Abstract
This study aimed at developing a scale-up method for the optimal design of stirred tank reactors and their corresponding batch processes for absorption applications. Three geometrically similar reactors (3, 30, and 300 L) were constructed to conduct ion exchange and surface adsorption experiments. Mathematical analysis revealed that in systems with combined “intraparticle-liquid film” mass transfer resistance, maintaining (m/V) = Idem and ND0.667 = Idem ensures kinetic similarity, achieving C(t)Bench = C(t)Industrial. The discrepancy between suspension level and kinetic similarity was resolved through a cautious scale-up procedure. Equal power-to-volume ratios (P/V) across reactors yielded overlapping concentration histories, confirming P/V as a reliable scale-up criterion. Liquid film mass transfer coefficients were consistent under identical P/V conditions, validating the proposed scaling rule. Application to a sugar syrup decolorization unit demonstrated that a 14 m³ vessel with 10 g/L carbon dosage and 15 batches/shift minimized net present cost.
Similar content being viewed by others
Introduction
Adsorption in batch stirred-tank reactors (BSTRs) is a foremost unit operation that is commonly utilized in the decolorization of sugar syrup, vegetable oils, and liquid pharmaceuticals by active carbon, bentonite, and ion exchange resins1,2,3,4,5. Furthermore, it is employed in the decontamination of industrial effluents from organic toxicants and heavy metal ions6. Besides, BSTRs are exploited for the synthesis of some essential industrial products, such as Ag-doped zeolite, an active ingredient of antimicrobial textiles and cosmetics, obtained from the adsorption of Ag+ ions onto Y-zeolite in BSTRs7. Although continuous stirred-tank reactors (CSTRs) are often preferred over BSTRs in some applications; there are certain circumstances or reasons such as the following, for which the latter is a more rational choice. 1- Legal obligation for encoding the pharmaceuticals with batch number necessitates the application of the BSTRs for the production of those products8; 2- faster kinetics of a single-stage BSTR than a CSTR in the adsorption processes9,10; 3- Broader acceptable range of madsobent/Vliquid ratios by a single-stage BSTR due to the fluid-mechanical reasons, resulting in a higher purity of products11; 4- Simpler operation and quality control of products in BSTRs than CSTRs9,12. Despite the above-mentioned merits, the transient nature of the batch processes often makes the design of their equipment more complicated from a mathematical standpoint13. This problem can be circumvented by undertaking a scale-up design method that is based on dynamic similarity. Attempts to find appropriate sale-up rules for the BSTRs have resulted in a number of useful relations, among which the following criteria are the most famous ones14,15:
where P and V denote the power of the agitator and volume of the liquid, respectively; and “θm” shows dimensionless mixing time, a multiplication of real mixing time (tm, s) and the impeller rotational speed (N, s−1)16. In the case of agitated vessels, the importance of the “ε = P/V” parameter arises from its role in the definition of Kolmogorov’s Reynold number (ReK), a descriptor for the intensity of micro-mixing (shear stress) in the stirred tanks:
Shear stress is the controlling parameter of the rate of liquid-film mass transfer (k, m.s−1)14. Hence, the most accurate correlations for the film mass transfer coefficient are those that comprise Kolmogorov’s Reynold number, such as17:
In contrast to micromixing, the intensity of macromixing (bulk motion of the fluid) is stated in terms of the impeller Reynold number (Reimp)16. Many target parameters, such as the heat transfer rate and the dimensionless time “θm” are related to the macromixing intensity16,18.
Another issue that must be described here is the suspension level. Solid-liquid suspensions are encountered in nearly 80% of all industrial mixing applications, namely, ore leaching, dissolution, crystallization, precipitation, coagulation, etc19.,. The prime prerequisite of all these applications is the complete suspension of solid particles in the liquid phase. More accurately, an agitation level where no particle can stay more than 1 s on the bottom of vessels is needed16,20. The minimum speed of the agitator (NJS) that brings about such a suspension level is given by the famous Zwietering equation21:
where parameter “S” comprises all of the relevant geometrical ratios. By considering “suspension level” as the scale-up basis, Eq. 6 correlates the impeller diameter and the rotational speed of the bench and industrial mixers by ND0.85=Idem. Additionally, to have an equal rate of liquid film mass transfer, Eq. 1 should hold that results in ND0.66=Idem. Apparently, these criteria are inconsistent, which means the conditions that bring about the required suspension level do not necessarily give an acceptable mass transfer rate. The current study was aimed at developing a scale-up-based method for designing and optimizing a BSTR for adsorption services. Firstly, finding a scale-up rule for the adsorption processes with a double “intraparticle-film” mass transfer resistance is required. Specifically, reaching the equality of parameters like X and Y between the bench and industrial reactors is sought, leading to the equivalence of their concentration histories.
To discover the aforementioned scale-up parameters from a broader perspective, two adsorption systems including ion exchange and surface adsorption were examined, rendering appreciable intraparticle and liquid film mass transfer resistance22,23. To this end, three reactors of 3, 30, and 300 L volumes were manufactured and the obtained data were analyzed by mechanistic and quantitative methods, which resulted in the required scaling-up rules. Moreover, the preceding discrepancy between the absorption kinetics and suspension level was solved. Finally, a procedure for the optimum design of the adsorption reactor and its corresponding process was introduced based on a few bench-scale experiments. The developed method is elaborated in detail by solving a fundamental design problem of a sugar-syrup decolorizing unit.
Experimental section
Materials
Phenol (analytical grade) and sulfuric acid (98% technical grade) were supplied by Merck AG (Darmstadt, Germany). The active carbon (φ = 0.13 ~ 0.15 mm) and Varion AP anion exchange resin (φ = 1 ~ 1.25 mm) with 2, N-dimethyl pyridinium functional groups, were purchased from Jacobi Carbons, U.K and Nitrokémia Zrt, Hungary, respectively.
Apparatus
Three geometrically similar reactors with volumes of 3, 30, and 300 L were constructed to carry out scale-up experiments (Fig. 1-a and -b). The schematic layout of reactors and corresponding sizing parameters are presented in Figure. 1-c and Table 1. The reactors were equipped with 6-pitched blade turbines whose rotation speeds were controlled by inverter-driven electromotor for small and medium-size mixers, and multi-belt pulleys for the large ones.
Batch stirred tank reactors (A) 2 L and 3 L volumes, (B) 300 L volume, and (C) Schematic layout.
Methods
Adsorption of uranium ions using Varion AP resin was performed, mirroring the ion exchange process, while phenol absorption by active carbon was investigated as a case of surface adsorption. Please note that the relatively large particle size of resin and the low concentration of uranium, warrant governing a double mass transfer resistance in ion exchange experiments24. Moreover, Mathews and Weber demonstrated that double mass transfer resistance prevails in the adsorption of phenol from solution by active carbon of such size17.
Solution Preparation
A solution of uranium was prepared by charging 45 kg of powdered uranium ore and 200 L water into 300 L stirred tank reactor, along with 8 kg of sulfuric acid. Mineralogy and chemical analysis of the ore sample are given in Tables 2 and 3, respectively. Leaching lasted 6 h, and the reactor’s contents were left for 3 days to complete the reaction. Afterward, the liquor, containing 320 ppm uranium at pH ≈ 1, was filtered and diluted to 55 ppm before contacting with Varion AP anion exchange resin.
Kinetics experiments
Uranium absorption experiments were started by filling the reactors with the 55 ppm uranium leach liquor to 2/3 of their volumes and energizing the drives to begin the agitation. Then, a 2 g/L resin dosage was applied to all stirred solutions. Sampling was begun shortly after adding of the resin, and it was repeated in the pre-fixed periods until 4 h. The kinetic absorption tests for phenol were run in the same reactors and fashion but at the initial concentration of 100 ppm and active carbon dosage of 0.6 g/L. Ahead, the active carbon was pretreated by washing with distilled water and drying at 105 °C for 8 h.
Equilibrium experiments
Absorption of uranium was carried out by mixing 10 cm3 of the uranium leach liquor with 0.1 g Varion AP resin in clean polyethylene flasks and shaking them for 3 h before filtration. Additionally, for the “phenol + carbon” adsorption systems the polyethylene flasks were charged with 0.5 g active carbon, and 50 cm3 of phenol solutions of different concentrations and were shaken for 3 h at 25 °C.
Characterization
The supernatants collected from the ion exchange experiment were analyzed using inductively coupled plasma atomic emission spectrometry (ICP-AES, Perkin Elmer, Optima 2000 DV). Likewise, the concentration of phenol in supernatants obtained from the surface adsorption process was evaluated by UV-Vis spectrophotometry (Hewlett-Packard model: 8453).
Design of the dynamic absorption experiments
Two sets of the absorption experiments series were accomplished. In the first set, the impeller Reynold number was adjusted equal for all three reactors; while for the other second set, the power-to-volume ratio “ε = P/V” was taken identically as stated in Tables 4 and 5 (Additional information is provided in Tables S1, Table S2, Table S3 and Table S4). According to Eq. 5, equality of the impeller Reynold number is expressed as “ND2 = Idem”. The reason for selecting such particular numerical values for “Idem” was the availability of the particular sizes of the pulley drive for the large (i.e., 300 L) reactor. In the case of fixed power-to-volume ratio, the fact is, at the turbulent conditions that prevail in nearly all industrial agitated vessels, the power number is almost constant16:
Since the volumes of the geometrically similar reactors were proportionated to “D3”, and they worked with the same slurry (i.e., resin-solution mixture), then:
By specifying the “Idem” on the rightest side of Eq. 9, it is possible to determine those impeller speeds, which led to the same “ε = P/V” ratio (Tables 4 and 5).
Optimization procedure for process and equipment
In industrial chemistry, optimization algorithms often search for the design parameters of a given process that bring about the minimum capital and operational costs. Here, a stagewise experimental-computational optimization procedure for designing the batch-stirred tank reactors in the adsorption service is proposed. Ahead, the fixed, independent, and dependent parameters of the system are as follows: 1- Fixed: Volume of the liquid feed per day, initial concentration of feed, the demanded final concentration, working hours, and the number of shifts per day. 2- Independent: Adsorbent dosage, and revolution speed of the motor. 3- Dependent: Volume of the reactor. Optimization procedure consists of the following stages:
-
i.
Determine the acceptable range of the adsorbent dosage (mresin/Vliquid). The lower bound of the adsorbent dosage is the equilibrium dosage, for which the following mass balance holds:
where C0 and q0 denote initial values of the concentration and adsorbent loading, respectively; and Cf refers to the final concentration of the solution as a process requirement. The final loading of the adsorbent (qf) is correlated to the equilibrium concentration “Cf” through an adsorption isotherm (e.g. Freundlich). The upper bound of the adsorbent dosage is dictated by the hydrodynamic and process restrictions. For instance, in the RIP process of uranium and nickel, the upper limits of resin dosage have been reported: 180 g/L and 360 g/L, respectively25,26. For the gold RIP the dosage as low as 12 g/L have been used, but in the gold CIP the dosage has been chosen up to 60 g/L27,28,29. After specifying the lower and upper adsorbent dosages, arbitrary values of the dosage should be chosen between the minimum and maximum values.
-
ii.
Run a series of bench-scale absorption experiments at acceptable rotation speeds and the adsorbent dosage to achieve the process times for attaining the required final concentration (Cf). Acceptable rotation speeds are those, described in the example of Sect. ❝A practical procedure for scaling up the stirred adsorption reactor❞. Since at an equal “P/V” ratio, concentration histories (C(t)) of the bench and industrial scales become identical, the process time for the industrial reactor is indeed determined by this method (Figure S1).
-
iii.
Based on the “process time” mentioned above, evaluate the “Batch time” that includes: reactor loading time, “process time”, discharging time, and eventually washing time.
-
iv.
Estimate the number of batches in a day by dividing the production time (e.g., 8 h in 1 shift/day working plan or 24 h in 3 shift/day plan) by the batch time.
-
v.
Calculate the volume of the reactor vessel through dividing the volume of the liquid feed in the production time (e.g., 100 m3/8 h) by the number of batches at the same period. To take into account the required empty space of the reactors, the reactor volume obtained by this method shall be multiplied by the “1.05” or “1.1” factor30.
-
vi.
Evaluate the capital and operational costs for every reactor size and then find the optimum reactor design based on the minimum net present cost (i.e., NPC) (Figure S3).
The optimization algorithm mentioned above is demonstrated with an example in the supporting information file.
Results and discussion
Determination of the kinetics similitude
Successful application of the scale-up method essentially depends on finding appropriate similitudes that can satisfy Eq. 6, correlating a process in the laboratory scale to that of the industrial one. The kinetics data of uranium absorption by ion exchange resin and phenol by active carbon, at the identical (P/V) ratios and Reynolds numbers of the impellers, are cast into Figs. 2 and 3, respectively. According to the kinetic adsorption data, when the P/V ratio is identical, concentration histories of all reactors nearly overlay each other, and show a very close behavior. Meanwhile, equating the Reynolds numbers of the impellers causes divergent concentration curves, and differences in the adsorption kinetics, demonstrating that equality of the “P/V” ratio or “N3D2 = Idem” is a proper criterion for the kinetic similarity of the adsorption process (Figure S2).
Kinetic adsorption data at similar values of P/V; (a, b) Adsorption of uranium on Varion AP resin; (c, d) Adsorption of phenol on active carbon; ● 2 L, ⬛ 20 L, ▲ 200 L.
Kinetic adsorption data at similar values of Reynolds; (a, b) Adsorption of uranium on Varion AP resin; (c, d) Adsorption of phenol on active carbon; ● 2 L, ⬛ 20 L, ▲ 200 L.
The theoretical interpretation of the above behavior can be made by using Eqs. 3 and 4 and the schematic illustration of Fig. 4. Accordingly, with an identical “ε = P/V” ratio, the intensity of the micromixing (i.e., Kolmogorov’s Reynold number) as well as the mass transfer coefficient “k” are equal for all of the geometrically similar reactors. Besides, the initial concentration of the solute is equal in the bulk of the solution, for all reactors. Furthermore, at the onset of the absorption, resin particles are fresh and the initial loading of the solute is zero (i.e., q = 0). Therefore, the initial concentration of the solute in the liquid phase, at the vicinity of the resin surface (i.e., C|r=R) becomes zero, because the surface of the adsorbent and its contacting liquid is always at local equilibrium31. The equality of “k”, “CBulk” and “CSurface” at the initial time, results in an equal rate of mass transfer at such the moment for all sizes of the reactors:
where “a” denotes interfacial surface of the adsorbent particles per unit volume of the reactor.
Schematic view of an adsorbent particle, and the encircling liquid film around it.
Note that the intraparticle diffusivity of the solutes in the adsorbent beads is independent of the rate of agitation. Since the initial rate of adsorption at t = 0, as well as k, a, and intraparticle diffusivity are equal for all three reactors, the rate of adsorption will become equal for them at t=∆t, and in turn at t = 2∆t, and so on. Consequently, this trend will lead to the equivalence of the concentration histories at all times:
In this elucidation, it was implicitly assumed that all resin particles are completely suspended in the liquid, and no one is settled on the reactor bottom. This assumption implies that the rotation speeds of the impellers are above NJS or the required rotation speed for the off-bottom suspension. Below NJS, the mass transfer rate drastically decreases because a part of the resin surface becomes unavailable for the liquid phase10. At an equal “P/V” ratio, the impeller Reynold numbers of the reactors are not equal, resulting in different suspension levels in the three reactors. Nevertheless, this difference does not matter, because as long as liquid circulates freely between the resin particles (i.e., N > NJS), it is immaterial whether the resin beads get closer or farther to the liquid surface (Fig. 5). Note that in equal “P/V” ratio, the extent of micromixing and the rate of mass transfer are equal in all three reactors.
Status of liquid and particle circulation in the off-bottom suspension.
Mathematical verification of the kinetics similitude
The experimental kinetics data were modeled using the following set of equations-boundary conditions, strengthening the presented arguments and proving the equality of examined absorption systems in three reactors from the double-mass transfer resistance standpoint:
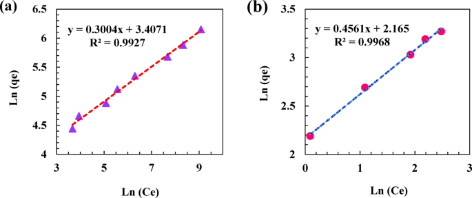
where q(r, t) denotes the spatial distribution of the absorption loading in the adsorbent particle, and qs(t) is the adsorption isotherm, which shows chemical equilibrium between liquid and solid phases at the resin surface32. As shown in Fig. 6, the equilibrium data of uranium and phenol are closely fitted by a Freundlich isotherm, using the qs=Kf CSn equation, where Kf and n coefficients as well as fitting parameter R2 are given in the insets. Using the “q (r, t)” function, one can calculate the average loading “\(\bar{q}\) (t)” of resins as:.
The external rate of the mass transfer is given by:
where “Cf” and “CS” are the bulk and surface concentrations of the liquid, respectively. The equation system 12–17 was solved by the finite difference method, using a Crank-Nicolson scheme.
The solution procedure involved evaluating various pairs of “DS” and “k” in the discretized equations until the best fit to the experimental data was achieved, as determined by the coefficient of determination (R²).
Parameters and linear fittings of Freundlich isotherm for: (a) Adsorption of phenol on active carbon (b) Adsorption of uranium onto Varion AP Anion Exchange Resin.
The results of fitting the experimental data with the above-mentioned model are depicted in Figure S4. The optimum pairs of “DS” and “k”, obtained from the fitting were tabulated in Tables 4 and 5. In the case of uranium adsorption by resin, the principal mass transfer resistance appears to be intraparticle diffusion, which manifests itself by the negligibility of the “DS” parameter. For the adsorption of phenol, both intraparticle and liquid phase resistances play roles, and their contribution to the total resistance is somewhat balanced. Moreover, from Tables 4 and 5 it can be concluded that the “P/V” is a reliable scale-up basis; because the “P/V = Idem” results in matched “DS” and “k” parameters in all reactors, while at “Reimp= Idem” the data of different reactors becomes inconsistent. Assuming that the rate of film mass transfer is given by Eq. 4, therefore17:
The above proportionality is applicable with a reasonable accuracy among the mass transfer coefficients of Table 4 and demonstrates the validity of Eqs. 3 and 4. In other words, it shows that the liquid film mass transfer coefficient is a mere function of the power-to-volume ratio (i.e., k = f (P/V)). The overall mass transfer resistance according to the Whitman two-film theory is a summation of independent intraparticle resistance, and liquid film resistance that is a function of “P/V”. Thus, overall mass transfer resistance and absorption kinetics depends on “P/V”.
A practical procedure for scaling up the stirred adsorption reactor
Experimental evidence and models of the last sections revealed the similarity of absorption kinetics in stirred-reactor as Eq. 19, or its following alternative:
But according to Eq. 9, when the bench and industrial scale reactors are working with the same slurry (i.e., same mresin/Vliquid ratio), the left side of above equation shall be written as:
An implicit assumption that was considered in Eq. 21 is: both small and large reactors are working above their just-suspended speeds, in other words:
According to Zwietering Eq. 6, the just-suspended speed for the reactors that work with the same solid-liquid mixture is scaled as:
The discrepancy between Eqs. 21 and 23 and the obligation to meet Eq. 22 motivated us to follow a special procedure for the “scale-up-based” design, which is demonstrated with an example in the supporting information file.
Conclusion
In summary, the current study presents a reliable method for the optimum design of an industrial BSTR for the absorption process, by conducting a few bench experiments, scaling up the obtained results by similarity equations, and comparing the total costs of different alternatives. Initially, to find a rule for the kinetics similarity of the adsorption process, in systems with a double “film- intraparticle” mass transfer resistance, the absorption experiments are carried out in three geometrically similar reactors. The following conditions are suggested as a scale-up rule for the absorption process:
This work also introduces a procedural method comprising experimental and computational steps to systematically approach the optimum design among the aforementioned cases. The obtained kinetics data are translated (i.e., scaled up) into the design parameters of the large-scale industrial reactor, including the reactor size, the number of batches in 24 h, the dosage of the adsorbent, and eventually RPM of the mixer. Then, for each alternative, capital and operating costs are calculated, and the final decision is made based on the net present values of different schemes. Comparison between this optimization procedure and similar analyses used for the continuous adsorption process (in CSTR) reveals that single-stage adsorption in large reactors brings about the highest total cost in both BSTR and CSTR. This finding contrasts many chemical engineering processes (e.g., suspension polymerization of PVC), for which the total costs become minimum for a single reactor.
Data availability
The data supporting this study are available when reasonably requested from the corresponding author (MHZ).
References
Jellali, S. et al. Novel calcium-rich Biochar synthesis and application for phosphorus and amoxicillin removal from synthetic and urban wastewater: Batch, columns, and continuous stirring tank reactors investigations. J. Water Process. Eng. 58, 104818 (2024).
McGinley, J. et al. Batch adsorption of herbicides from aqueous solution onto diverse reusable materials and granulated activated carbon. J. Environ. Manage. 323, 116102 (2022).
Bayrac, C., Yilmaz, B. & Bayrakci, M. Adsorption behavior of carboxy-and amine-terminated magnetic beads for patulin: batch experiments in aqueous solution and Apple juice. Food Res. Int. 162, 112077 (2022).
Msumange, D. A. et al. Recovery of Au and ag from the roasted Calcine of a copper-rich pyritic refractory gold ore using ion exchange resins. Miner. Eng. 195, 108017 (2023).
Iwuozor, K. O. et al. Adsorption technology in the sugar industry: current status and future perspectives. Sugar Tech. 25 (5), 1005–1013 (2023).
Abdulkareem, A. S. et al. Isotherm, kinetics, thermodynamics and mechanism of metal ions adsorption from electroplating wastewater using treated and functionalized carbon nanotubes. J. Environ. Chem. Eng. 11 (1), 109180 (2023).
Lamberti, C. et al. Characterization of isolated ag cations in homoionic ag-Y zeolites: A combined anomalous XRPD and EXAFS study. Nucl. Instrum. Methods Phys. Res., Sect. B. 200, p155–159 (2003).
Rodarte-Morales, A. et al. Biotransformation of three pharmaceutical active compounds by the fungus phanerochaete Chrysosporium in a fed batch stirred reactor under air and oxygen supply. Biodegradation 23, 145–156 (2012).
Seader, J. & Henley, E. Adsorption, Ion exchange, and chromatography, in Separation Process Principlesp. 568–570 (Wiley, 2006).
Nienow, A. The Mixer as a Reactor: liquid/solid systems, in Mixing in the Process Industriesp. 394–411 (Elsevier, 1992).
Outokesh, M. et al. Modeling and process design of intraparticle adsorption in single-stage and multistage continuous stirred reactors: an analytical kinetics approach. Ind. Eng. Chem. Res. 53 (1), 305–315 (2014).
Corbett, B. & Mhaskar, P. Subspace identification for data-driven modeling and quality control of batch processes. AIChE J. 62 (5), 1581–1601 (2016).
Gouws, J. F. et al. Water minimization techniques for batch processes. Ind. Eng. Chem. Res. 49 (19), 8877–8893 (2010).
Woollacott, L. & Afewu, K. Scale-up procedures for gold-adsorption systems. Part 1: adsorption kinetics. J. South Afr. Inst. Min. Metall. 95 (4), 167–177 (1995).
Samant, K. D. & Ng, K. M. Development of liquid-phase agitated reactors: Synthesis, simulation, and scaleup. AIChE J. 45 (11), 2371–2391 (1999).
Couper, J. R. Chemical Process Equipment: Selection and Design (Gulf professional publishing, 2005).
Mathews, A. & Weber, A. Jr Modeling and parameter evaluation for adsorption in slurry reactors. Chem. Eng. Commun. 25 (1–6), 157–171 (1984).
Cheng, D. et al. Experimental study on gas–liquid–liquid macro-mixing in a stirred tank. Chem. Eng. Sci. 75, 256–266 (2012).
Tamburini, A. et al. Dense solid–liquid off-bottom suspension dynamics: simulation and experiment. Chem. Eng. Res. Des. 87 (4), 587–597 (2009).
Tamburini, A. et al. CFD simulations of dense solid–liquid suspensions in baffled stirred tanks: prediction of suspension curves. Chem. Eng. J. 178, 324–341 (2011).
Brucato, A. & Brucato, V. Unsuspended mass of solid particles in stirred tanks. Can. J. Chem. Eng. 76 (3), 420–427 (1998).
Brandani, S. Kinetics of liquid phase batch adsorption experiments. Adsorption 27 (3), 353–368 (2021).
Al-Sheikh, F. et al. Batch adsorption study of ammonia removal from synthetic/real wastewater using ion exchange resins and zeolites. Sep. Sci. Technol. 56 (3), 462–473 (2021).
Barton, C. S. et al. Performance of three resin-based materials for treating uranium-contaminated groundwater within a PRB. J. Hazard. Mater. 116 (3), 191–204 (2004).
Mirjalili, K. & Roshani, M. Resin-in-pulp method for uranium recovery from leached pulp of low grade uranium ore. Hydrometallurgy 85 (2–4), 103–109 (2007).
Cloete, F. The relix process for the resin-in-pulp recovery of uranium. J. South Afr. Inst. Min. Metall. 81 (3), 68–73 (1981).
Fleming, C. & Cromberge, G. Small-scale pilot-plant tests on the resin-in-pulp extraction of gold from cyanide media. J. South Afr. Inst. Min. Metall. 84 (11), 369–378 (1984).
Cortina, J. L. et al. Kinetics of goldcyanide extraction using ion-exchange resins containing piperazine functionality. Reactive Funct. Polym. 54 (1–3), 25–35 (2003).
Cho, E. H., Dixon, S. N. & Pitt, C. H. The kinetics of gold cyanide adsorption on activated charcoal. Metall. Trans. B. 10, 185–189 (1979).
Naderi, A. et al. Analytical and semi-analytical kinetics models for design and optimization of double‐resistance resin in pulp and carbon in pulp processes with both reversible and irreversible nature. Can. J. Chem. Eng. 96 (11), 2461–2474 (2018).
Whitman, W. G. The two film theory of gas absorption. Int. J. Heat Mass Transf. 5 (5), 429–433 (1962).
Isiuku, B. O., Okonkwo, P. C. & Emeagwara, C. D. Batch adsorption isotherm models applied in single and multicomponent adsorption systems–a review. J. Dispers. Sci. Technol. 42 (12), 1879–1897 (2021).
Funding
The authors have not disclosed any funding.
Author information
Authors and Affiliations
Contributions
Mohammad Hasan Sadeghi: Conceptualization, Formal analysis, Investigation, Writing - Original Draft, Visualization.Ali Naderi: Conceptualization, Validation, Data Curation. Ali Hashemi-Owlya: Software, Data Curation. Mohammad Outokesh: Methodology, Writing - Review & Editing, Supervision, Project administration. Davood Ghoddocynejad: Resources, Validation, Writing - Review & Editing. Masoud Habibi Zare: Conceptualization, Formal analysis, Investigation, Writing - Original Draft, Visualization.
Corresponding authors
Ethics declarations
Competing interests
The authors declare no competing interests.
Ethical approval
This is not applicable in this article.
Additional information
Publisher’s note
Springer Nature remains neutral with regard to jurisdictional claims in published maps and institutional affiliations.
Supplementary Information
Below is the link to the electronic supplementary material.
Rights and permissions
Open Access This article is licensed under a Creative Commons Attribution-NonCommercial-NoDerivatives 4.0 International License, which permits any non-commercial use, sharing, distribution and reproduction in any medium or format, as long as you give appropriate credit to the original author(s) and the source, provide a link to the Creative Commons licence, and indicate if you modified the licensed material. You do not have permission under this licence to share adapted material derived from this article or parts of it. The images or other third party material in this article are included in the article’s Creative Commons licence, unless indicated otherwise in a credit line to the material. If material is not included in the article’s Creative Commons licence and your intended use is not permitted by statutory regulation or exceeds the permitted use, you will need to obtain permission directly from the copyright holder. To view a copy of this licence, visit http://creativecommons.org/licenses/by-nc-nd/4.0/.
About this article
Cite this article
Sadeghi, M.H., Naderi, A., Hashemi-Owlya, A. et al. Kinetic similarity as a scaling strategy for batch adsorption reactors to ensure efficient decolorization of sugar syrup on a larger scale. Sci Rep 15, 38350 (2025). https://doi.org/10.1038/s41598-025-22163-3
Received:
Accepted:
Published:
Version of record:
DOI: https://doi.org/10.1038/s41598-025-22163-3









