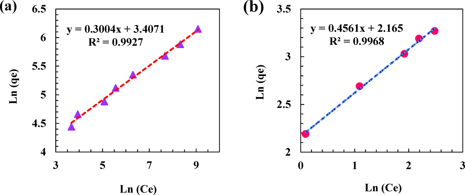
Fig. 6

Parameters and linear fittings of Freundlich isotherm for: (a) Adsorption of phenol on active carbon (b) Adsorption of uranium onto Varion AP Anion Exchange Resin.

Parameters and linear fittings of Freundlich isotherm for: (a) Adsorption of phenol on active carbon (b) Adsorption of uranium onto Varion AP Anion Exchange Resin.