Fig. 6

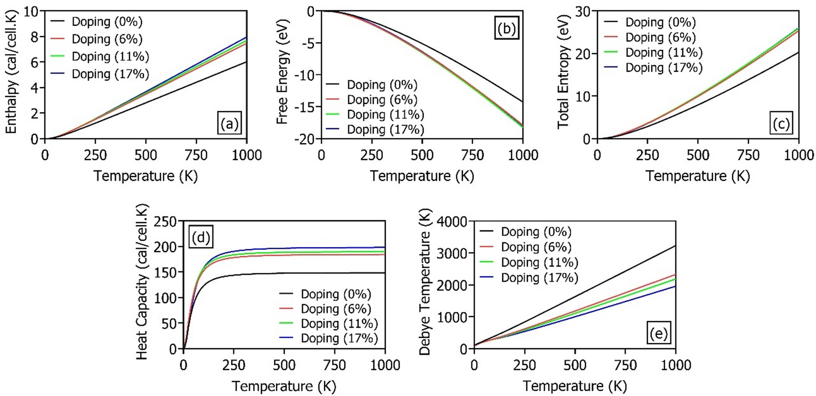
Thermodynamic behavior of CsCdCl3 at various doping levels, (a) enthalpy, (b) free-energy, (c) total entropy, (d) heat capacity, and (e) Debye temperature

Thermodynamic behavior of CsCdCl3 at various doping levels, (a) enthalpy, (b) free-energy, (c) total entropy, (d) heat capacity, and (e) Debye temperature