Abstract
Although the triglyceride-glucose (TyG) index and estimated glucose disposal rate (eGDR) have emerged as potential biomarkers, the age-specific predictive value of these markers for diabetes progression and long-term outcomes has not been clearly established. We sought to quantify the associations of TyG and eGDR with T2DM incident and all-cause mortality, and further examine whether these associations vary by age. In this cross-sectional and cohort study, a total of 15,457 eligible participants was included, among whom 2,328 had type 2 diabetes mellitus, participants were stratified into two age groups: Young (< 65 years) and old (≥ 65 years) adults. Logistic regression models to evaluate the associations between TyG index, eGDR index and their additive effect with the risk of type 2 diabetes incidence, Kaplan–Meier survival analysis and Cox proportional hazards regression models were utilized to assess the relationships between TyG/eGDR indices and all-cause mortality. TyG index was significantly positively correlated with the risk of type 2 diabetes across different ages. eGDR showed a significant inverse association with type 2 diabetes risk. High TyG and low eGDR were associated with the highest risk of type 2 diabetes. The restricted cubic spline analysis revealed a U-shaped relationship between TyG index and all-cause mortality, a L-shaped curve relationships between eGDR and all-cause mortality in the total and young type 2 diabetes, no significant association was found in the old type 2 diabetes subgroup. The High TyG and low eGDR demonstrated the highest risk of all-cause mortality in the younger type 2 diabetes, but no additive effect was observed in the older type 2 diabetes. TyG and eGDR positively correlated with the risk of type 2 diabetes, and the combination of TyG and eGDR indices improved the identification of the risk and adverse outcome of diabetes, whereas their association with mortality of type 2 diabetes is not significant in the elderly population even in an additive model.
Introduction
The global prevalence of diabetes continues to rise, currently affecting approximately 537 million adults aged 20–79 years. This number is projected to increase to 783 million by 2045, posing a significant public health challenge1. Type 2 diabetes mellitus (T2DM) accounts for 95% of diabetes cases, with insulin resistance (IR) as its core pathophysiological mechanism. IR not only impairs glucose uptake in peripheral tissues but also serves as a critical risk factor for metabolic syndrome and cardiovascular diseases2,3. Accurate assessment of IR is therefore essential for early T2DM identification and intervention strategy development.
The triglyceride-glucose (TyG) index and estimated glucose disposal rate (eGDR) has been developed and demonstrated as a biochemical marker for identifying insulin resistance (IR) in both diabetes and non-diabetes populations4,5. Unlike the expensive glucose clamp technique and other insulin resistance evaluation indices such as HOMA-IR and QUICKI, the TyG and eGDR does not require insulin quantification6,7,8. The TyG index, derived from fasting triglyceride and glucose levels, reflects hepatic and peripheral insulin sensitivity, while eGDR integrates parameters such as blood pressure, BMI, and HbA1c to provide a more comprehensive assessment of insulin sensitivity9,10.
Although existing studies have explored the utility of TyG and eGDR in predicting the onset of T2DM and cardiovascular outcomes11,12, these studies mainly focused on middle-aged or young people, and did not make any distinction based on age, the associations of TyG and eGDR individual with diabetes across different age groups is not clear, and the synergistic predictive effect of their combination—particularly for T2DM incidence and all-cause mortality across different age groups—remains systematically underexplored. The World Health Organization (WHO) and the United Nations (UN) typically define individuals aged 60 or 65 years and above as “older persons”. With the increase in global life expectancy and the pronounced manifestations of physiological aging predominantly emerging after the age of 65, multiple studies have adopted 65 years as the threshold for classifying older adults13,14, these indicates that biomarkers may exhibit varying effects across different age groups.
Notably, age may significantly modulate the predictive performance of these indices due to marked differences in pathophysiological characteristics among age groups. With advancing age, metabolic profiles undergo substantial alterations, exhibiting distinct organ-specific patterns that may influence the efficacy of conventional predictive markers15. Currently, no studies have focused on the predictive value of TyG, eGDR and their combination for T2DM prevalence across different stages in general populations, nor their prognostic significance for cause-specific mortality in T2DM patients. Moreover, previous small-sample studies have shown inconsistent findings regarding their prognostic value in diabetes populations16,17.
Based on data from the National Health and Nutrition Examination Survey (NHANES), this study employs advanced statistical approaches, including Weighted univariate and multivariate logistic regression models multivariable to evaluate the associations between TyG index and eGDR index and the risk of T2DM, Cox regression models and restricted cubic spline analysis to systematically evaluate the individual and combined predictive value of the TyG index and eGDR for all-cause mortality in T2DM patients, and focus on exploring the efficacy differences of these predictive indicators among people in different age groups (≤ 65 and ≥ 65 age). By establishing an age-stratified prediction models, our findings will provide critical evidence to guide individualized insulin resistance assessment strategies for T2DM patients across diverse age groups in clinical practice.
Methods
Study population
The National Health and Nutrition Examination Survey (NHANES) is organized by the National Center for Health Statistics under the Centers for Disease Control and Prevention of the United States. It is a nationally representative cross-sectional health survey aimed at assessing the health and nutritional status of adults and children in the United States. The survey employs a complex stratified multi-stage probability cluster sampling design, and the selected samples can represent the civilian population not in institutional care in the United States. Since 1999, the survey has transitioned into a continuous program with a focus on diverse health and nutritional measurements to address emerging needs. The Ethics Review Committee of the National Center for Health Statistics approved the research plan of NHANES. All participants signed written informed consent forms before participating. Data are collected through in-home structured interviews, standardized physical examinations conducted in examination centers, and laboratory analyses of biological specimens.
We utilized data from 9 NHANES cycles (2001–2018), which are publicly available at https://www.cdc.gov/nchs/nhanes/index.htm. The following participants were excluded: (1) individuals aged < 20 years; (2) missing TyG index or eGDR data; (3) individuals with pregnancy, malignancy, severe hepatic impairment, or renal dysfunction; (4) lacking other key covariates; (5) participants without follow-up data. Ultimately, this study included 15,457 eligible participants, among whom 2,328 had type 2 diabetes mellitus (Fig. 1).
Flow chart of participant recruitment and screening.
Insulin resistance indices
The following insulin resistance index was calculated based on previous studies (1) TyG index = Ln [fasting triglyceride (mg/dL) × fasting glucose (mg/dL)/2];(2) eGDR = 21.158—(0.09 × waist circumference [cm]) − (3.407 × hypertension [yes 1 or no 0]) − (0.551 × glycated hemoglobin A1c [HbA1c] [%])18.
Sample size
Sample size calculation was based on anticipated effect sizes estimated from existing data. With the significance level α set at 0.05 and statistical power at 80%, the required sample sizes were as follows: for incidence studies—197 participants for the overall population, 159 for the younger group, and 322 for the older group; for mortality studies—235 participants for the overall population, 150 for the younger group, and 337 for the older group. Based on the observed effect sizes, the actual sample sizes achieved a statistical power of 99.99% across all studies.
Assessment of covariates
This study collected multidimensional covariate data through standardized questionnaires and rigorous laboratory analyses. Demographic characteristics included age, sex, race/ethnicity, education level, and family poverty-to-income ratio (PIR). Race/ethnicity was categorized as Mexican American, Non-Hispanic Black, Non-Hispanic White, and Other. Education level was stratified into "Above high school," "High school or equivalent," and "Under high school." Smoking status was recorded as current smoker, former smoker, or never smoker. Heavy drinking was defined as ever have 4/5 or more drinks every day. Hypertension was defined as systolic blood pressure (SBP) ≥ 140 mmHg, diastolic blood pressure (DBP) ≥ 90 mmHg, self-reported physician diagnosis, or use of antihypertensive medications. Cardiovascular disease (CVD) was determined by an affirmative response to the question, "Has a doctor ever diagnosed you with congestive heart failure, coronary artery disease, angina, myocardial infarction, or stroke?". Antidiabetic agents included Insulin, metformin, sulfonylureas, thiazolidinediones, dipeptidyl peptidase-4 (DPP-4) inhibitors, α-glucosidase inhibitors, glucagon-like peptide-1 receptor agonists (GLP-1 RAs), and sodium-glucose cotransporter-2 (SGLT2) inhibitors. Antihyperlipidemic agents included statins, ezetimibe, and fibrates. Anthropometric indicators included Body mass index (BMI) and waist circumference (WC). Metabolic markers included Fasting blood glucose (FBG), glycated hemoglobin (HbA1c), total cholesterol, low-density lipoprotein cholesterol (LDL-C), high-density lipoprotein cholesterol (HDL-C), serum creatinine, and alanine aminotransferase (ALT). Estimated glomerular filtration rate (eGFR), calculated using the Modification of Diet in Renal Disease (MDRD) equation. All laboratory procedures strictly adhered to the NHANES Laboratory/Medical Technologists Procedures Manual to ensure data accuracy and reliability.
Ascertainment of mortality
Mortality status during follow-up was ascertained using the NHANES Public-Use Linked Mortality File, which links participant records to the National Death Index (NDI) through a probabilistic matching algorithm, with follow-up through December 31, 2019. The endpoint of this study was all-cause mortality, defined as death from any cause. The causes of death were determined according to the International Statistical Classification of Diseases and Related Health Problems, Tenth Revision (ICD-10) codes.
Statistical analysis
This study was conducted in accordance with the National Health and Nutrition Examination Survey (NHANES) analytic and reporting guidelines, with full consideration given to the complex sampling design and sampling weights. The weighting formula was calculated as WTSAF18YR = WTSAF2YR/9. Baseline characteristics and cumulative mortality were reported as mean ± standard deviation (SD) for continuous variables and unweighted frequency counts with weighted percentages for categorical variables, with comparisons performed using Wald tests and Rao-Scott chi-square tests, respectively.
Participants were stratified into two age groups: younger (< 65 years) and older (≥ 65 years) adults. Given the absence of established cutoff values for TyG index in diagnosing insulin resistance, the study population was categorized into four groups based on the quartiles of the TyG index to compare the baseline characteristics of the participants. Furthermore, based on previous research recommendations, the eGDR was categorized into four groups: < 4, 4–6, 6–8, and ≥ 8 mg/kg/min19.
This study employed weighted univariate and multivariate logistic regression models to evaluate the associations between TyG index, eGDR and their combination (TyG-eGDR) with the risk of T2DM incidence in different ages (< 65 years and ≥ 65 years), and presented as odds ratios (ORs) with 95% confidence intervals (CIs). Kaplan–Meier survival analysis and Cox proportional hazards regression models were utilized to assess the relationships between TyG/eGDR and all-cause mortality in different ages diabetes. Potentially clinically relevant variables incorporated into multivariate analyses include: Model 1 (unadjusted); Model 2 (adjusted for age, sex, and race/ethnicity); and Model 3 (further adjusted for education level, poverty-to-income ratio, BMI, waist circumference, HDL-C, LDL-C, smoking status, alcohol consumption, and use of antihyperglycemic, antihypertensive, and lipid-lowering medications).
To investigate potential dose–response relationships between insulin resistance indices (TyG/eGDR) with the T2DM incidence or all-cause mortality across different ages diabetes, we performed restricted cubic spline regression analyses with 4 knots, graphically presenting the nonlinear association patterns. Subgroup analysis (by sex, smoking status, and cardiovascular disease history) were conducted to examine additive effects and heterogeneity in the associations. The predictive performance of TyG/eGDR and their synergistic effect for T2DM risk or mortality was evaluated through receiver operating characteristic (ROC) curve analysis (quantified by C-index), to evaluate the incremental predictive value of the TyG and eGDR, we conducted an incremental model performance analysis, and applied Net Reclassification Improvement (NRI) and Integrated Discrimination Improvement (IDI), the objective of this analysis was not merely to validate the statistical association between the novel marker and the disease, but to directly evaluate its clinical utility. Specifically, based on the model that incorporates known regular risk factors (such as age, gender, race, etc.), after adding the TyG index, the eGDR , or their combined indicators, thereby quantifying the magnitude of enhancement in predictive performance. All analyses were performed with R version 4.3.1 (R Foundation for Statistical Computing, Vienna, Austria).
Results
Baseline characteristic
The baseline characteristics of T2DM patients are summarized in Table 1. Among the 2,328 diabetes participants, the mean age was 56.46 (13.70) years, 1,218 (51.7%) were male, the mean TyG index was 9.14 (0.66), the mean eGDR was 4.98 (2.52). Compared with older patients, younger patients were more likely to be current smokers and alcohol consumers, whereas older patients were more likely to have cardiovascular disease and hypertension. Younger patients exhibited higher TyG index levels but lower eGDR levels than older patients, suggesting a more severe state of insulin resistance in the younger group. Additionally, younger patients had higher BMI, WC, TG, LDL-C, HbA1c, FBG, and ALT levels but lower HDL-C and serum creatinine levels compared to older patients. Regarding medication use, older patients received more antidiabetic agents (other than insulin), antihyperlipidemic agents, and antihypertensive agents, while younger patients were more frequently prescribed insulin. The baseline characteristics of patients stratified by TyG quartile of the total T2DM population, and recommended critical value of eGDR are shown in the Supplemental Tables 1 and 2.
The association between the TyG index and the incidence of T2DM across different age groups
Table 2 illustrates the relationship between the TyG index and the risk of T2DM. Our findings revealed that in the total population, TyG index, both as a continuous variable and a categorical variable, was significantly positively correlated with the risk of T2DM after adjusted with relative confounding factors, OR = 6.54 per-1 unit increment, 95%CI 5.03–8.49; With Q1 as the reference group, OR of Q4 = 9.60, 95%CI 6.10–15.12 (Table 2). Whether in the young group or the elderly group, TyG was linked to an elevated risk of T2DM, and the association was slightly obvious in young group. (OR = 6.43 per-1 unit increment, 95%CI 4.81–8.59; Q4 OR = 10.45, 95%CI 5.91–18.48 vs OR = 6.34 per-1 unit increment, 95%CI 3.96–10.14; Q4 OR = 9.47, 95%CI 4.72–19.01) (Table 2).
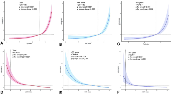
Employing restricted cubic spline analysis, we identified a J-shaped dose–response relationship between the TyG index and T2DM risk in the overall population and within both age subgroups (< 65 and ≥ 65 years) (Fig. 2A-C). This relationship was characterized by a distinct threshold effect: T2DM risk remained low and stable until the TyG index exceeded a critical point, after which it rose precipitously. Notably, this risk threshold was age-dependent, occurring at a lower TyG level in younger individuals (8.53) than in older adults (8.71), with the overall population threshold at 8.57 (Fig. 2A-C).
Dose–response relationship between the TyG index, eGDR , and incidence of T2DM in the (A and D) overall population, (B and E) younger group, and (C and F) older group, based on multivariable-adjusted restricted cubic spline analysis. Adjusted for Model 3 in the logistic regression analyses. Abbreviations: OR, odds ratio; CI, confidence interval; TyG, triglyceride-glucose; eGDR, estimated glucose disposal rate.
Association between eGDR and T2DM incidence across different age groups
In the overall population, the eGDRshowed a significant inverse association with T2DM risk, whether analyzed as a continuous variable or categorical variable (OR = 0.63 per-1 unit increment, 95%CI 0.59–0.67; eGDR < 4 as the reference group, eGDR ≥ 8 OR = 0.10, 95%CI 0.06–0.16, Table 3). This protective association was remarkably consistent across age strata, the effect estimates were almost identical for both the younger group (OR = 0.63 per-1 unit increment, 95%CI 0.58–0.68; eGDR ≥ 8, OR = 0.10, 95%CI 0.06–0.18, Table 3) and the older group (OR = 0.64 per-1 unit increment, 95%CI 0.55–0.75; eGDR ≥ 8, OR = 0.10, 95%CI 0.04–0.24, Table 3).
The restricted cubic spline analysis revealed dose–response relationship between the eGDR and the risk of T2DM. This analysis uncovered a significant nonlinear, L-shaped association between eGDR and T2DM risk in the total population, as well as in both the young and old subgroups (P < 0.001;Fig. 2D, E, F). Specifically, in all three groups, the risk of T2DM was significantly increased when the eGDR was below 4 mg/kg/min (Fig. 2D, E, F).
The TyG-eGDR index and T2DM incidence and subgroup analysis
We categorized participants into four distinct metabolic phenotypes based on combined TyG and eGDR levels: 1) Low TyG & High eGDR; 2) High TyG & High eGDR; 3) Low TyG & Low eGDR; and 4) High TyG & Low eGDR. We found that in all populations, the combination of high TyG and low eGDR was associated with the highest risk of T2DM after adjusting for relevant confounding factors, compared to the other reference groups (Total: OR = 8.31, 95%CI 4.98–13.88; Young: OR = 7.76, 95%CI 4.30–13.98; Elderly: OR = 10.17, 95%CI 4.66–22.16) (Table 4), and in the elderly population, the magnitude of risk associated with this worst metabolic profile (High TyG & Low eGDR) was even greater.
Furthermore, We employed subgroup analyses for gender (Male/Female), smoking status (Current and former/Never), and cardiovascular disease status (Yes/No) in the study population. The results demonstrated that after adjusted with relevant confounding factors, the incident risk of T2DM in the High TyG and low eGDR group was significantly higher than that in other groups (including: Low TyG and high eGDR; High TyG and high eGDR; Low TyG and low eGDR) across the total, younger and older population, and it was statistically significant in all subgroups (Fig. 3A, B, C).
Subgroup analyses of the association between the combination of TyG index and eGDR and the incidence of T2DM in total, < 65 years, ≥ 65 years groups (A-C). Green boxes represent hazard ratios (HRs), with the bars flanking the boxes denoting the 95% confidence intervals (CIs) of the HRs after log2 transformation. The adjusted Model 3 was employed in this analysis.
ROC curve analysis of TyG-eGDR index on the incidence of T2DM
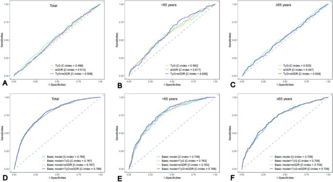
In the total population, the combined use of the TyG and eGDR index demonstrated superior prognostic performance compared to either index alone (C-index: 0.762 and 0.828 vs. 0.854; Fig. 4A and Table 5). Among younger individuals, the combined model further improved predictive accuracy for T2DM (C-index = 0.871; Fig. 4B and Table 5), whereas in the older subgroup, although the TyG-eGDR predictive performance for T2DM slightly lower compared to that in younger group (C-index = 0.757; Fig. 4B and Table 5), it remained significantly better than TyG index or eGDR alone.
Receiver operating characteristic curves of the TyG index and eGDR for predicting incident type 2 diabetes mellitus.
Although ROC analysis demonstrated the significant statistical association between the TyG-eGDR index and diabetes, it cannot directly quantify the incremental contribution of this novel marker to clinical predictive value. To address this limitation and provide a more clinically relevant assessment of utility, we therefore compared a basic clinical model (including established risk factors such as age, sex, race, and education level, etc.) with enhanced models that incorporated either the TyG index alone, the eGDR alone, or their combination.
The results revealed that across the total, young, and elderly groups, the model combining the basic clinical factors with the TyG-eGDR index demonstrated superior integrative performance, achieving the highest discriminative ability (C-index = 0.887, 0.899, and 0.807, respectively; Fig. 4D, E, F, and Table 6). Crucially, the addition of the combined index yielded statistically significant improvements in both Net Reclassification Improvement (NRI) and Integrated Discrimination Improvement (IDI) metrics (details provided in Table 6), outperforming models that included only TyG or eGDR.
Kaplan–meier survival curves for TyG Index and eGDR
During a median follow-up of 82 months, a total of 442 death events were recorded in T2DM (159 in the younger T2DM and 283 in the older T2DM). The Kaplan–Meier survival curves demonstrated that a higher TyG index was associated with increased all-cause mortality in the overall, young and old T2DM group; however, statistical significance was observed only in the young T2DM group (Fig. 5A, B, C). Similarly, a lower eGDR was associated with higher all-cause mortality across all T2DM groups (overall T2DM population, young T2DM, and old T2DM), but statistical significance was achieved only in the young group (Fig. 5D, E, F).
Kaplan–Meier analysis of all-cause mortality in (A and D) the overall T2DM population, (B and E) younger individuals, and (C and F) older individuals.
Relationship between TyG index and mortality in T2DM patients
Next, we further adopted the Cox proportional hazards regression model to analyze the relationship between the TyG and eGDR and the all-cause mortality rate of T2DM patient. In the overall T2DM population, the TyG index demonstrated significant associations with all-cause mortality both when analyzed as a continuous variable (HR = 1.38 per 1-unit increase, 95% CI 1.07–1.78, Table 7) and as a categorical variable (Q4 vs Q1: HR = 1.52, 95% CI 1.00–2.29, Table 7) after adjusted confounding factors. The associations were more pronounced in the young T2DM subgroup, with continuous TyG index showing HR = 1.61 (95% CI 1.09–2.38) per 1-unit increase and categorical analysis revealing Q4 vs Q1 HR = 2.17 (95% CI 1.13–4.17; Table 7). In contrast, the old T2DM subgroup exhibited significant association only when TyG index was treated as a categorical variable after adjusted confounding factors(Q4 vs Q1: HR = 1.58, 95% CI 1.01–2.47; Table 7), while the continuous association was non-significant (HR = 1.34, 95% CI 0.52–1.50; Table 7).
Restricted cubic spline analysis revealed a U-shaped relationship between TyG index and all-cause mortality in both the total and young subgroup of T2DM patients (Fig. 6A, B, C). In the overall T2DM population, all-cause mortality risk rose significantly when TyG index exceeded 9.11, with a similar threshold observed at 9.16 in younger patients (Fig. 6A, B). However, no significant association was found between TyG index and all-cause mortality in the old T2DM subgroup (Fig. 6C).
Dose–response relationship between the TyG index, eGDR , and mortality of T2DM in the (A and D) overall population, (B and E) younger group, and (C and F) older group, based on multivariable-adjusted restricted cubic spline analysis. Adjusted for Model 3 in the Cox regression analysis. Abbreviations: HR, Hazard Ratio; CI, confidence interval; TyG, triglyceride-glucose; eGDR, estimated glucose disposal rat.
Association between eGDR and mortality in T2DM patients
The eGDR, as a continuous variable, exhibited a borderline significant association with reduced all-cause mortality in the overall T2DM population (HR = 0.91 per 1-unit increase, 95% CI 0.83–1.00), this protective association was stronger and statistically significant in younger patients (HR = 0.84, 95% CI 0.73–0.98) but absent in the elderly subgroup. When categorized, eGDR showed no significant associations with mortality(Table 8).
Restricted cubic spline analyses confirmed a nonlinear, L-shaped relationship in both the total and younger T2DM populations. Mortality risk increased significantly once eGDR levels fell below a threshold of 4 mg/kg/min (Fig. 6D, E).No such association was observed in elderly patients (Fig. 6F).
Integrated TyG-eGDR index and mortality in T2DM patients and subgroup analysis
Next, we further analyze the association of the combined index and the mortality rate of diabetes. In the total T2DM population, the High TyG and low eGDR demonstrated the highest risk of all-cause mortality compared to the Low TyG and high eGDR (HR = 2.06, 95% CI 1.33–3.19; Table 9). A similar but more pronounced association was observed in the young T2DM subgroup (HR = 2.65, 95% CI 1.41–5.01; Table 9). However, this association did not reach statistical significance in the old T2DM subgroup (Table 9).
We conducted subgroup analyses stratified by sex (male/female), smoking status (current/former vs never smokers), and cardiovascular disease (CVD) status (yes/no). In the total T2DM population, the High TyG and low eGDR showed the highest all-cause mortality risk among male, current smoking and no Cardiovascular diseases subgroup (P < 0.01) (Fig. 7A). In the young T2DM subgroup, significantly elevated mortality risk was consistently observed in the High TyG and low eGDR group across multiple strata, including males, current/former smokers, never smokers, and those without CVD (P < 0.01) (Fig. 7B). However, no additive effect of High TyG and low eGDR combination on mortality risk was observed in the older subgroup of T2DM patients (Fig. 7C).
Subgroup analyses of the association between the combination of TyG index and eGDR with all-cause mortality in individuals with T2DM in different groups (A-C). Green boxes represent hazard ratios (HRs), with the bars flanking the boxes denoting the 95% confidence intervals (CIs) of the HRs. The adjusted Model 3 was employed in this analysis.
ROC curve analysis of TyG-eGDR index on mortality of T2DM patients
In the total T2DM population, the predictive performance of TyG index and eGDR alone for all-cause mortality in T2DM patients was relatively limited (C-index = 0.498 and 0.510, respectively), and their combined use did not significantly improve predictive efficacy (C-index = 0.508) (Fig. 8A and Table 10). Next, we continued to further evaluate their incremental predictive values, in the covariate-adjusted basic model, the addition of TyG/eGDR or TyG-eGDR failed to significantly enhance model performance (C-index remained 0.767–0.768), with no statistically significant difference compared to the basic model (P > 0.05) (Fig. 8D and Table 11).
Receiver operating characteristic curves of the TyG index and eGDR for predicting all-cause mortality in individuals with type 2 diabetes mellitus.
Among younger patients, eGDR demonstrated slightly better predictive performance than TyG index (C-index = 0.617 vs. 0.582), while their combination did not yield significant improvement (C-index = 0.626) (Fig. 8B and Table 10). However, in the basic adjusted model, incorporating TyG index significantly improved risk reclassification ability (NRI = 0.439, P = 0.006), whereas adding eGDR did not show significant risk reclassification ability(NRI = 0.183, P > 0.05), basic model + TyG-eGDR also showed a certain ability of reclassification (NRI = 0.348, P = 0.032) (Fig. 8E and Table 11). Overall, basic model + TyG-eGDR maintained the best predictive performance (C-index = 0.768, P < 0.05) (Fig. 8E and Table 11).
In the older subgroup, both TyG and eGDR alone showed poor predictive performance (C-index = 0.520 and 0.547, respectively), and their combination did not significantly improve predictive efficacy (C-index = 0.549) (Fig. 8C and Table 10). In the basic adjusted model, the addition of TyG-eGDR provided limited improvement in model performance (C-index = 0.709, Fig. 8F and Table 11), with no significant difference compared to the basic model (P > 0.05).
Discussion
This study utilized large-scale cohort data from the NHANES database to investigate the predictive ability of the TyG or eGDR and their combination for the risk of T2DM across different age groups, as well as their association with all-cause mortality in T2DM patients. The results demonstrated that both the TyG index and eGDR exhibited robust predictive ability for T2DM prevalence, regardless of age group (young or old > 65 years). The combined model of high TyG and low eGDR indicated the highest risk of T2DM development. Among T2DM patients, the TyG index showed a U-shaped relationship with all-cause mortality in younger diabetes individuals, whereas no significant association was observed in the elderly group. Similarly, eGDR exhibited an L-shaped relationship with mortality in the younger diabetes group. Notably, there was a potential additive effect of the TyG index and eGDR on mortality risk of diabetes in younger populations.
The TyG index, calculated from fasting glucose and triglyceride levels, is widely used as a surrogate marker for insulin resistance (IR)20,21,22, although studies have linked elevated TyG index to an increased risk of T2DM and adverse outcome—for example, a cohort restricted to rural Chinese populations found a graded rise in T2DM incidence with higher TyG index23, and a recent study of 201,298 non-diabetes Chinese individuals yielded consistent results24. Furthermore, it was proved to be an independent predictor of adverse cardiovascular outcomes in patients with and without diabetes, in a study of 19,604 patients with acute ischemic stroke and T2DM, Liu et al. found that the TyG index was significantly associated with stroke recurrence and all-cause mortality25. Nevertheless, it remains unclear whether there are differences in this association between TyG and T2DM and its adverse outcomes across different age groups, and the TyG index has inherent limitations: it solely relies on fasting triglycerides and glucose, omitting other metrics closely tied to IR and metabolic syndrome26,27. This may lead to incomplete metabolic profiling and underestimate IR severity. To overcome this, we integrated the eGDR to develop a more comprehensive and robust predictive model.
The estimated glucose disposal rate (eGDR) is a metric originally developed to assess the severity of insulin resistance in type 1 diabetes (T1DM) patients, calculated using waist circumference, hypertension status, and HbA1c28,29. The core rationale behind eGDR is its ability to reflect an individual’s glucose metabolic capacity through simple clinical parameters, thereby indirectly estimating insulin sensitivity30,31. Recent studies have identified its utility in predicting complications and adverse outcomes in T2DM32,33, a 7.4-year prospective observational analysis identified eGDR as a predictor of diabetic kidney disease34. However, few investigations have explored its predictive value for T2DM incidence. Our recearch founded that the eGDR showed a significant inverse association with T2DM risk across all age groups, the risk of T2DM was significantly increased when the eGDR was below 4 mg/kg/min.
Our research found that using either TyG or eGDR alone has a certain predictive effect on the incidence of T2DM in different age groups, further the combined use of the TyG index and eGDR exhibits significant synergistic value in predicting the risk of T2DM. The combined model not only performed optimally in the overall population but also showed particularly outstanding predictive efficacy in the younger age group, suggesting that this composite indicator may hold important potential for early diabetes risk assessment. Even in the older age group, where the predictive performance was relatively lower, the TyG-eGDR combination remained significantly superior to any single indicator, indicating its robust generalizability for T2DM incident across different age strata.
More importantly, by incorporating clinical utility metrics such as the Net Reclassification Improvement (NRI) and Integrated Discrimination Improvement (IDI), this study found that across different age groups, adding TyG or eGDR to the basic model could improve the predictive discrimination ability, and the TyG-eGDR index provides significant superior incremental predictive information. These suggested that both TyG and eGDR have certain predictive capabilities for the risk of diabetes, and no significant differences were observed in different age groups. Beyond that, the TyG-eGDR combined index is a powerful new biomarker, significantly surpassing traditional risk factors and single indicators, providing a more accurate and clinically practical tool for predicting the risk of diabetes.
Then we further examined the relationship between these two indicators and mortality, although previous studies have demonstrated the relationship between these index and adverse disease outcomes35,36, it remains unclear whether there will be any differences among people of different age groups, and the ability of the combination of indicators to predict disease outcomes. Our analysis revealed a U-shaped relationship between the TyG index and all-cause mortality. In the overall diabetes population, each 1-unit increase in the TyG index was associated with a 38% increase in the risk of all-cause mortality, while the highest quartile (Q4) showed a 52% increased risk compared with the lowest quartile (Q1). This association was more pronounced in younger patients. In the older age group, a limited association was observed only in the high-quartile comparison. Conversely, eGDR demonstrated a significant inverse association with all-cause mortality in the overall diabetes population and younger diabetes patients, but not in older diabetes. These findings suggest that the associations between TyG index or eGDR and all-cause mortality exhibit significant age-related heterogeneity among patients with type 2 diabetes mellitus across different age groups. This similar with prior research on TyG and cardiovascular risk, which found that TyG predicted cardiovascular events only in individuals < 65 years old13. This may be because younger T2DM patients have a shorter disease duration, fewer complications, and their mortality risk is more directly influenced by metabolic abnormalities (such as severe insulin resistance or hypertriglyceridemia), making the predictive capacity of TyG and eGDR more pronounced.
Subsequently, we further evaluated the association of combined TyG-eGDR with mortality. The study revealed that the group with high TyG and low eGDR exhibited the highest mortality risk compared to all other combinations, and which is higher than using TyG alone. Although this significant association was observed only in the overall and younger diabetes, with no statistically significant relationship detected in the older patient. So these findings suggested that even the combination of the two indicators failed to change the ineffectiveness of the indicators in predicting adverse outcomes among the elderly population, TyG and eGDR may serve as biomarkers of mortality with higher predictive value in younger individuals with T2DM, and it is undeniable their combination further improves predictive performance compared to either marker used alone. Similar to the above results, subgroup analyses also revealed that among all T2DM patients and particularly in younger populations, the highest all-cause mortality risk was observed in males, current smokers, and those without cardiovascular disease who exhibited high TyG and low eGDR levels. In contrast, no significant association or additive effect with mortality was observed for combined TyG-eGDR among older T2DM. These findings indicate that the TyG and eGDR function as mortality risk stratification tools with distinct age-specific and population-selective applicability, particularly demonstrating high predictive utility in younger T2DM patients without major cardiovascular complications. The reason why the combined indicators also did not show any significant changes in the elderly population might be in older adults, mortality risk operates as a composite outcome predominantly driven by factors such as multimorbidity and frailty, the TyG index and eGDR solely reflect metabolic aspects, and even in combination, they remain insufficient to capture risks attributable to other possible critical pathophysiological mechanisms.
Here we can see the significant impact of age, with advancing age, the decline in β-cell function, reduced muscle mass, and alterations in fat distribution (such as increased visceral adiposity) may lead to diminished capacity of TyG/eGDR to reflect metabolic status. Additionally, aging is often accompanied by the accumulation of chronic low-grade inflammation and functional changes in multiple hormonal axes37,38. These factors may concurrently interfere with the predictive accuracy of TyG index and eGDR in elderly populations through various pathways. Although ROC analysis indicated limited predictive value of TyG and eGDR—individually or combined—for mortality, their integration into a baseline clinical model improved risk reclassification in younger subgroups, especially the TyG-eGDR combination significantly provides critical incremental information beyond conventional risk factors (e.g., age and sex), demonstrating clinical utility for refined risk assessment and enhanced identification of high-risk individuals in younger populations.
The development and adverse outcomes of T2DM are closely associated with insulin resistance, which is linked to abnormal glucose metabolism, dyslipidemia, hypertension, and central obesity (increased waist circumference)39,40. These components are directly reflected in the formulas of the TyG index and eGDR. As both indices can be easily derived from routine clinical data, they offer an economical and convenient method for assessing insulin resistance in large populations, thereby improving individual risk stratification and supporting clinical decision-making. Moreover, the combination of TyG and eGDR overcomes limitations of other insulin resistance indices such as HOMA-IR by incorporating a broader range of metabolic features, enhanced the signals of multiple pathogenic pathways such as lipid toxicity, glucose toxicity, obesity-related inflammation, and vascular damage caused by hypertension, increased both the accuracy and timeliness of predicting diabetes and its adverse outcomes. During this process, ours findings also highlight the potential age-dependent sensitivity of these biomarkers, underscoring the need for age-specific refinement and adjustment of these indicators for optimized risk assessment.
Strengths and limitations of the study
Strengths
The primary strength of this study lies in its use of a nationally representative, large-scale U.S. population sample, which helps mitigate potential confounding effects and enhances the reliability and robustness of the findings. The relatively long follow-up period (median: 6.8 years) provides critical insights into the long-term prognostic value of the TyG index and eGDR.
Notably, this study simultaneously assessed the predictive utility of two insulin resistance (IR) markers—TyG and eGDR—for both diabetes incidence in the general population and all-cause mortality risk in individuals with type 2 diabetes (T2DM) across different age groups. Moreover, we explored the additive effect of TyG and eGDR in different age groups, the combination of TyG and eGDR has a certain improvement effect on the prediction of the risk of type 2 diabetes and mortality, but no significant association was observed with mortality risk in the elderly, which further provides a basis for the effectiveness of the indicators in different age groups. This approach offers novel perspectives for refining personalized risk stratification. Furthermore, we analyzed TyG and eGDR as both continuous and categorical variables, conducted sensitivity analyses and trend tests, improving the reliability of the results and avoid the contingency in data analysis, the reliability of the results was further proved through subgroup analysis.
Limitations
However, several limitations should be acknowledged. First, since the NHANES data is essentially a cross-sectional survey, it is impossible to establish a causal relationship. Second, despite extensive adjustment for key covariates in multivariable analyses, residual confounding from unmeasured or unknown factors may still influence the observed associations. Third, we were unable to determine the impact of the dynamic changes in the TyG index and the eGDR on prognosis. Fourth, since NHANES can only represent the American population, more multi-center studies are needed to verify our research results, thereby enhancing the general applicability and clinical practicability of our conclusions in different populations.
Conclusion
In conclusion, while both the TyG index and eGDR are predictive of diabetes development across all age groups, their combination significantly enhances the ability to predict both the onset and mortality of T2DM especially in young population. However, this combined approach does not show a significant improvement in mortality prediction among elderly diabetes patients. These findings highlight the importance of age-stratified analysis in future research to more accurately assess the clinical utility of combined metabolic biomarkers.
Data availability
Publicly available datasets were analyzed in this study. This data can be found here: https://www.cdc.gov/nchs/nhanes/index.htm.
References
Xu, Y. et al. Diabetes in China part 1: Epidemiology and risk factors. Lancet. Pub. Health 9(12), e1089–e1097 (2024).
Gonzalez-Dominguez, A. et al. Identifying metabotypes of insulin resistance severity in children with metabolic syndrome. Cardiovasc. Diabetol. 23(1), 315 (2024).
Feng, Y. et al. Assessing the impact of insulin resistance trajectories on cardiovascular disease risk using longitudinal targeted maximum likelihood estimation. Cardiovasc. Diabetol. 24(1), 112 (2025).
Samavarchitehrani, A. et al. Exploring the TyG index and the homeostasis model assessment of insulin resistance as insulin resistance markers: Implications for fibromyalgia management and understanding-A narrative review. Diagnostics (Basel) 15(4), 494 (2025).
Yi, J. et al. Insulin resistance assessed by estimated glucose disposal rate and risk of atherosclerotic cardiovascular diseases incidence: The multi-ethnic study of atherosclerosis. Cardiovasc. Diabetol. 23(1), 349 (2024).
Delai, A. et al. Hyperinsulinemic-euglycemic clamp strengthens the insulin resistance in nonclassical congenital adrenal hyperplasia. J. Clin. Endocrinol. Metab. 107(3), e1106–e1116 (2022).
Paracha, A. I. et al. Diagnostic accuracy of markers of insulin resistance (HOMA-IR) and insulin sensitivity (QUICKI) in gestational diabetes. J. Coll. Phys. Surg. Pak. 31(9), 1015–1019 (2021).
Wongwananuruk, T. et al. Measures of serum markers HbA1c, HOMA-IR, HOMA-beta, QUICKI and G/I ratio as predictors of abnormal glucose tolerance among thai women with polycystic ovary syndrome. J. Clin. Med. 14(5), 1452 (2025).
Zhang, Z. et al. Insulin resistance assessed by estimated glucose disposal rate and risk of incident cardiovascular diseases among individuals without diabetes: Findings from a nationwide, population based, prospective cohort study. Cardiovasc. Diabetol. 23(1), 194 (2024).
Ren, H. et al. Association of the insulin resistance marker TyG index with the severity and mortality of COVID-19. Cardiovasc. Diabetol. 19(1), 58 (2020).
Xing, Y. et al. Stronger associations of TyG index with diabetes than TyG-obesity-related parameters: More pronounced in young, middle-aged, and women. Diabet. Metab. Syndr. Obes. 16, 3795–3805 (2023).
Wang, H. et al. Gender differences in the association between insulin resistance assessed by estimated glucose disposal rate and the risk of all-cause and cardiovascular deaths in adults without diabetes. Diabet. Res. Clin. Pract. 219, 111966 (2025).
Liu, C. & Liang, D. The association between the triglyceride-glucose index and the risk of cardiovascular disease in US population aged </= 65 years with prediabetes or diabetes: A population-based study. Cardiovasc. Diabetol. 23(1), 168 (2024).
Reddy, R. S. et al. Age-related decline in cervical proprioception and its correlation with functional mobility and limits of stability assessed using computerized posturography: A cross-sectional study comparing older (65+ Years) and younger adults. Healthcare (Basel) 11(13), 1942 (2023).
Zheng, H. et al. Relationship between cumulative exposure to triglyceride-glucose index and heart failure: A prospective cohort study. Cardiovasc Diabetol. 22(1), 239 (2023).
Liao, Y. et al. Triglyceride-glucose index linked to all-cause mortality in critically ill patients: A cohort of 3026 patients. Cardiovasc. Diabetol. 21(1), 128 (2022).
Huang, X. et al. Triglyceride-glucose index is strongly associated with all-cause mortality in elderly females with diabetic foot ulcers: A 9-year follow-up study. Int. Wound. J. 21(1), e14344 (2024).
Nystrom, T. et al. Estimated glucose disposal rate predicts mortality in adults with type 1 diabetes. Diabet. Obes. Metab. 20(3), 556–563 (2018).
Zabala, A. et al. Estimated glucose disposal rate and risk of stroke and mortality in type 2 diabetes: A nationwide cohort study. Cardiovasc. Diabetol. 20(1), 202 (2021).
Guerrero-Romero, F. et al. The product of triglycerides and glucose, a simple measure of insulin sensitivity. Comparison with the euglycemic-hyperinsulinemic clamp. J. Clin. Endocrinol. Metab. 95(7), 3347–3351 (2010).
Lopez-Jaramillo, P. et al. Association of the triglyceride glucose index as a measure of insulin resistance with mortality and cardiovascular disease in populations from five continents (PURE study): A prospective cohort study. Lancet. Health. Longev. 4(1), e23–e33 (2023).
Zeng, X. et al. Triglyceride-glucose index and homeostasis model assessment-insulin resistance in young adulthood and risk of incident congestive heart failure in midlife: The coronary artery risk development in young adults study. Front. Cardiovasc. Med. 9, 944258 (2022).
Zhang, M. et al. Cumulative increased risk of incident type 2 diabetes mellitus with increasing triglyceride glucose index in normal-weight people: The rural chinese cohort study. Cardiovasc. Diabetol. 16(1), 30 (2017).
Li, X. et al. Association between triglyceride-glucose index and risk of incident diabetes: A secondary analysis based on a Chinese cohort study : TyG index and incident diabetes. Lipid. Health Dis. 19(1), 236 (2020).
Liu, D. et al. Predictive effect of triglyceride-glucose index on clinical events in patients with acute ischemic stroke and type 2 diabetes mellitus. Cardiovasc. Diabetol. 21(1), 280 (2022).
Chen, S. et al. Association between triglyceride-glucose index and atrial fibrillation: A retrospective observational study. Front. Endocrinol. (Lausanne) 13, 1047927 (2022).
Argoty-Pantoja, A. D. et al. Triglyceride-glucose index is associated with hypertension incidence up to 13 years of follow-up in mexican adults. Lipid. Health Dis. 22(1), 162 (2023).
Williams, K. V. et al. Can clinical factors estimate insulin resistance in type 1 diabetes?. Diabetes 49(4), 626–632 (2000).
Epstein, E. J. et al. Use of the estimated glucose disposal rate as a measure of insulin resistance in an urban multiethnic population with type 1 diabetes. Diabet. Care 36(8), 2280–2285 (2013).
Helliwell, R. et al. Body mass index, estimated glucose disposal rate and vascular complications in type 1 diabetes: Beyond glycated haemoglobin. Diabet. Med. 38(5), e14529 (2021).
Karamanakos, G. et al. The association of insulin resistance measured through the estimated glucose disposal rate with predictors of micro-and macrovascular complications in patients with type 1 diabetes. Prim. Care Diabet. 16(6), 837–843 (2022).
Guo, L. et al. The role of estimated glucose disposal rate in predicting cardiovascular risk among general and diabetes mellitus population: A systematic review and meta-analysis. BMC Med. 23(1), 234 (2025).
Zhang, Y. et al. Estimated glucose disposal rate predicts the risk of diabetic peripheral neuropathy in type 2 diabetes: A 5-year follow-up study. J. Diabet. 16(5), e13482 (2024).
Penno, G. et al. Insulin resistance, diabetic kidney disease, and all-cause mortality in individuals with type 2 diabetes: A prospective cohort study. BMC Med. 19(1), 66 (2021).
Ye, Z. et al. Triglyceride glucose index exacerbates the risk of future cardiovascular disease due to diabetes: Evidence from the China health and retirement longitudinal survey (CHARLS). BMC Cardiovasc. Disord 22(1), 236 (2022).
Li, Z. et al. The relationship between estimated glucose disposal rate and bone turnover markers in type 2 diabetes mellitus. Endocrine 77(2), 242–251 (2022).
Orisaka, M. et al. Chronic low-grade inflammation and ovarian dysfunction in women with polycystic ovarian syndrome, endometriosis, and aging. Front. Endocrinol. (Lausanne) 14, 1324429 (2023).
Bao, S. et al. Inflammation mediates the association between muscle mass and accelerated phenotypic aging: Results from the NHANES 2011–2018. Front. Nutr. 11, 1503702 (2024).
Nokihara, M. et al. The associations of body mass index and waist circumference with the risk of diabetic complications in people with type 2 diabetes mellitus. Diabet. Obes. Metab. 27(8), 4259–4267 (2025).
Boima, V. et al. Prevalence of hypertension and its clinical and psychological factors in type 2 diabetes patients in ghana: A secondary analysis of a cross-sectional study. J. Diabet. Res. 2024, 9286774 (2024).
Funding
This research was funded by High-level talent start-up fund (NO. 2022071). Science and Technology Fund of Guizhou Provincial Health Commission (NO. gzwkj2025-507).
Author information
Authors and Affiliations
Contributions
X.L., J.L. have contributed equally to this work. Conceptualization, X.L., J.L.; Formal analysis, J.L.; funding acquisition, X.L.; methodology, L.S., J.H., D.W; resources, X.L.; supervision, S.W.; validation, S.W., X.L.; writing-original draft preparation, X.L.; writing—review and editing, X.L.. All authors have read and agreed to the published version of the manuscript.
Corresponding authors
Ethics declarations
Competing interests
The authors declare no competing interests.
Ethics
The survey was administered by the National Center for Health Statistics (NCHS) and approved by the NCHS Institutional Review Board (IRB). Informed consent was obtained from the eligible subjects before initiating the data collection and NHANES health examinations.
Additional information
Publisher’s note
Springer Nature remains neutral with regard to jurisdictional claims in published maps and institutional affiliations.
Supplementary Information
Rights and permissions
Open Access This article is licensed under a Creative Commons Attribution-NonCommercial-NoDerivatives 4.0 International License, which permits any non-commercial use, sharing, distribution and reproduction in any medium or format, as long as you give appropriate credit to the original author(s) and the source, provide a link to the Creative Commons licence, and indicate if you modified the licensed material. You do not have permission under this licence to share adapted material derived from this article or parts of it. The images or other third party material in this article are included in the article’s Creative Commons licence, unless indicated otherwise in a credit line to the material. If material is not included in the article’s Creative Commons licence and your intended use is not permitted by statutory regulation or exceeds the permitted use, you will need to obtain permission directly from the copyright holder. To view a copy of this licence, visit http://creativecommons.org/licenses/by-nc-nd/4.0/.
About this article
Cite this article
Li, X., Lin, J., Wang, D. et al. Age Stratified Analyses of TyG Index eGDR and Additive Effects on T2DM Outcomes in Prevalence and Mortality. Sci Rep 15, 38437 (2025). https://doi.org/10.1038/s41598-025-21836-3
Received:
Accepted:
Published:
Version of record:
DOI: https://doi.org/10.1038/s41598-025-21836-3









