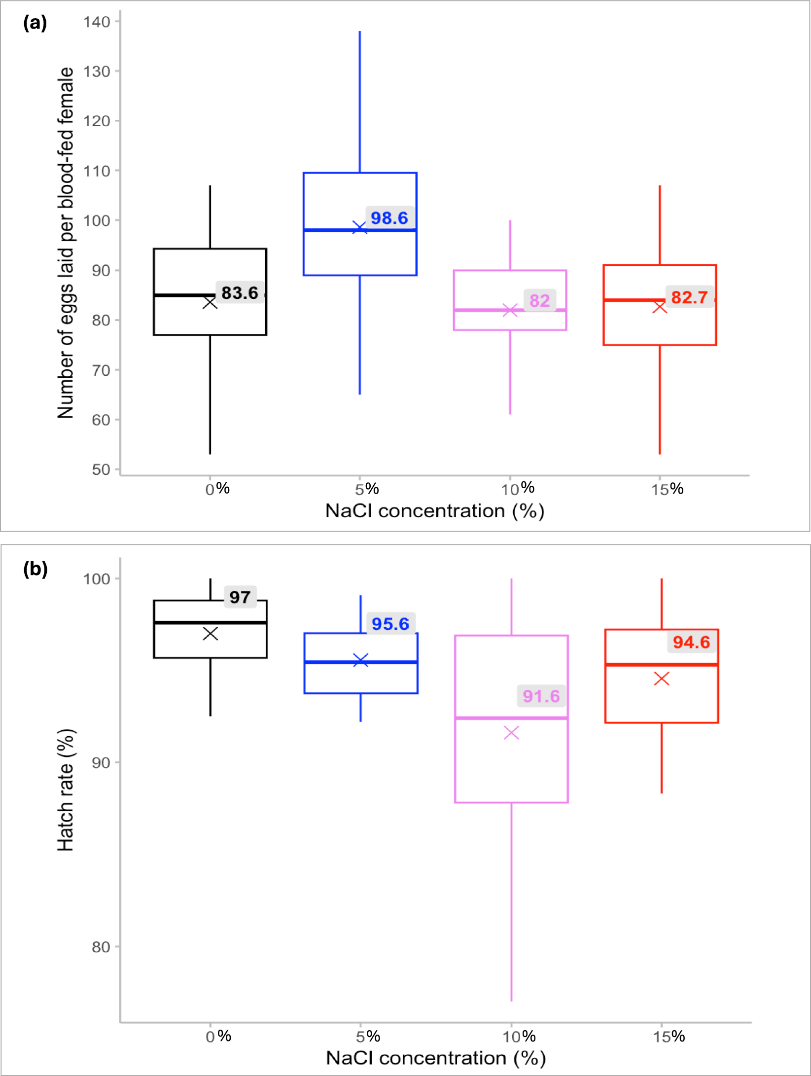
Fig. 4

Effects of one-hour NaCl treatment (0%, 5%, 10% and 15%) on fecundity of female mosquitoes that emerged from treated pupae: (a) Number of eggs laid per blood-fed female, and (b) egg hatch rates. Boxplots depict the median (thick horizontal bars), interquartile range (upper and lower box limits), and the mean value (marked ‘x’) for all replicates. Vertical lines extend to the minimum and maximum values within each box. Data were obtained from 18, 18, 17, and 16 individual female mosquitoes for 0%, 5%, 10%, and 15% NaCl treatments, respectively.