Abstract
The structural, electronic, optical, and thermodynamic properties of CsCdCl₃ with strontium (Sr) doping (6%, 11%, and 17%) were investigated using first-principles calculations based on the ultra-soft pseudopotential method within the Generalised Gradient Approximation (GGA). The computed structural parameters show excellent agreement with reported data. Pure CsCdCl₃ and the 6% and 11% Sr-doped systems exhibit indirect band gaps of 1.65–1.73 eV, whereas the band gap vanishes at 17% doping. Optical analyses reveal enhanced dielectric constants, strong absorption above 200,000 cm⁻¹, and improved absorption and electrical conductivity in the 20–26 eV energy range. Sr-doping also increases the refractive index and reflectivity. Thermodynamic analyses demonstrate that Sr incorporation increases heat capacity, entropy, and phonon spectrum range, suggesting improved thermal energy storage and enhanced lattice disorder. Electron Energy Loss Spectroscopy (EELS) indicates doping-induced modifications in the local electronic environments of Cs, Cd, and Cl atoms, with higher doping levels producing structural distortions and reduced electronic excitations. These findings demonstrate the potential of Sr-doped CsCdCl₃ for optoelectronic and energy-related applications, including light-emitting diodes, solar cells, radiation detectors, and energy storage devices.
Introduction
The class of compounds known as inorganic perovskites has the generic formula ABX₃, in which X is an anion, such as an oxide or halide, B is a transition or alkaline earth metal, and A is usually an alkali metal. Since A and B are typically monovalent and divalent cations, respectively, in these structures, their electropositive and electronegative properties produce an overall charge balance1,2,3,4. Perovskite material`s exceptional electrical characteristics and structural adaptability to changing temperatures and compositions have sparked a lot of interest in their investigation. Because of these characteristics, they are useful in ferroelectric materials for the electronics and telecommunications sectors, dielectrics, and superconductors5,6,7. Furthermore, they are appropriate for memory storage due to their high Seebeck coefficient, capacity for spontaneous polarization under an electric field, and extremely low electrical resistance at cryogenic temperatures8. The ideal perovskite CsCdCl₃ has a Goldschmidt tolerance factor of 0.89 for the hexagonal form and 0.947 for the ideal cubic structure9,10, both of which are within the recognized stability range of 0.8–1.0 for perovskite structures. Perovskites, both inorganic and hybrid, have shown great promise as absorber materials in solar cells11,12,13.
A recent study by Imtiaz et al.6 revealed that CsCdCl₃ has a semiconducting bandgap according to electronic structure evaluations, and optical studies show substantial absorption in the visible to UV region, peaking at roughly 2.5 × 10⁵ cm⁻¹ between 13 and 15 eV. Its low reflectance, excellent dielectric response, and high optical conductivity further highlight its appropriateness for optoelectronic uses. Dynamical stability is confirmed by phonon dispersion measurements, which show no imaginary frequencies. Because of these qualities, CsCdCl₃ is a very stable, effective, and sustainable option for solar energy gadgets of the future. The lead-free halide perovskite CsCdCl₃, which has the potential for multiple uses in optoelectronics, was the subject of research by Saadi et al.14. CsCdCl₃ has an indirect bandgap, which is in good agreement with reported experimental and theoretical values. Excellent light-harvesting capabilities are indicated by its optical properties, which include a high dielectric constant and substantial absorption in the visible to ultraviolet range, with absorption surpassing 12,600 cm⁻¹ in the visible domain. Evaluations of elastic properties verify that CsCdCl₃ is ductile, anisotropic, and mechanically stable, which qualifies it for device integration. Thermal and electrical conductivity are also present, together with a promising figure of merit that increases with temperature. These combined characteristics make CsCdCl₃ a promising option for use in light-emitting diodes, radiation detectors, and solar cells.
According to R.O. Agbaoye et al.15, first-principles research on CsCdCl₃, the cubic phase of this compound, has a smaller bandgap and greater mechanical strength than the hexagonal phase. Both structures are ductile and elastically stable. The hexagonal phase has a greater figure of merit at low temperatures, while the cubic phase has a better thermal conductivity above room temperature, according to thermoelectric research. These characteristics demonstrate the thermoelectric potential of CsCdCl₃. Recently, most of the literature can be found on double perovskite materials for photovoltaic16,17, solar energy18 applications. Density Functional Theory (DFT) is used in this work to examine how strontium (Sr) doping affects the electrical, optical, thermodynamic, X-ray diffraction (XRD), and electron energy loss spectroscopy (EELS) characteristics of CsCdCl₃. Having a good potential for use in optoelectronic and energy-related applications, this work offers a theoretical understanding of how Sr inclusion affects the material’s structural and functional characteristics.
Computational details
The simulation code CASTEP (Cambridge Serial Total Energy Package) is employed to perform calculations by using the plane wave pseudo potential approach4,19,20. First, geometry optimization was carried out using the generalized gradient approximation21,22,23,24 to address electron-exchange correlation effects25,26, which were proposed by Perdew Burke Ernzerhof (PBE)27, and the electron–ion interaction using ultra soft potentials3,28,29, which were utilized in CASTEP at a cut-off energy of 260 eV in order to analyze pure CsCdCl3 structure with the least amount of energy19,21,30. A mathematical construction known as pseudopotential explains the interaction between valence shell electrons and the atomic core, which is made up of the nucleus and inner electrons. It provides a detailed summary of electron wave functions. An ultrasoft pseudopotential is a simpler mathematical configuration that makes it easier to understand how valence electrons interact with the atomic core (nucleus plus inner electrons)3,19,31. The optical properties of the irreducible Brillouin zone22,32,33 were investigated using a denser Monkhorst-Pack grid of 2 × 2 × 222,34.
The atomic radii of Cesium (Cs) atom are 0.267 nm, and for Cadmium (Cd) and Chloride atoms are 0.154 and 0.181 nm, respectively. The band energy tolerance, which was applied, to 1 × 10−5 eV3,20,30. The lattice constants “Å” and lattice volume were calculated. Furthermore, the electronic, optical, elastic, mechanical, x-ray diffraction, and thermodynamic features were estimated. The crystal structure of CsCdCl3 is shown in Fig. 1(a). The Sr-doping was performed up to 6, 11, and 17% in CsCdCl3.
Geometry optimization
To define the structural qualities, many structural parameters are established such as lattice constant and lattice volume. Incorporating strontium in the crystal of CsCdCl3, there is a minor increment of lattice parameter and lattice volume. The trend of increase in both lattice parameter and lattice volume is similar, which can be seen in Fig. 1(b). There is no significant variation in lattice constant and lattice volume values at 6 and 11% doping of Sr in CsCdCl3, whereas at 17% the linear increase in both was recorded.
Electronic properties
In self-consistent band gap calculations at equilibrium using CASTEP, the optimal lattice parameters are shown along the high symmetry \(\:G\to\:F\to\:Q\to\:Z\to\:G\) orientations in the irreducible Brillouin zone (IBZ), seen in Fig. 2(a–d). The value of the band gap is increased from 1.653 to 1.732 when Sr is doped at 6% and 11% respectively, while at 17% the band gap is reduced to zero, and the material becomes a metal from a semiconductor. In pure CsCdCl3, the indirect bandgap was found. When Sr is incorporated to 6%, 11% and 17% in CsCdCl3, the direct band gap behavior was continued. The shrinkage in bands can be seen in Sr-doped CsCdCl3. The band gap vs. doping level plot is shown in Fig. 2(e).
Figure 3 shows the total density of states of pure and doped CsCdCl3. For pure and Sr-doped CsCdCl₃ (6%, 11%, and 17%), the TDOS plot shows notable doping-induced changes in electronic states. While doping causes peak broadening and energy level shifts, particularly close to the Fermi level, the undoped structure displays well-separated peaks. The density of states surrounding the valence and conduction bands increases with increasing Sr concentration, suggesting altered electronic interactions. These differences imply that Sr-doping modifies the electronic structure, which may affect optical absorption and conductivity characteristics.
Optical properties
In order to determine the optical characteristics, Kramer’s Kronig Eqs9,19,35. extracts the dielectric function’s real part, \(\:{\epsilon\:}_{1}\left(\omega\:\right)\), from its complex part.
Whereas the imaginary part\(\:{\:\epsilon\:}_{2}\left(\omega\:\right)\) of the dielectric function is written by
The refractive index can be calculated from the following equation,
The \(\:{\epsilon\:}_{1}\left(\omega\:\right)\) and \(\:{\epsilon\:}_{2}\left(\omega\:\right)\) are connected with \(\:n\left(\omega\:\right)\) and the extinction coefficient \(\:k\left(\omega\:\right)\), respectively36, and are presented in the following equations:
The reflectivity, which represents the capability of a surface to reflect radiation, is defined as
The \(\:\propto\:\left(\omega\:\right)\) shows how much light of certain energy may pass through the material before being consumed, and it is proportional to the \(\:k\left(\omega\:\right)\) as follows
The \(\:\propto\:\left(\omega\:\right)\) can also be calculated using the dielectric constant:
The optical properties like absorption, conductivity, dielectric, reflectivity, loss function, and refractive indices of the Sr-doped CsCdCl3 were also calculated as shown in Fig. 4. The blue shift can be observed clearly in Fig. 4(a); the maximum absorption of 229065.7 cm−1 was found at 14.8989 eV energy of incident waves. The maximum absorption values for Sr-doped CsCdCl3 were found near to pure CsCdCl3. But after 20 eV, the absorption rate of 17% doping was found to be maximum compared to 6 and 11% and a blue shift can also be seen clearly above the 20 eV energy of incident waves. After 32 eV, there is no absorption in doped or undoped CsCdCl3. The results depicted that the material is capable of absorbing more intensity of incident waves within the range of the ultraviolet region when Sr is doped. As we have seen in the electronic band gap results, the energy band gap is decreasing with Sr-doping, so the absorption of the material is also increasing significantly. In the simulation results of conductivity, the maximum conductivity was found at 3.6866 (1/fs) for undoped CsCdCl3 at 11.6449 eV, while after 20 eV, the conductivity values of 6, 11, and 17% doped Sr were found higher as compared to undoped CsCdCl3, shown in Fig. 4(b). As we have seen in the absorption results of Fig. 4(a) at higher energy incident waves from 20 eV, the simulation results of absorption for doped CsCdCl3 are higher compared to undoped values. Higher absorption affects the rate of conductivity of electrons in the material.
Real and imaginary dielectric values were also estimated from simulation results with the increase in incident energy of the waves shown in Fig. 4(c) and Fig. 4(d). The static dielectric \(\:{\epsilon\:}_{0}\left(0\right)=3.3236\), which shows that the polarizability of the material is in the lower range. According to Fig. 4(c), the static dielectric of CsCdCl3 decreases by 17% Sr-doping. The maximum value of the real dielectric was found to be 4.2773 at 4.0 eV. On further increase in incident wave energy up to 13.7 eV, the dielectric value is decreased to zero, which indicates that the material is approaching plasma frequency. From 13.8 to 18.5 eV of incident wave energy, the value of dielectric is in the negative range, representing metallic or plasmonic behavior of the material at this stage. On further increase in incident wave energy, there is a minor positive increase in dielectric, exhibiting weak polarizability. The imaginary dielectric was also predicted from the simulation shown in Fig. 4(d). The imaginary part of the dielectric showed that the energy of the incident wave is absorbed maximum at 8.1235 eV, and on further increase in the energy of the incident waves, the absorption of the wave by the material is decreased, and it is diminished at 24 eV. The starting threshold of absorbance of incident waves was found at 3 eV.
The optical reflectivity spectrum of CsCdCl₃, as calculated from first-principles density functional theory (DFT), shown in Fig. 4(e), reveals significant insight into its interaction with electromagnetic radiation across a broad energy range. At zero incident photon energy, the reflectivity initiates at approximately 0.09, indicating a low baseline reflectance in the infrared or static limit. As the incident photon energy increases, the reflectivity gradually rises, reaching a prominent maximum value of 0.4 around 17 eV. This peak suggests strong reflection due to enhanced optical transitions or possible resonance phenomena associated with electronic band structure features. Beyond this point, the reflectivity sharply declines, dropping to a minimum of 0.01 at 23 eV, which implies high optical transparency in this region. The material becomes effectively transparent at high photon energies, as seen by a slight secondary rise at 24 eV and a subsequent steady decline until the reflectivity almost completely disappears at 30 eV. Interband transitions and the combined density of states are responsible for the overall behavior, which indicates that CsCdCl₃ has modest reflectance in the ultraviolet spectrum, with maximal optical reflection at about 17 eV. Because of these properties, CsCdCl₃ is a viable option for UV-optoelectronic applications that require selective reflection or transparency.
The energy loss function represented in Fig. 4(f), which is strongly related to plasmon excitations37 and represents the energy dissipated by rapid electrons moving through the material, offers vital information about the optical and electrical structure of CsCdCl₃ and its Sr-doped derivatives. The distinctive bulk plasmon resonance energy for pure (undoped) CsCdCl₃ is shown by the largest peak in the loss function, which appears at 18 eV with a value of 4.2. There is a discernible change in peak position and intensity with doping with Sr. At 6% Sr-doping, the intensity stays high at 4.2, but the loss function peak moves to a lower energy of 17 eV, indicating a stronger collective oscillation of charge carriers at a somewhat lower excitation energy. The severity of the loss function rises even more as the Sr concentration rises to 11% and 17%, and the peaks keep moving toward lower energies. The sharp peak corresponds to low-damping plasmons, and the wide peak for the damped plasmons. In our results, the peaks are becoming sharper with Sr doping. A change in the electronic environment and carrier density is implied by this redshift in plasmon energy with increased Sr-doping. This could be the result of local polarization effects brought about by the dopant or modifications in the conduction band structure. According to these findings, Sr-doping in CsCdCl₃ enhances the plasmonic response and modifies the material’s optical loss properties, making it a viable option for specialized plasmonic and optoelectronic applications.
Crucial information regarding the optical dispersion and dielectric response of CsCdCl₃ can be obtained from the refractive index with incident photon energy shown in Fig. 4(g). The undoped material’s static refractive index, as determined by density functional theory (DFT) computations, is roughly 1.7 at zero photon energy, suggesting moderate polarizability in the low-energy (infrared) range. The refractive index exhibits a small increase with photon energy, peaking at 2.1 at 4 eV, the point at which interband electronic transitions begin. The refractive index gradually decreases after this, reaching a minimum value of 0.2 at 18 eV. This suggests that the higher-energy area has a lower optical density and greater transparency. The refractive index shows a secondary rise between 18 and 21 eV, culminating at 0.8. This could be the result of collective electronic effects or weak optical transitions. At 23 eV, there is a minor drop to 0.6 after this. The refractive index stabilizes at about 0.7 at even higher energies (27–40 eV), signifying an optical saturation region where the material’s reaction to the incident wave’s electric field becomes almost energy-independent. Its potential for energy-selective optical applications is highlighted by the refractive index spectrum, which shows that CsCdCl₃ changes from a moderately refractive material at low energies to a practically transparent medium at high photon energies.
Electron energy loss spectroscopy (EELS)
The effect of Sr-doping on the electronic excitation behavior of the constituent atoms, Cesium (Cs), Cadmium (Cd), Chlorine (Cl), and Strontium (Sr) was examined by calculating the EELS spectra for CsCdCl₃ and its Sr-doped counterparts (6%, 11%, and 17%) using density functional theory (DFT). Figure 5 displays the results in terms of both emission and absorption spectra. The Cs atom’s emission and absorption spectra are displayed in Fig. 5(a) and 5(d), respectively. For both modes, a noticeable peak is seen at 20–25 eV, suggesting that there are significant transitions in this energy range. Peak intensities for both emission and absorption fall modestly with increasing Sr-doping, with a considerable decrease at 17% doping. This attenuation implies that the local structural disturbances brought about by Sr substitution have slightly suppressed the electronic excitation probability of Cs. The absorption as shown in Fig. 5(b) and emission as shown in Fig. 5(e) spectra of the Cd atom show two closely spaced peaks, centered at 15–30 eV. There is a discernible pattern of peak intensity reducing as Sr concentration rises, suggesting that Cd’s participation in the electronic excitation processes is diminished. This effect is explained by changed local bonding conditions and crystal field interactions upon Sr-doping, which probably lowers the density of unoccupied states close to the Fermi level for Cd.
For Cl atoms, the EELS spectra are shown in Fig. 5(c) and 5(f). In the 5–25 eV region, the absorption spectra show several subtle characteristics that represent intricate transition processes involving Cl p-orbitals. Increased Sr-doping causes a noticeable blue shift in peak positions, which may indicate stronger bonding or electronic confinement. On the other hand, when the Sr concentration increases, the emission spectra exhibit a regular red shift of peak positions, suggesting a decrease in the energy levels of the occupied states. The sensitivity of Cl electronic states to structural and compositional changes in the crystal matrix is reflected in these transitions. The emission and absorption spectra of Sr for the Sr-doped structures, respectively, exhibit clear characteristics between − 30 and − 15 eV and 5–25 eV as shown in Fig. 5(g) and Fig. 5(h). It is suggested that the Sr atoms preserve a stable local electronic environment within the host lattice due to the uniformity of the spectral shape across the doping levels. Minor fluctuations in peak intensity, however, suggest minute modifications to the kinetics of Sr hybridization or charge transfer with neighboring atoms.
Thermodynamic properties
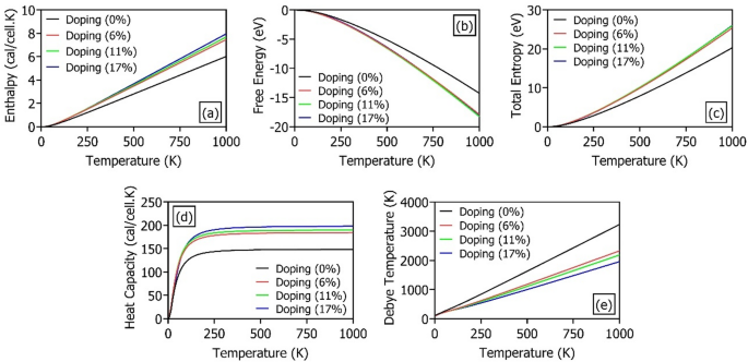
The impact of doping on the material’s thermodynamic behavior was evaluated by examining the temperature-dependent enthalpy of CsCdCl₃ and its doped counterparts, shown in Fig. 6(a). A plot of the enthalpy, measured in cal/(cell·K), against temperature showed that it increased linearly for both undoped and doped compositions over the temperature range under study. This linear pattern is in keeping with how materials should behave at moderate temperatures, where phonon contributions cause enthalpy to rise proportionately with temperature. Analysis was done on four curves that represented pure CsCdCl₃ and Sr-doping concentrations of 6%, 11%, and 17%. The slope of the enthalpy curve, which shows the rate of enthalpy change with relation to temperature, was shown to rise with increased Sr concentration, even though all compositions show a similar linear trend. Significantly, the CsCdCl₃ sample doped with 17% Sr showed the steepest slope, suggesting a higher heat capacity and increased sensitivity to temperature fluctuations. Lattice distortions and increased vibrational modes brought about by Sr substitution may be responsible for this higher enthalpic response in doped samples. These changes alter the phonon spectrum and boost thermal energy storage capacity. These results imply that Sr-doping has a substantial effect on the thermodynamic behavior of CsCdCl₃ in addition to changing its optical characteristics, which may be advantageous for temperature-dependent optoelectronic and energy-storage applications.
Figure 6(b) shows the Helmholtz free energy variation as a function of temperature for both pure and Sr-doped CsCdCl₃ (with doping concentrations of 6%, 11%, and 17%). In all cases, the free energy shows a decreasing trend with increasing temperature, which is in line with thermodynamic expectations; however, the rate of decrease in free energy is more noticeable for the Sr-doped systems than for the undoped compound. This behavior implies that Sr-doping increases the system’s thermodynamic instability at high temperatures, most likely as a result of higher lattice distortions and changed phonon interactions brought on by the addition of Sr ions. Increased configurational entropy and altered vibrational contributions to the total energy may also be the cause of the larger temperature-dependent decrease in free energy of doped samples. For both undoped and doped CsCdCl₃, Fig. 6(c) shows the temperature-dependent trend of total entropy. As anticipated, for all compositions, the entropy increases monotonically with temperature up to 1000 K, reflecting the increased disorder and thermal motion within the lattice. In contrast to the undoped CsCdCl₃, the doped systems exhibit a much faster rate of entropy growth. This implies that a more noticeable entropy gain with temperature is caused by increased configurational and vibrational disorder induced by the addition of Sr to the CsCdCl₃ lattice. Under the same thermal conditions, a very small entropy increase in the undoped system suggests a better-ordered structure with less thermally activated disorder.
Figure 6(d) shows the temperature-dependent change in heat capacity for both undoped and Sr-doped CsCdCl₃ over the 0–1000 K temperature range. The heat capacity for undoped CsCdCl₃ rises quickly with temperature, peaking at 170 cal/(cell·K) about 125 K. Furthermore, it stays almost constant until 1000 K, suggesting that the phonon contribution to the specific heat has reached saturation. The doped samples show a similar pattern, but their total heat capacity values are larger, and the increase becomes more noticeable as the Sr concentration rises. The doped composition with the maximum heat capacity across the temperature range is the 17% Sr-doped CsCdCl. Improved lattice disorder, mass fluctuation effects, and altered phonon spectra brought about by the addition of heavier Sr atoms may be responsible for the improved heat capacity of the doped systems, which in turn increases their capacity to store energy at higher temperatures. As illustrated in Fig. 6(e), the Debye temperature of both undoped and doped CsCdCl₃ was assessed as a function of temperature in the 0–1000 K range. For all compositions, a linear rise in Debye temperature with increasing temperature was noted, illustrating how lattice vibrational characteristics evolve with temperature. Stronger interatomic contacts and a more rigid lattice structure were indicated by the steepest slope of the undoped CsCdCl₃. On the other hand, as the doping concentration increased, the Sr-doped samples (at 6%, 11%, and 17%) showed progressively smaller slopes. Due to mass mismatch and induced structural disorder, Sr inclusion is thought to cause lattice softening, which weakens phonon stiffness and slows the rate at which the Debye temperature rises with temperature. This is supported by the gradual decrease in slope.
Figure 7(a–d) shows the phonon dispersion curves for undoped and doped CsCdCl₃ (with doping levels of 6%, 11%, and 17%, respectively). The image clearly shows that the phonon frequency range gradually widens as the Sr concentration rises, suggesting that doping has a significant impact on the crystal lattice’s vibrational properties. Both positive and negative frequency modes are detected for every composition. The existence of negative (imaginary) frequencies points to soft phonon modes or dynamic instabilities, which may be related to structural distortions brought on by the addition of Sr. Higher doping levels may cause the phonon frequency spectrum to expand because of changes in force constants and increasing mass disorder, which alter the distribution of vibrational modes and lattice dynamics.
Figure 8 shows the total phonon density of states (TDOS) at various doping levels. Doping broadens and weakens the peaks in the phonon TDOS plot for pure and Sr-doped CsCdCl₃, showing increasing lattice disorder. While doped samples display softened modes and faintly negative frequencies, indicating potential dynamic instability, the undoped sample displays distinct phonon modes. These modifications show how the addition of Sr results in changed vibrational behavior and decreased phonon coherence.
X-ray diffraction
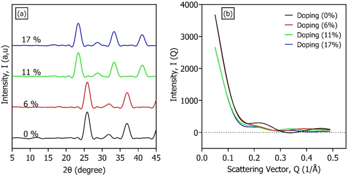
Figure 9(a) shows the undoped and doped CsCdCl₃ simulated X-ray diffraction (XRD) patterns. Sr-doping causes a discernible shift of the diffraction peaks towards lower 2θ angles, suggesting that the lattice parameters expand systematically as the Sr content rises. Peak positions have shifted to the left due to the substitution of considerably larger Sr²⁺ ions (ionic radius = 1.18 Å) for Cd²⁺ ions (ionic radius = 0.95 Å), which causes lattice strain and unit cell enlargement. The peak shift indicates that Sr was successfully incorporated into the CsCdCl₃ lattice, changing its crystallographic structure. This kind of lattice expansion is in line with Bragg’s law, which states that a decrease in the diffraction angle results from an increase in interplanar space, or d-spacing. The electrical, vibrational, and thermodynamic properties of the material can be greatly impacted by these structural changes, which are further investigated in this work.
Figure 9(b) shows the change in scattering intensity for both pure and doped CsCdCl₃ as a function of the scattering vector Q. For all compositions, the intensity profiles indicate a rapid decrease at low Q values. The undoped sample initially exhibits the maximum intensity, which is systematically reduced as the Sr-doping concentration rises (6%, 11%, and 17%). This pattern implies that Sr-doping results in structural changes that impact the material’s long-range order and electron density contrast. Significantly, for higher Q levels, the baseline shifts toward lower intensity, and the decreasing slope points towards greater disorder and scattering losses in the doped structures. A more significant change in the crystal structure as a result of the substitution of Sr at the Cd site is implied by the highest deviation seen at 17% doping. Increased scattering heterogeneity and improved phonon interaction or lattice distortion as a result of doping are reflected in these changes. Overall, the shift in profile and decrease in peak intensity with increasing doping concentration support the notion that Sr inclusion substantially alters the structure of CsCdCl₃, which is consistent with trends in other structural and electrical aspects.
Conclusion
This paper examined the structural, electrical, and optical characteristics of pure and Sr-doped CsCdCl₃ using DFT-based CASTEP simulations. Stable structures were confirmed by using ultrasoft pseudopotentials and geometry tuning with GGA-PBE. Sr-doping (6%, 11%, and 17%) had a major impact on the optical performance, band structure, and lattice. These findings demonstrate Sr-doped CsCdCl3’s potential for use in optoelectronic devices. According to DFT studies, the band gap of CsCdCl₃ is altered by Sr-doping, increasing at 6% and 11% doping and decreasing to zero at 17% doping, suggesting a semiconductor-to-metal transition. The direct band gap nature is unaffected by doping up to 17%. This tenability demonstrates Sr-doped CsCdCl3’s potential for electronic uses. The optical characteristics of CsCdCl₃ are dramatically changed by Sr-doping, which improves plasmonic behavior, conductivity, and UV absorption. Increased doping was shown to cause a redshift in plasmon peaks and a blue shift in absorption. Improved transparency at higher energy is confirmed by trends in the refractive index and dielectric values. These findings imply that Sr-doped CsCdCl₃ is appropriate for plasmonic and UV-optoelectronic uses. The thermodynamic and vibrational properties of CsCdCl₃ are significantly changed by Sr-doping. Doping results in a rise in enthalpy, entropy, and heat capacity, which suggests increased lattice disorder and improved thermal energy storage. Reduced thermal stability and lattice softening are suggested by the quicker reduction in Helmholtz free energy and the smaller Debye temperature slope. Doping broadens the phonon dispersion, revealing soft modes and altered vibrational dynamics. These findings enhance the material’s promise for temperature-dependent optoelectronic and energy-storage applications by confirming that Sr-doping increases the thermal responsiveness of the material.
Data availability
The simulation data generated and analysed during the current study are available from the corresponding author on reasonable request.
References
Miah, M. H. et al. Lead-free alternatives and toxicity mitigation strategies for sustainable perovskite solar cells: a critical review. Mater. Adv. 6 (9), 2718–2752. https://doi.org/10.1039/d5ma00010f (2025).
Abdullah, A., Zaidi, S. M. J., Khan, M. I., Sahar, M. S. U. & Saleemi, A. S. Assimilation of electronic, elastic, mechanical, optical, and thermal profiles in metal halide perovskite CsPbCl3, for optoelectronic applications, Comput. Condens. Matter, vol. 35, Jun. (2023). https://doi.org/10.1016/j.cocom.2023.e00804
Mushtaq, M. U. et al. First-principles investigation of stress effects on electronic, optical, elastic, and thermodynamic properties of cubic HfMgO3 perovskite. Optoelectron. Adv. Mater. Rapid Commun. 19, 1–2 (2025).
Sahar, M. S. U., Zaidi, S. M. J., Ashraf, M. T., Hashim, M. & Khan, M. I. Insight into the electronic, elastic, structural, thermal, and optical characteristics of potassium magnesium fluoride KMgF3 with isotropic external stress. Heliyon 10 (17), e36159. https://doi.org/10.1016/j.heliyon.2024.e36159 (2024).
Sarfraz, S. et al. Physical properties of KTaO3 compound for optoelectronic and thermoelectric applications: A DFT study. Mater. Sci. Semicond. Process. https://doi.org/10.1016/j.mssp.2022.106811 (2022).
Apon, I. A. et al. Exploring ACdX3 perovskites: DFT analysis of Stability, Electronic, Optical, and mechanical properties for solar applications. J. Inorg. Organomet. Polym. Mater. https://doi.org/10.1007/s10904-025-03821-5 (2025).
Sahar, S. U., Ali, H. T., Junaid Zaidi, S. M., El-Aziz, K. A. & Khan, M. I. Inclusive DFT studies on electronic, optical, mechanical, elastic, X-ray diffraction, thermodynamic, and spectroscopic analysis of cubic BaCeO3 under high hydrostatic stress. Appl. Phys. Mater. Sci. Process. 131 (3), 1–11. https://doi.org/10.1007/s00339-025-08274-8 (2025).
Wang, N. et al. Recent advances in Lead-Free All-Inorganic perovskite CsCdCl3 crystals for Anti-Counterfeiting applications. Crystals 14 (12). https://doi.org/10.3390/cryst14121077 (2024).
Zeba, I. et al. Study the effect of magnesium doping concentration on structural and optoelectronic response of NaCa1-xMgxF3 fluoro-perovskite: First-principles computation, Optik (Stuttg)., vol. 218, Sep. (2020). https://doi.org/10.1016/j.ijleo.2020.164990
Zhang, W., Tang, J. & Ye, J. Structural, photocatalytic, and photophysical properties of perovskite MSnO3 (M = Ca, Sr, and Ba) photocatalysts. J. Mater. Res. 22 (7), 1859–1871. https://doi.org/10.1557/jmr.2007.0259 (2007).
Zhang, L. et al. Advances in the application of perovskite materials. No 1 Springer Nat. Singap. 15 https://doi.org/10.1007/s40820-023-01140-3 (2023).
Bati, A. S. R. et al. Next-generation applications for integrated perovskite solar cells. Commun. Mater. 4 (1), 1–24. https://doi.org/10.1038/s43246-022-00325-4 (2023).
Shaili, H. et al. Enhanced properties of the chemically prepared Gd-doped SrSnO3 thin films: experimental and DFT study. Opt. Mater. (Amst). 107, 110136. https://doi.org/10.1016/j.optmat.2020.110136 (2020).
Berri, S. & Bouarissa, N. Ab initio study of fundamental properties of ACdX3 (A = K, Rb, Cs; and X = F, Cl, Br) halide perovskite compounds. Emergent Mater. 6 (3), 1009–1025. https://doi.org/10.1007/s42247-023-00488-x (2023).
Agbaoye, R. O., Adebambo, P. O. & Adebayo, G. A. First principles comparative studies of thermoelectric and other properties in the cubic and hexagonal structure of CsCdCl 3 halide perovskites. Comput. Condens. Matter. 21, e00388. https://doi.org/10.1016/j.cocom.2019.e00388 (2019).
Ayyaz, A. et al. Synthesis, Structural, Morphological, and optical properties of promising Lead-Free double perovskite Na2CuBiBr6: A sustainable material for photovoltaic applications. Mater. Sci. Eng. B. 310, 117732. https://doi.org/10.1016/j.mseb.2024.117732 (Dec. 2024).
Ayyaz, A. et al. Exploring structural, thermodynamic, elastic, electro-optic, and thermoelectric characteristics of double perovskites Rb2XInBr6 (X = Na, K) for photovoltaic applications: A DFT approach. Sol Energy. 265, 112131. https://doi.org/10.1016/J.SOLENER.2023.112131 (Nov. 2023).
Ayyaz, A. et al. First principles insight on mechanical stability, optical and thermoelectric response of novel lead-free Rb2ScCuBr6 and Cs2ScCuBr6 double perovskites. Mater. Sci. Semicond. Process. 169, 107910. https://doi.org/10.1016/j.mssp.2023.107910 (Jan. 2024).
Rizwan, M. et al. First-principles investigation of structural modification, fine band gap engineering, and optical response of La1 – xBaxGaO3 for optoelectronic applications. Appl. Phys. Mater. Sci. Process. 126 (9). https://doi.org/10.1007/s00339-020-03813-x (Sep. 2020).
Junaid Zaidi, S. M. et al. A comparative DFT assessment of the mechanical, elastic, electronic, and optical parametric study of perovskites CsPbX3 for opto-electronic applications. Dig. J. Nanomater Biostructures. 19 (3), 1227–1241. https://doi.org/10.15251/DJNB.2024.193.1227 (2024).
Neupane, K. & Thapa, R. K. Study of structural and electronic properties of fluoride perovskite KMgF3 using FP-LAPW method. J. Phys. Conf. Ser. 765 (1). https://doi.org/10.1088/1742-6596/765/1/012016 (2016).
Rizwan, M. et al. Putting DFT to trial: for the exploration to correlate structural, electronic and optical properties of M-doped (M = Group I, II, III, XII, XVI) lead free high piezoelectric c-BiAlO3. Mater. Sci. Eng. B Solid-State Mater. Adv. Technol. 264 https://doi.org/10.1016/j.mseb.2020.114959 (Feb. 2021).
Gillani, S. S. A. et al. Dec., Structural stability of SrZrO3 perovskite and improvement in electronic and optical properties by Ca and Ba doping for optoelectronic applications: a DFT approach, Philos. Mag., vol. 99, no. 24, pp. 3133–3145, (2019). https://doi.org/10.1080/14786435.2019.1663955
Sahli, B. et al. Study of hydrostatic pressure effect on structural, mechanical, electronic and optical properties of KMgF3, K0.5Na0.5MgF3 and NaMgF3 cubic fluoro-perovskites via Ab initio calculations. Int. J. Mod. Phys. B. https://doi.org/10.1142/S0217979216502301 (2016).
Ernzerhof, M. & Scuseria, G. E. Assessment of the Perdew-Burke-Ernzerhof exchange-correlation functional. J. Chem. Phys. https://doi.org/10.1063/1.478401 (1999).
Junaid Zaidi, S. M. et al. Exploring the effects of external stress on the crystal lattice of SrHfO3: significance of variations in structural, electrical, optical, and mechanical properties. Results Opt. 13, 100519. https://doi.org/10.1016/j.rio.2023.100519 (2023).
M. Q. S. A et al., Effect of position occupancy of different elements on the structural stability, optoelectronic, thermoelectric and elastic properties of Cs2CuAsX6 (X: Cl, Br, I) halide double perovskite: DFT analysis, Mater. Sci. Semicond. Process., vol. 174, p. 108187, [Online]. (2024). Available: https://www.sciencedirect.com/science/article/abs/pii/S1369800124000830?via%3Dihub
Rizwan, M. et al. Electronic, structural and optical properties of BaTiO3 doped with lanthanum (La): insight from DFT calculation. Optik (Stuttg). 211 https://doi.org/10.1016/j.ijleo.2020.164611 (Jun. 2020).
Ghaithan, H. M., Alahmed, Z. A., Lyras, A., Qaid, S. M. H. & Aldwayyan, A. S. Computational investigation of the folded and unfolded band structure and structural and optical properties of CsPb(I1 – xBrx)3 perovskites. Crystals https://doi.org/10.3390/cryst10050342 (2020).
Cui, S., Feng, W., Hu, H., Feng, Z. & Wang, Y. High-pressure structural, electronic and optical properties of KMgF3: A first-principles study. J. Alloys Compd. 484, 1–2. https://doi.org/10.1016/j.jallcom.2009.05.005 (2009).
Zaidi, S. M. J. et al. A comprehensive DFT study to evaluate the modulation in the band gap, elastic, and optical behaviour of CsPbBr3 under the effect of stress. Mater. Res. Express. 9 (12). https://doi.org/10.1088/2053-1591/aca645 (Dec. 2022).
Gillani, S. S. A. et al. Sep., A systematic computational study to understand the effect of metals (Mg, Ca, Sr) doping and external isotropic static pressure on phase stability, electronic band structure and optical properties of KNbO3, Mater. Sci. Eng. B Solid-State Mater. Adv. Technol., vol. 271, (2021). https://doi.org/10.1016/j.mseb.2021.115261
Shakil, M. et al. First-principles study of structural, mechanical, thermlectronic and magnetic properties of highly spin-polarized quaternary Heusler alloy CoYVSn, Solid State Commun., vol. 325, Feb. (2021). https://doi.org/10.1016/j.ssc.2020.114157
Zeba, I. et al. Effect of anomalous behavior of Be-doping on structural stability, bandgap and optical properties in comparison with Mg-doped BaZrO3 perovskite: insights from DFT calculations. Opt. Quantum Electron. 52 (5). https://doi.org/10.1007/s11082-020-02349-x (May 2020).
Rizwan, M., Khadija, Z., Mahmood, T., Gillani, S. S. A. & Khan, M. I. Alteration impact of electronic properties of c-SrTiO3 on optical response due to Ca inclusion: A DFT study, Phys. B Condens. Matter, vol. 602, Feb. (2021). https://doi.org/10.1016/j.physb.2020.412553
Shafiq, M. et al. Pressure induced variations in the band structure, optical and mechanical properties of lead free double halides perovskites K2CuAsX6 (X = Cl, Br): A first-principles calculations. Inorg. Chem. Commun. 156, 111262. https://doi.org/10.1016/j.inoche.2023.111262 (Oct. 2023).
A, M. Q. S., Murtaza, G., Shafiq, M., Sharif, S. & Morley, N. A. Investigation of optoelectronic & thermoelectric features of ZnCrX2 (X = S Se Te) chalcopyrite semiconductor using mBJ potential, Chinese J. Phys., vol. 85, pp. 1–14, [Online]. (2023). Available: https://www.sciencedirect.com/science/article/abs/pii/S0577907323000837?via%3Dihub
Acknowledgements
The authors extend their appreciation to the Deanship of Scientific Research at Northern Border University, Arar, KSA, for funding this research work through the project number NBU-FFMRA-2025-2483-09.
Funding
The research reported in this manuscript was supported by Project (NBU-FFMRA-2025-2483-09), funded by Northern Border University, Saudi Arabia.
Author information
Authors and Affiliations
Contributions
The material preparation, data collection, project administration, and analysis were performed by M. Sana Ullah Sahar, Hammad Khalid, Salah Knani, and M. Ijaz Khan. The first draft of the manuscript was written by S. M. Junaid Zaidi, and other authors commented on previous versions and approved the final manuscript.
Corresponding author
Ethics declarations
Competing interests
The authors declare no competing interests.
Additional information
Publisher’s note
Springer Nature remains neutral with regard to jurisdictional claims in published maps and institutional affiliations.
Rights and permissions
Open Access This article is licensed under a Creative Commons Attribution-NonCommercial-NoDerivatives 4.0 International License, which permits any non-commercial use, sharing, distribution and reproduction in any medium or format, as long as you give appropriate credit to the original author(s) and the source, provide a link to the Creative Commons licence, and indicate if you modified the licensed material. You do not have permission under this licence to share adapted material derived from this article or parts of it. The images or other third party material in this article are included in the article’s Creative Commons licence, unless indicated otherwise in a credit line to the material. If material is not included in the article’s Creative Commons licence and your intended use is not permitted by statutory regulation or exceeds the permitted use, you will need to obtain permission directly from the copyright holder. To view a copy of this licence, visit http://creativecommons.org/licenses/by-nc-nd/4.0/.
About this article
Cite this article
Zaidi, S.M.J., Sahar, M.S.U., Khalid, H. et al. Exploring the impact of Sr substitution on the physical characteristics of CsCdCl3 perovskite via DFT-Based analysis. Sci Rep 15, 38204 (2025). https://doi.org/10.1038/s41598-025-22113-z
Received:
Accepted:
Published:
Version of record:
DOI: https://doi.org/10.1038/s41598-025-22113-z








