. For higher attraction strength (\(\varepsilon _a = 10 k_BT\)) and the optimal packing fraction (\(\phi =0.31\)), unlike the passive tracer, it shows less deviation of MSD from the TAMSD at the intermediate times. An increase in propulsion strength enables the tracer particle to overcome the confinement induced by sticky crowders; as a result, the dynamics is ergodic for the complete time scale as shown in Fig. 7c. Hence, we can conclude that self-propulsion helps to revive ergodicity even in complex media.
The tracer particle can overcome the geometric frustration created by the crowders at the intermediate crowder size. Anomalous diffusion is frequently associated with non-ergodic dynamics22,30,62. But in this situation, the anomalous behavior slowly diminishes due to propulsion. Overall, propulsion helps restore ergodic behavior.
Discussion
We studied the dynamics of passive and self-propelled tracer particles in a stationary array of ordered, non-inert crowders using Langevin dynamics simulation. Specifically, we investigated how geometrical arrangement, self-propulsion strength, and packing fraction influence diffusion dynamics. For passive tracers, the ordered structure alone exerts minimal influence on mobility. However, introducing attractive interactions between the tracer and crowders reduces diffusion as the packing fraction increases. The ordered crowded environment effectively restricts motion for self-propelled particles at low propulsion forces. As propulsion increases, particles overcome trapping, resulting in nearly unobstructed diffusion regardless of packing fraction. Analysis of the local scaling exponent \(\beta (t)\), obtained from the logarithmic derivative of the mean squared displacement, shows a transition from ballistic to Brownian diffusion via a transient anomalous regime at intermediate times for finite Péclet numbers and high attraction strengths. Long-time diffusion constant calculations reveal an optimal crowding arrangement where equally spaced crowders maximally hinder tracer mobility, resulting in a minimum diffusion constant. The phase diagrams of the normalized diffusion constant \(\tilde{D}\) as functions of attraction strength \(\varepsilon _a\), packing fraction \(\phi\), and the number of Péclets Pe identify the regions of optimal trapping as well as the regimes where crowding improves diffusion. The dynamics is governed by an interplay of geometric arrangement, trapping, hopping, and surface diffusion along effective potential landscapes. The van-Hove correlation function further elucidates the underlying dynamics. For passive particles at low packing fractions, the distribution remains Gaussian regardless of attraction strength. At high packing fractions with attraction, the distribution becomes non-Gaussian. At intermediate packing fractions and attraction strengths, we observe a characteristic double-peaked non-Gaussian distribution arising from surface diffusion along crowders and nearest-neighbor hopping. This double Gaussian structure is also prominent for self-propelled particles at low Pe. At intermediate Pe, particles hop over multiple crowders, leading to a non-Gaussian distribution with wavy undulations. At high Pe, the distribution reverts to Gaussian form. Finally, analysis of the time-averaged mean squared displacement (TAMSD) correlates the observed non-Gaussian behavior with non-ergodicity for passive particles and self-propelled particles at intermediate Pe and attraction strength. At high Pe, the ergodic behavior is restored, consistent with the Gaussian van-Hove distributions.
Methods
We investigate the dynamics of a point-like tracer particle in a crowded medium created on a cubic lattice, where every site is occupied by an immobile spherical obstacle, as shown in Fig. 1. The obstacles are fixed in space at a fixed lattice point, and their size increases from minimum (\(\sigma =0\)), representing a free environment, to maximum, up to \(\sigma =L\), where their effective diameters touch each other. The distance between neighboring obstacle centers is set by the lattice constant L, resulting in a maximum obstacle diameter of \(\sigma _{\text {max}} = L\), corresponding to a maximum packing fraction of \(\phi _{\text {max}} = \pi / 6 \approx 0.52\). By varying the diameter of the obstacle \(\sigma _c\), we tune the effective packing fraction \(\phi\) of the system. To maintain spatial homogeneity, all obstacles are identical in size. Although the obstacles are fixed in space and inertia-free, they exert attractive interactions on the tracer when it approaches. Periodic boundary conditions are applied in all directions. The tracer is initialized at the center of the simulation box to ensure equidistance from the nearest obstacles. Simulations are performed in Lennard-Jones (LJ) units, where the characteristic length \(\sigma\), energy \(\varepsilon\), and mass m define the respective dimensionsless unit scales, and the basic unit of time is \(\tilde{t} = \sigma \sqrt{\frac{m}{\varepsilon }}\), with all other quantities expressed in dimensionless form. To describe the attraction between the tracer particle and surrounding obstacles, we employ the full standard Lennard-Jones potential given as54,63
Here \(r_{ct}\) is the distance between the tracer and crowder particle, and \(\varepsilon _{a}\) is the attraction strength between tracer particle and crowder particle when the diameter is \(\sigma _{ct}=\frac{\sigma _c+\sigma _t}{2}\). A cutoff radius \(r^{cut}_{ct} = 2.5\sigma _{ct}\) is applied to define the range of the interaction between tracer and crowder particles.
We use the underdamped Langevin equation to describe the dynamics of the tracer particle of mass m, located at position r(t) given by27,54,64,65,
Here, \(V(r-R_j)\) characterizes the effective potential between the tracer and the \(j^{th}\) surrounding particle. \(\varvec{F_a} = F_a \varvec{n}\) where \(F_a\) represents the self-propulsion force subject to the active tracer particle with the orientation specified by the unit vector \(\varvec{n}\). As \(F_a = 0\), the above equation results in the dynamics of a passive Brownian particle. Here we used the damping coefficient \(damp = 0.7\) (\(\gamma _t = \frac{m}{damp}\)) to approximate under damp regime.66 The active force can be represented in terms of a non-dimensional quantity Péclet number \(Pe = \frac{F_a\sigma _t}{k_BT}\), where \(Pe = 0\) recovers the passive Brownian particle17. It can also be defined as the ratio between directional motion and the diffusive transport of the particle, \(Pe = \frac{v_a}{\sqrt{D_r D_t}}\)17. Here, \(\gamma _t\) is the translational friction coefficient related to the Gaussian noise. In the case of passive Brownian tracer particles, the thermal fluctuations obey the fluctuation-dissipation theorem governed by the following relations: \(\langle f_t(t) \rangle = 0\) and \(\langle f_t(t_1).f_t(t_2)\rangle = 6\gamma _t k_BT\delta (t_1-t_2)\), here \(k_B\) is the Boltzmann constant, T is absolute temperature, \(\delta\) is the Dirac delta function. The translational diffusion coefficient can be defined as \(D_t = \frac{k_BT}{\gamma _t}\), where \(\gamma _t = 3\pi \eta \sigma _t\) from the Stokes-Einstein’s relation. The corresponding relaxation time for translational diffusion depends on the translational friction coefficient as \(\tau _t = \frac{m}{\gamma _t}\). Here, \(\sigma _t\) is the size of the tracer particle, and \(\eta\) is the viscosity of the fluid medium.
For active Brownian motion of the tracer particle, i.e., a particle that has a persistent motion in a specific direction, the implementation consists on adding a force \(\varvec{F_a} = F_a \varvec{n}\) where \(F_a\) is the magnitude of the force (a constant) and \(\varvec{n}\) is the unit orientation vector. To account for the spherical tracer particle orientation, one also needs the Langevin equation for diffusion exhibiting the rotational degree of freedom, which can be given as53,65,67,68,
where I is the moment of inertia and \(\gamma _r\) denotes the rotational damping coefficient, which is related to the rotational diffusion coefficient as \(D_r = \frac{k_BT}{\gamma _r}\) with relaxation time \(\tau _R = I/\gamma _r\), respectively. Here \(\gamma _r = \pi \eta \sigma _t^3\) has the dimensions of volume. An active tracer particle, due to the inclusion of a propelling force, disobeys the fluctuation-dissipation theorem; as a result, the system is out of equilibrium. The constant magnitude of force directed along the unit vector of \(\varvec{n}\), which changes randomly with time as given by \(d\varvec{n}/dt = \boldsymbol{f_r}(t) \times \varvec{n}\), here \(\boldsymbol{f_r}(t)\) is the gaussian white noise random vector with components \((f_{rx},f_{ry},f_{rz})\) which controls the propelling direction of self propelled particle with following moments, \(\langle f_r(t) \rangle = 0\) and \(\langle f_r(t_1).f_r(t_2)\rangle = 2 \gamma _r k_B T \delta (t_1-t_2)\).
A generalized relation exists between translational and rotational diffusion coefficients for both passive and active particles. For the passive case, the relation between the translational and rotational diffusion constant is \(\frac{D_r}{D_t}= \frac{3}{\sigma _t^2}\). For the active particle, the rotational diffusion coefficient defines the time scale for randomized self-propelled directional motion; as a result, the particle’s self-propelled direction follows Eq. 11. The relation of the effective diffusion coefficient is given by55:
Here, \(D_t\) is the translational diffusion coefficient, va is the self-propelled velocity, which is related to self-propelled force as \(v_a=\frac{\tau _t}{m}F_a\), and \(D_r\) is the rotational diffusion coefficient.
Initially, the simulation is carried out for \(2 \times 10^5\) steps to set the equilibrium, followed by the final simulation of \(10^7\) steps with \(\Delta t=0.001\) as the integration time step. A Langevin thermostat is employed to maintain the thermal environment, and the equation of motion is integrated using the velocity-Verlet algorithm. The periodic boundary condition is implemented to maintain the isotropic environment in all directions. All simulations are carried out using LAMMPS packages69, which provide robust and efficient tools for modeling complex particle interactions and dynamics70.
Data Availability
The datasets generated or analysed during this study are available from the corresponding author upon reasonable request.
References
Abaurrea-Velasco, C., Lozano, C., Bechinger, C. & Graaf, J. Autonomously probing viscoelasticity in disordered suspensions. Phys. Rev. Lett. 125, 258002 (2020).
Mariya, S., Barr, J. J., Sunthar, P. & Prakash, J. R. Subdiffusion of sticky dendrimers in an associative polymer network. arXiv preprint arXiv:2505.05682 (2025).
Aragones, J. L., Yazdi, S. & Alexander-Katz, A. Diffusion of self-propelled particles in complex media. Phys. Rev. Fluids 3, 083301 (2018).
Bhattacharyya, P., Sharma, R. & Cherayil, B. J. Confinement and viscoelastic effects on chain closure dynamics. J. Chem. Phys. 136, 234903 (2012).
Cao, X.-Z., Merlitz, H., Wu, C.-X. & Forest, M. G. Chain stiffness boosts active nanoparticle transport in polymer networks. Phys. Rev. E 103, 052501 (2021).
Majumdar, A., Dogra, P., Maity, S. & Mukhopadhyay, S. Liquid-liquid phase separation is driven by large-scale conformational unwinding and fluctuations of intrinsically disordered protein molecules. J. Phys. Chem. Lett. 10, 3929–3936 (2019).
Cherstvy, A. G., Thapa, S., Wagner, C. E. & Metzler, R. Non-gaussian, non-ergodic, and non-fickian diffusion of tracers in mucin hydrogels. Soft Matter 15, 2526–2551 (2019).
Wong, I. Y. et al. Anomalous diffusion probes microstructure dynamics of entangled f-actin networks. Phys. Rev. Lett. 92, 178101. https://doi.org/10.1103/PhysRevLett.92.178101 (2004).
Mitchell, M. J. et al. Engineering precision nanoparticles for drug delivery. Nat. Rev. Drug Discov. 20, 101–124 (2021).
Anderson, S., Garamella, J., Adalbert, S., McGorty, R. & Robertson-Anderson, R. Subtle changes in crosslinking drive diverse anomalous transport characteristics in actin-microtubule networks. Soft Matter 17, 4375–4385 (2021).
Werner, M., Margaretti, P. & Maciołek, A. Drag force for asymmetrically grafted colloids in polymer solutions. Front. Phys. 7, 122 (2019).
Rose, K. A. et al. Particle tracking of nanoparticles in soft matter. J. Appl. Phys. 127, 191101 (2020).
Lu, Y., Liu, X.-Y. & Hu, G.-H. Double-spring model for nanoparticle diffusion in a polymer network. Macromolecules 55, 4548–4556 (2022).
Roy, S. M. et al. Kinetics of nanomedicine in tumor spheroid as an in vitro model system for efficient tumor-targeted drug delivery with insights from mathematical models. Front. Bioeng. Biotechnol. 9, 785937 (2021).
Roy, S. M. et al. Overcoming the barriers of nuclear-targeted drug delivery using nanomedicine-based strategies for enhanced anticancer therapy. J. Drug Deliv. Sci. Technol. 83, 104408 (2023).
Shin, J., Cherstvy, A. G., Kim, W. K. & Zaburdaev, V. Elasticity-based polymer sorting in active fluids: A Brownian dynamics study. Phys. Chem. Chem. Phys. 19, 18338–18347. https://doi.org/10.1039/C7CP02947K (2017).
Kim, Y., Joo, S., Kim, W. K. & Jeon, J.-H. Active diffusion of self-propelled particles in flexible polymer networks. Macromolecules 55, 7136–7147 (2022).
Cho, H. W., Kim, H., Sung, B. J. & Kim, J. S. Tracer diffusion in tightly-meshed homogeneous polymer networks: A Brownian dynamics simulation study. Polymers 12, 2067 (2020).
Nayak, S. et al. Diffusion transients in motility-induced phase separation. Phys. Rev. Res. 7, 013153 (2025).
Barrick, T. R., Ingo, C., Hall, M. G. & Howe, F. A. Quasi-diffusion imaging: Application to ultra-high b-value and time-dependent diffusion images of brain tissue. NMR Biomed. 38, e70011 (2025).
Shin, J., Cherstvy, A. G. & Metzler, R. Self-subdiffusion in solutions of star-shaped crowders: Non-monotonic effects of inter-particle interactions. New J. Phys. 17, 113028. https://doi.org/10.1088/1367-2630/17/11/113028 (2015).
Burov, S., Jeon, J.-H., Metzler, R. & Barkai, E. Single particle tracking in systems showing anomalous diffusion: The role of weak ergodicity breaking. Phys. Chem. Chem. Phys. 13, 1800–1812 (2011).
Metzler, R., Jeon, J.-H. & Cherstvy, A. Non-brownian diffusion in lipid membranes: Experiments and simulations. Biochim. Biophys. Acta 1858, 2451–2467 (2016).
Caprini, L., Sprenger, A. R., Löwen, H. & Wittmann, R. The parental active model: A unifying stochastic description of self-propulsion. J. Chem. Phys. 156, 071102 (2022).
Caprini, L., Cecconi, F., Puglisi, A. & Sarracino, A. Diffusion properties of self-propelled particles in cellular flows. Soft Matter 16, 5431–5438 (2020).
Reichhardt, C. & Reichhardt, C. Directional locking effects for active matter particles coupled to a periodic substrate. Phys. Rev. E 102, 042616 (2020).
Kumar, P. & Chakrabarti, R. Escape dynamics of a self-propelled nanorod from circular confinement with narrow openings. Soft Matter 19, 6743–6753 (2024).
Varma, V. A. & Babu, S. B. Dimensional confinement and superdiffusive rotational motion of uniaxial colloids in the presence of cylindrical obstacles. J. Chem. Phys. 162, 014901 (2025).
Ye, Y., Chaigneau, A. & Grebenkov, D. S. Escape-from-a-layer approach for simulating the boundary local time in Euclidean domains. J. Comput. Phys. 537, 114099 (2025).
Barkai, E., Garini, Y. & Metzler, R. Strange kinetics of single molecules in living cells. Phys. Today 65, 29–35 (2012).
Canavello, D., Reichhardt, C., Reichhardt, C. J. O. & de Souza Silva, C. C. Polarization and dynamic phases of aligning active matter in periodic obstacle arrays. Soft Matter21, 1760–1767 (2025).
Reichhardt, C. & Reichhardt, C. J. Pattern formation and transport for externally driven active matter on periodic substrates (a). Europhys. Lett. 142, 37001 (2023).
Levin, M., Bel, G. & Roichman, Y. Measurements and characterization of the dynamics of tracer particles in an actin network. J. Chem. Phys. 154, 144901 (2021).
DeVetter, B. M. et al. Observation of molecular diffusion in polyelectrolyte-wrapped sers nanoprobes. Langmuir 30, 8931–8937 (2014).
Nayak, S., Das, S., Bag, P., Debnath, T. & Ghosh, P. K. Driven transport of active particles through arrays of symmetric obstacles. J. Chem. Phys. 159, 164109 (2023).
Gupta, A. & Burada, P. Role of obstacle softness in the diffusive behavior of active particles. J. Chem. Phys 161, 214901 (2024).
Marinari, E. & Oshanin, G. Discrete-space and-time analog of a super-diffusive fractional Brownian motion. Chaos 35, 063128 (2025).
Park, S., Durang, X., Metzler, R. & Jeon, J.-H. Fickian yet non-gaussian diffusion in an annealed heterogeneous environment. arXiv preprint arXiv:2503.15366 (2025).
Milster, S., Kim, W. K., Kanduč, M. & Dzubiella, J. Tuning the permeability of regular polymeric networks by the cross-link ratio. J. Chem. Phys. 154, 154902 (2021).
Sorichetti, V., Hugouvieux, V. & Kob, W. Dynamics of nanoparticles in polydisperse polymer networks: From free diffusion to hopping. Macromolecules 54, 8575–8589 (2021).
Metzler, R., Jeon, J.-H., Cherstvy, A. G. & Barkai, E. Anomalous diffusion models and their properties: Non-stationarity, non-ergodicity, and ageing at the centenary of single particle tracking. Phys. Chem. Chem. Phys. 16, 24128–24164 (2014).
Lin, L. & Wang, H. Time delay effects on collective resonant behaviors in two coupled fractional oscillators with mass fluctuations. Sci. Rep. 15, 2335 (2025).
Chatterjee, D. & Cherayil, B. J. Subdiffusion as a model of transport through the nuclear pore complex. J. Chem. Phys. 135, 155101 (2011).
Kalathi, J. T., Yamamoto, U., Schweizer, K. S., Grest, G. S. & Kumar, S. K. Nanoparticle diffusion in polymer nanocomposites. Phys. Rev. Lett. 112, 108301 (2014).
Du, Y., Jiang, H. & Hou, Z. Study of active Brownian particle diffusion in polymer solutions. Soft Matter 15, 2020–2031 (2019).
Wu, H., Greydanus, B. & Schwartz, D. K. Mechanisms of transport enhancement for self-propelled nanoswimmers in a porous matrix. Proc. Natl. Acad. Sci. USA 118, e2101807118 (2021).
Singh, K., Yadav, A., Dwivedi, P. & Mangal, R. Interaction of active janus colloids with tracers. Langmuir 38, 2686–2698 (2022).
Pattanayak, S., Das, R., Kumar, M. & Mishra, S. Enhanced dynamics of active Brownian particles in periodic obstacle arrays and corrugated channels. Eur. Phys. J. E 42, 1–7 (2019).
Gomez-Solano, J. R., Blokhuis, A. & Bechinger, C. Dynamics of self-propelled janus particles in viscoelastic fluids. Phys. Rev. Lett. 116, 138301 (2016).
Witten, J. & Ribbeck, K. The particle in the spider’s web: Transport through biological hydrogels. Nanoscale 9, 8080–8095 (2017).
Das, S., Gompper, G. & Winkler, R. G. Confined active brownian particles: Theoretical description of propulsion-induced accumulation. New J. Phys. 20, 015001 (2018).
Guix, M., Weiz, S. M., Schmidt, O. G. & Medina-Sánchez, M. Self-propelled micro/nanoparticle motors. Part. Part. Syst. Charact. 35, 1700382 (2018).
Yuan, C., Chen, A., Zhang, B. & Zhao, N. Activity-crowding coupling effect on the diffusion dynamics of a self-propelled particle in polymer solutions. Phys. Chem. Chem. Phys. 21, 24112–24125 (2019).
Ghosh, S. K., Cherstvy, A. G. & Metzler, R. Non-universal tracer diffusion in crowded media of non-inert obstacles. Phys. Chem. Chem. Phys. 17, 1847–1858 (2015).
Bechinger, C. et al. Active particles in complex and crowded environments. Rev. Mod. Phys. 88, 045006 (2016).
Dabelow, L. & Eichhorn, R. Irreversibility in active matter: General framework for active Ornstein-Uhlenbeck particles. Front. Phys. 8, 582992 (2021).
Caprini, L. & Marini Bettolo Marconi, U. Inertial self-propelled particles. J. Chem. Phys. 154, 024902 (2021).
Nguyen, G. P., Wittmann, R. & Löwen, H. Active Ornstein-Uhlenbeck model for self-propelled particles with inertia. J. Phys.: Condens. Matter 34, 035101 (2021).
Scholz, C., Jahanshahi, S., Ldov, A. & Löwen, H. Inertial delay of self-propelled particles. Nat. Commun. 9, 5156 (2018).
Ghosh, S. K., Cherstvy, A. G., Grebenkov, D. S. & Metzler, R. Anomalous, non-gaussian tracer diffusion in crowded two-dimensional environments. New J. Phys. 18, 013027 (2016).
Chen, Y., Yan, R. & Zhao, N. Passive and active tracer dynamics in polymer solutions with isotropic-to-nematic phase transition. Phys. Chem. Chem. Phys. 24, 7415–7429 (2022).
Cherstvy, A. G., Chechkin, A. V. & Metzler, R. Anomalous diffusion and ergodicity breaking in heterogeneous diffusion processes. New J. Phys. 15, 083039 (2013).
Garg, V., Mathew, R., Ibrahim, R., Singh, K. & Ghosh, S. K. Crowding induced switching of polymer translocation by the amalgamation of entropy and osmotic pressure. Iscience 27, 1036568 (2024).
Kim, W. K. et al. Tuning the selective permeability of polydisperse polymer networks. Soft Matter 16, 8144–8154 (2020).
Dias, C. Molecular dynamics simulations of active matter using lammps. arXiv preprint arXiv:2102.10399 (2021).
Chen, Y. & Luo, K. Dynamics of polymer translocation through a nanopore induced by different sizes of crowding agents. J. Chem. Phys 138, 204903 (2013).
Kumar, P. & Chakrabarti, R. Dynamics of self-propelled tracer particles inside a polymer network. Phys. Chem. Chem. Phys. 25, 1937–1946 (2023).
Narinder, N., Bos, M. F., Abaurrea-Velasco, C., Graaf, J. & Bechinger, C. Understanding enhanced rotational dynamics of active probes in rod suspensions. Soft Matter 18, 6246–6253 (2022).
Garg, V., Mathew, R., Chatterjee, A. & Ghosh, S. K. Protocols for translocation processes of flexible polymers through a pore using lammps. STAR protocols 6, 103568 (2025).
Plimpton, S. Fast parallel algorithms for short-range molecular dynamics. J. Comput. Phys. 117, 1–19 (1995).
Acknowledgements
We would like to thank Rejoy Mathew for his critical comments. The authors thank MATRICS, ANRF (Project No. MTR/2022/000833) for financial support. The authors acknowledge NIT Warangal for the institute fellowship to BR and VG.
Author information
Authors and Affiliations
Contributions
BR, ARM, and SKG contributed to the idea curation and conceptualization. BR, RR, VG, ARM, and SKG worked on model development and data analysis. BR and VG worked on the investigation and wrote the original Draft. SKG contributed to the project administration, funding acquisition, and resources, and critically analyzed the manuscript preparation.
Corresponding author
Ethics declarations
Competing interests
The authors declare no competing interests.
Additional information
Publisher’s note
Springer Nature remains neutral with regard to jurisdictional claims in published maps and institutional affiliations.
Supplementary Information
Rights and permissions
Open Access This article is licensed under a Creative Commons Attribution-NonCommercial-NoDerivatives 4.0 International License, which permits any non-commercial use, sharing, distribution and reproduction in any medium or format, as long as you give appropriate credit to the original author(s) and the source, provide a link to the Creative Commons licence, and indicate if you modified the licensed material. You do not have permission under this licence to share adapted material derived from this article or parts of it. The images or other third party material in this article are included in the article’s Creative Commons licence, unless indicated otherwise in a credit line to the material. If material is not included in the article’s Creative Commons licence and your intended use is not permitted by statutory regulation or exceeds the permitted use, you will need to obtain permission directly from the copyright holder. To view a copy of this licence, visit http://creativecommons.org/licenses/by-nc-nd/4.0/.
About this article
Cite this article
Simma, B., Garg, V., Ramana, R. et al. Competing effect of activity and non-inert crowding on the dynamics of self-propelled tracer particles. Sci Rep 15, 37869 (2025). https://doi.org/10.1038/s41598-025-21741-9
Received:
Accepted:
Published:
Version of record:
DOI: https://doi.org/10.1038/s41598-025-21741-9






