Abstract
Accurate separation of sexes is pivotal for the success of Sterile Insect Technique (SIT) and Incompatible Insect Technique (IIT) mosquito control programmes. We present a novel approach utilising a 15% sodium chloride (NaCl) treatment coupled with an automated mechanical separation system to significantly reduce female contamination among released males. Our findings not only demonstrated a 30-fold reduction in female contamination rates but also offer insights into the effects of salinity on mosquito larvae and pupae. This integrated strategy enhances the efficiency of large-scale mosquito production for disease control programmes.
Similar content being viewed by others
Introduction
Mosquito-borne diseases present significant global public health challenges, underscoring the need for effective control strategies. Recent advances in mosquito control have embraced Sterile Insect Technique (SIT)1,2,3 and Incompatible Insect Technique (IIT)4,5, particularly in regions grappling with vector-borne diseases. The success of both strategies hinges on precise male and female mosquito separation to ensure the efficacy of population suppression. SIT involves releasing irradiated sterile male mosquitoes, ensuring that wild-type females yield no viable offspring upon mating. Similarly, IIT relies on releasing male mosquitoes infected with Wolbachia, a bacterium inducing cytoplasmic incompatibility that leads to non-viable offspring when mated with uninfected wild-type females or those infected with a different Wolbachia strain. These species-specific approaches provide environmentally friendly and effective means for population suppression6,7. Robust sex separation systems are crucial for both strategies to minimise unintended female releases, which could jeopardise programme success. Unintentional female releases may lead to heightened biting pressure and pose risks of disease transmission or the establishment of Wolbachia-infected populations in the field8,9. Establishment of Wolbachia-infected populations in the field would compromise cytoplasmic incompatibility, rendering subsequent male releases ineffective against the established population in the wild. Additionally, it complicates surveillance and monitoring of the programme success as additional efforts are required to distinguish between wild and released mosquito populations. Ultimately, it undermines suppression-based control programs.
In Project Wolbachia – Singapore, we explore a combined SIT-IIT approach. By applying low-dose irradiation, we aim to sterilise unintended females while preserving the Wolbachia-infected males’ effectiveness against wild-type Aedes aegypti field populations10. However, a significant contamination of females could increase the risk of Wolbachia-infected population in the field, and could also undermine public acceptance and programme success11,12. Therefore, achieving a sex separation with minimal female contamination is paramount.
Traditionally, sex separation method relies on size differences between male (smaller) and female (larger) pupae. However, existing methods such the Fay-Morlan (FM) sorter13 or its variants, such as the Vienna Pupae Sex Separator14 are labour-intensive, require skilled operators, and prone to high female contamination rates (5.0% to 28.0%)15,16. To address this, we developed a fully automated Pupae Separation System (PSS) (Orinno Technology Pte Ltd, Singapore)17, employing two-tiered mechanical sieving. During the initial testing of the PSS, an average residual female contamination of 3.6% (± 2.7%, s.d.) was observed among the cohort of male pupae. There were larvae sorted among the male cohort, that could be the cause of the above female contamination rates18. This necessitated subsequent sorting of the PSS-sorted male cohorts through the Fay-Morlan (FM) sorter to reduce the female contamination. While recent automation developments based on the FM sorter have demonstrated significant improvements in the female contamination rates of 0.1% to 1.0%19,20, the presence of a significant number of larvae remains a challenge, hindering sorting efficiency by occupying crucial separation surface area.
To overcome these challenges, our study explores a simple larvicidal treatment approach, utilising common table salt (NaCl) due to its low cost, ready availability, and low toxicity. This study aims to investigate the contribution of fourth instar larvae to female contamination post PSS-sorting and to demonstrate the effectiveness of NaCl treatment in reducing female contamination and enhancing the efficiency of the automated PSS. Our results contribute to the development of a novel, low-cost sex sorting process that achieves high throughput and minimal female contamination, with little negative effects on the fitness of male mosquitoes.
Results
Larvae mortality after 1-h NaCl treatment
All NaCl treatments were tested with three biological replicates, each comprising three technical replicates of 100 larvae each. As the replicates showed consistent outcomes, the data on larvae mortality was pooled for analysis. Among the tested NaCl concentrations, 15% (w/v) NaCl demonstrated the highest larvae mortality within one hour. Similar to the 0% NaCl control treatment, 5% NaCl solution resulted in less than 30% final larvae mortality. Treatment with 10% and 15% NaCl solutions achieved final larvae mortality of 95.6% (± 2.5%, s.d.) and 99.7% (± 0.5%, s.d.), respectively (Fig. 1a). Timelapse video revealed that larvae exposed to 15% NaCl began showing signs of death within the one hour of exposure (Supplementary Video 1). On day 1, the 15% NaCl solution achieved remarkable efficacy, resulting in a larval mortality of 98.4% (± 1.3%, s.d.). In contrast, the 10% NaCl solution displayed varied effects, yielding a mortality rate of up to 77.8% (± 19.4%, s.d.), with surviving larvae undergoing pupation within the next 24 h.
Effects of one-hour NaCl treatment (0%, 5%, 10%, 15%) on larvae and pupae: (a) cumulative larval mortality, (b) Representative close-up dorsal view of the untreated larvae and 5%, 10%, and 15% NaCl-treated larvae immediately after one-hour NaCl treatment. (i) Anal papillae comparison: Untreated larvae exhibited clear anal papillae with well-defined trachea and tracheoles. In contrast, larvae treated with increasing salt concentrations showed progressively darker anal papillae (green arrows), with trachea (red arrows) and tracheoles (yellow arrows) becoming increasingly less discernible (bi). (ii) Body length comparison: 15% NaCl-treated larvae also showed body length reduction compared to untreated larvae, with similar but less pronounced shrinkage observed in the lower salt concentrations (5%, 10%). (c) cumulative pupal mortality, and (d) cumulative adult emergence. Day 1 refers to the initiation of NaCl treatment. For (a), (c), and (d), data are shown as mean ± standard deviation (s.d.) for each NaCl concentration, with error bars denoting s.d.. Mortality and emergence rates were aggregated for analysis (n = 900 from three biological replicates, each with three technical replicates for each NaCl concentration).
Microscopic examination revealed morphological changes in larvae exposed to NaCl treatment (Fig. 1b). In the untreated larvae, the anal papillae appeared to be normal with clearly visible, distinct trachea and tracheoles (Fig. 1bi). As larvae were exposed to increasing salt concentrations, the anal papillae progressively darkened in colour, and trachea and tracheoles within the anal papillae were observed to be increasingly less discernible (Fig. 1bi). 15% NaCl-treated larva exhibited a reduced body length (“shrinkage”) compared to the untreated larvae, with similar length reduction observed in the lower salt concentrations (5%, 10%). Among all treatments, the 15% NaCl-treated larva was the shortest, while the untreated larva was the longest (Fig. 1bii). These morphological changes were consistently observed in all examined larvae (n = 10 per treatment), indicating a marked physiological response to the high salinity environment.
Pupae mortality and adult emergence
The technical replicates in each experiment round showed similar pupae mortality and adult emergence, suggesting consistent outcomes (Fig. 1c, Fig. 1d, Supplementary Tables 1, 2). Kruskal–Wallis test conducted with pooled data showed that NaCl treatment causes minimal effect on pupae mortality (1.6–3.7%) compared to the control (1.7%) (Kruskal–Wallis, χ2 = 0.791, df = 3, p = 0.852).
Similarly, adult emergence rates on day 3 were comparable across all NaCl treatments (93.2–95.4%) and the control (95.9%) (Kruskal–Wallis, χ2 = 0.221, df = 3, p = 0.974) (Supplementary Table 3).
Adult longevity and flight ability
Adult male mosquitoes emerged from pupae subjected to all NaCl treatments demonstrated the same median survival time of six days (Fig. 2a). However, significant differences in survival curves were observed among treatments (log-rank test, χ2 = 85.6, df = 3, p < 0.001), with mosquitoes treated with 15% NaCl showing a decline in survivability on day 5. Pairwise comparisons with Bonferroni corrections suggested statistical differences among all pairwise combinations, except for 0% NaCl (n = 1018) with 5% NaCl (n = 1017) (p = 0.070), and 5% NaCl (n = 1017) with 10% NaCl (n = 1083) (p = 1.00).
Kaplan–Meier curves of adult mosquitoes emerged from pupae subjected to NaCl treatments: (a) Male adults emerged from pupae subjected to one-hour NaCl treatment (0%, 5%, 10%, 15%). Total number of individuals per treatment group was as follows: 0% NaCl (n = 1018), 5% NaCl (n = 1017), 10% NaCl (n = 1083), 15% NaCl (n = 991). (b) Female adults emerged from pupae subjected to one-hour NaCl treatment (0%, 5%, 10%, 15%). Total number of individuals per treatment group was as follows: 0% NaCl (n = 320), 5% NaCl (n = 373), 10% NaCl (n = 316), 15% NaCl (n = 334).
Adult female mosquitoes emerged from pupae subjected to all NaCl treatments shared the same median survival time of five days (Fig. 2b). No statistically significant differences were observed among treatments (log-rank test, χ2 = 1.49, df = 3, p = 0.684), indicating that NaCl treatment had minimal effect on survivability of female pupae.
The Shapiro–Wilk test revealed a normally distributed data (p > 0.05 ) for all treatment groups in the flight ability assays. Levene’s test (F3,32 = 1.90, p = 0.149) suggested homogeneity of variances. Consequently, ANOVA was used to analyse the effect of NaCl treatment on flight ability. NaCl treatment on pupae had minimal effect on the flight ability of surviving adult male mosquitoes (Fig. 3). No statistically significant difference was observed in escape rates across all NaCl treatments (ANOVA, F3,32 = 0.565, p = 0.642, Fig. 3).
Effects of 1-hour NaCl treatment (0%, 5%, 10% and 15%) on escape rates of male mosquitoes that emerged from treated pupae, as observed in the Flight Test Device over a 2-h period. Boxplots depict the median (thick horizontal bars), interquartile range (upper and lower box limits), and average escape rate (marked ‘x’) for all replicates. Vertical lines extend to the minimum and maximum values within each box. Escape rates were measured in three biological replicates (n = 3), with each biological replicate consisting of three technical replicates of 100–120 individuals each.
Female fecundity
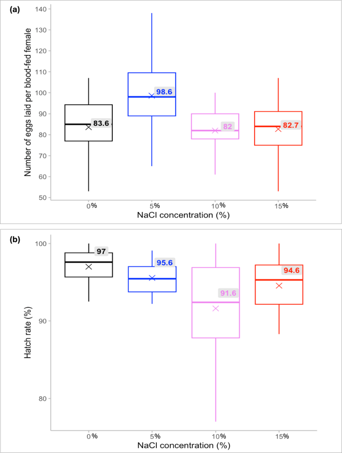
Both egg count and egg hatch rates data met the assumption of normality (Shapiro–Wilk test, W = 0.987, p = 0.654) but not homogeneity of variances (Levene’s test, W = 0.962, p = 0.035). A Kruskal–Wallis test showed that NaCl treatment had a statistically significant effect on the fecundity of females emerged from salt-treated pupae (χ2 = 13.605, df = 3, p = 0.0035). Post-hoc Dunn’s test with Bonferroni corrections revealed that females emerged from 5% NaCl-treated pupae (98.6 eggs per blood-fed females) laid significantly more eggs than those from all other NaCl concentrations (5% vs. 10%, p = 0.028; 5% vs. 10%, p = 0.014; 5% vs. 15%, p = 0.014) (Fig. 4a).
Effects of one-hour NaCl treatment (0%, 5%, 10% and 15%) on fecundity of female mosquitoes that emerged from treated pupae: (a) Number of eggs laid per blood-fed female, and (b) egg hatch rates. Boxplots depict the median (thick horizontal bars), interquartile range (upper and lower box limits), and the mean value (marked ‘x’) for all replicates. Vertical lines extend to the minimum and maximum values within each box. Data were obtained from 18, 18, 17, and 16 individual female mosquitoes for 0%, 5%, 10%, and 15% NaCl treatments, respectively.
Similarly, hatch rates were significantly different across all NaCl treatments (Kruskal–Wallis, χ2 = 10.1, df = 3, p = 0.0018). However, Dunn’s post-hoc test with Bonferroni corrections subsequently revealed that only egg hatch rates from 10% NaCl-treated females were significantly different from those from the control group (0% NaCl) (p = 0.011) (Fig. 4b). No significant differences were observed in other pairwise comparisons.
A large proportion of fourth instar larvae sorted with the male pupae developed into females
Without NaCl treatment, 23.0% (± 12.8%, s.d.) of the sampled male pupae/larvae after PSS-sorting emerged as adult females. Amongst the larvae sorted along with the male pupae, 70.2% (± 28.9%, s.d.) developed into females, 28.5% (± 29.1%, s.d.) remained as larvae after three days, and only 1.3% (± 0.6%, s.d.) developed into males. In contrast, 15% NaCl treatment effectively reduced the proportion of females among the male pupae to 0.1% (± 0.1%, s.d.), by eliminating all larvae.
Effectiveness of 15% NaCl treatment in reducing female contamination rate among the sorted male pupae
When examining only pupae (no larvae) from the male cohort after PSS-sorting, the 15% NaCl treated group achieved a consistently low average female contamination rate of 0.1% (± 0.1%, s.d.) which is 30 times lower than that of the control 0% NaCl treatment (3.6 ± 2.7%, s.d.). This demonstrates the treatment’s effectiveness in both eliminating larvae and reducing overall female contamination. However, ANOVA revealed that the NaCl treatment effect was not statistically significant (F1,4 = 4.83, p = 0.093).
Discussion
Our study introduces a strategy combining 15% NaCl treatment with an automated mechanical separation system to optimise sex separation in SIT and IIT. The results indicated a substantial reduction in female contamination in the male cohort for releases, underscoring the practicality of this two-step protocol. While alternative sorting methods exist, such as the automated Fay-Morlan sex sorter1,21 and sieving methods by Verily22 and others14,16,23, they may still result in relatively high female contamination rates15,16. Although recent studies reported female contamination rates below 1%20,24, these improvements typically require skilled personnel. In contrast, our two-step protocol is simple, cost-effective, and reduces reliance on staff expertise.
The current study confirms that fourth instar larvae with similar cephalothorax width as male pupae were the main source of female contamination among the male pupae cohort. This has likely contributed to the average residual female contamination of 23.0% (± 12.8%, s.d.) after PSS sex-sorting. The introduction of 15% NaCl treatment prior to sex separation induces high larval mortality, effectively eliminating unwanted larvae. Consequently, we observed a consistent female contamination rate of 0.1% (± 0.1%, s.d.).
We hypothesise that this substantial improvement is attributed to the combined mortality effect of larvae and newly formed pupae. While NaCl treatment affects both male and female newly formed pupae, the impact on male pupae yield is negligible in large-scale production settings. The advantage of the NaCl treatment thus extends beyond larval removal, potentially addressing two additional issues during the sorting process: mitigating the sorting of late fourth instar larvae into the male pupae portion and preventing the passage of newly formed female pupae with unhardened cuticles through the sorting systems.
In addition to reducing female contamination, the efficiency of sex separation is crucial for large-scale mosquito production. For mechanical sex separation systems that rely on mechanical sieving mechanisms, such as our automated PSS, the presence of a large number of fourth instar larvae could significantly compromise sorting efficiency by obstructing the effective area available for sorting. Our study proposes a practical solution—a two-step protocol incorporating 15% NaCl treatment and vertical separation of pupae and dead larvae in fresh water prior to sorting. The vertical separation method exploits the negative phototaxis of pupae and the differential buoyancy of live pupae and dead larvae. By strategically introducing a light source at the bottom of the container, we induce a directional migration of viable pupae away from the light and the sunken dead larvae, allowing for efficient collection using a fine-mesh net for subsequent sex separation. This innovative approach has achieved a 40% enhancement in sex separation process efficiency, reducing the time required to sort approximately 480,000 larvae and pupae from 220 to 132 min. In large-scale operation, NaCl treatment is run in parallel with sorting. Once the first batch of larvae and pupae completes its one-hour NaCl treatment, it is sorted using the PSS while the second batch undergoes NaCl treatment. This overlap continues for subsequent batches, allowing the one-hour NaCl treatment to be integrated without linearly increasing total processing time.
Our findings on the effects of salinity on larvae agrees with previous research indicating that mosquito larvae regulate chloride concentration through anal papillae25,26,27,28. Exposure to higher salt concentrations led to observable morphological changes, reflecting the osmoregulatory challenges faced by freshwater-reared larvae and supporting the efficacy of NaCl treatment in inducing larval mortality. The minimal impact on male pupae mortality and emergence rates align with Ekechukwu and Ekeh’s study29, suggesting that the pupal cuticle may provide protection against salinity. However, Mukhopadhyay et al.30 observed high pupae mortality at 1.50% NaCl concentration, indicating that salinity effects may vary depending on concentration and specific experimental conditions.
Although median survival was similar across the treatment groups, the observed decrease in adult male longevity following 15% NaCl treatment warrants further investigation. In SIT and IIT vector control programmes, this reduction in male longevity could potentially affect program efficacy. Our laboratory results showed a median survival time of six days for salt-treated males. While previous Mark-Release-Recapture (MRR) studies10 established a median survival time of four days for untreated males under field conditions, specific field studies with salt-treated males would be needed to confirm their survival patterns. Based on our laboratory findings, the current bi-weekly release strategy employed in Project Wolbachia—Singapore may help address potential concerns regarding reduced mating opportunities. Additionally, our laboratory observations suggest that adjustments to rearing conditions, such as providing 20% sugar prior to release, can compensate for the reduction in survival probability (unpublished data). However, understanding the underlying reasons for decreased survival probability and confirming field performance remain areas for future research.
Further investigation into female reproductive capacity suggested modest effects of pupal salt exposure on adult female fitness, despite similar median survival observed across all salt concentrations in adult female longevity. Statistical analysis revealed that females emerged from pupae treated with 5% NaCl produced significantly more eggs compared to all other salt concentrations, while egg hatch rates were only significantly reduced in the 10% NaCl treatment compared to the control group. In our mosquito production facility, female pupae that have undergone NaCl treatment and PSS-sorting processes are routinely used for egg production, indicating retained reproductive capacity. This suggests that while NaCl treatment effects are detectable in our study, they do not significantly compromise the operational viability of our protocol. Nevertheless, a more comprehensive understanding of how NaCl treatment affects female pupae development and reproductive potential would be valuable.
The 10% NaCl treatment yielded unexpected outcomes, revealing a non-linear relationship between NaCl concentration and its effects across different mosquito life stages. This non-linear relationship was also observed in the reproductive parameters, where the NaCl treatment effect on female’s egg production and egg hatch rates did not show a direct proportional relationship with increasing salt concentrations. Additionally, this study highlighted several other areas for further inquiry. Future research could also examine the mechanisms underlying these concentration-dependent responses, particularly the non-linear effects seen with different NaCl concentrations, as well as investigate how introducing NaCl at different mosquito life stages could lead to varying developmental and fitness outcomes.
Finally, while higher NaCl concentration solutions, such as 20% were considered, limitations related to the saturation equilibrium of NaCl in water rendered them impractical. The study further highlights the need for careful consideration of NaCl concentrations in achieving optimal effects without compromising practical implementation. On this note, the use of NaCl treatment in large-scale mosquito production facilities may present logistical challenges and waste disposal concerns. In our facility, a 40-L volume of 15% NaCl solution can treat approximately 250,000 larvae and pupae in a container with a surface area of 1.14 m2 (1.20 × 0.95 m). To reduce wastage and practice resource efficiency, the NaCl solution is reused at least nine times through post-treatment salinity monitoring and adjustment by the addition of salt to maintain the 15% salinity. Programmes looking to integrate NaCl treatment into their production process should comply with local regulations and minimise environmental impact, by conducting comprehensive environmental risk assessments and implementing appropriate wastewater management systems prior discharge. An additional operational concern is the corrosive nature of the NaCl solution, particularly towards metal equipment commonly used in mass-rearing facilities. Whenever possible, direct contact between the NaCl solution and the metal equipment should be minimised or completely avoided. To maintain equipment integrity and reduce maintenance costs, rearing facilities should consider using corrosion-resistant materials such as aluminium or high-grade stainless steel for equipment routinely exposed to the NaCl solution. This will help ensure the sustainability of mosquito mass-rearing operations when incorporating the NaCl-treatment protocol.
Despite the improved sex sorting with the use of NaCl treatment, achieving a 100% male cohort is still challenging. Therefore, some IIT programmes employ low-dose irradiation to sterilise residual females among the male cohort, while maintaining a low fitness cost to the male mosquitoes31,32,33,34,35. While the current study demonstrated little negative effects of using NaCl treatment in the mass production of male mosquitoes, the combined effects of NaCl treatment and irradiation on male mosquito fitness were not explicitly investigated in this study. However, routine quality checks indicate that released male mosquitoes which underwent NaCl treatment, PSS-sorting and irradiation at the pupal stage maintain high fitness levels. Consequently, these males used in Project Wolbachia—Singapore has successfully suppressed vector population and dengue cases in the release sites10,34,35.
Methods
Experimental design
This study used the Wolbachia-infected Ae. aegypti strain (wAlbB-Sg), generated through the crossing of the wAlbB-Ae. aegypti strain from Michigan State University, USA, with Singapore wild-type Aedes aegypti. NaCl treatments (0%, 5%, 10%, 15% w/v) were applied to larvae and pupae for 1 h. Pupae and larvae obtained at the end of the mosquito rearing cycle (day 6) were separated into larvae, male pupae, and female pupae using two mechanical separation methods. Larvae, pupae and adult mosquito fitness, in terms of mortality, emergence, longevity and flight ability, were measured to assess the effects of NaCl treatment. Experiments were conducted in triplicates for each condition, and each experiment was repeated three times. Controlled environmental conditions, including a temperature of 27.5 ± 1.0°C and relative humidity of 75.0 ± 10.0%, were maintained, unless otherwise specified.
Mass rearing of wAlbB-Sg Aedes aegypti
Approximately 60,000 eggs were hatched in three litres of hatching broth [1.071 g Nutrient Broth (Oxoid Limited), 0.213 g Brewer’s Yeast (MP Biomedicals) in 3 L of reverse osmosis (RO) water]. Larvae were quantified using a Larvae Dispensing System (Orinno Technology Pte Ltd, Singapore) and reared using the High-Density Rearing Rack (HDRR) (Orinno Technology Pte Ltd, Singapore) (Supplementary Fig. 1a and b). The larvae rearing cycle spanned 6 days, during which larvae were fed TetraMin Tropical Flakes (Tetra) according to the specified amounts: 0.58 g (day 1), 0.46 g (day 3), 0.46 g (day 4) and 0.79 g (day 5) per 12,000 larvae per tray. All rearing were conducted in an environmentally controlled room at a temperature of 29.0 ± 1.0 °C and relative humidity of 80.0 ± 10.0%. Average water temperature was monitored periodically to be maintained at about 26.7 ± 0.5 °C.
Mechanical separation of pupae and larvae
Pupae and larvae collected on day 6 were sorted using both the FM sorter (Wolbaki, China)13 and the automated PSS (Orinno Technology Pte Ltd, Singapore; Supplementary Fig. 1c) in an air-conditioned room (24.0 ± 1.0 °C). The FM sorter segregated male pupae from larvae and female pupae through size-based sexual dimorphism. Comprising a pair of inclined glass plates, this sorting mechanism relies on the controlled manipulation of inter-plate distance using knobs to achieve effective separation.
The automated PSS integrates fluid dynamics and entomological principles to facilitate the automated sorting of male and female mosquito pupae. It leverages behaviour like the negative-phototaxis response of pupae to light for the purpose of sorting male and female pupae through the sieves. The controlled variations in water levels enable a gentle sieving process for males and females, minimising risks of mechanical injury. In each separation, approximately 24,000 larvae and pupae were put through the PSS system for separation. The sorted portions, including females, males, and larvae (potentially containing smaller-than-average male pupae) are efficiently dispensed through designated outlets (Supplementary Fig. 1c). In the mosquito production facility in Singapore, pupae sorted using the PSS and FM sorter have similar fitness levels. In view of this, the PSS is used for high-throughput and efficient sorting of pupae for mass production of male mosquitoes.
NaCl treatment and mortality assay
To understand the effect of only the NaCl treatment on the survivals of fourth instar larvae and male pupae, these life stages were obtained using the Fay-Morlan sorter. Sodium chloride (NaCl) solutions (0%, 5%, 10% and 15% w/v) were prepared using table salt (Pagoda, China) and RO water. Fourth instar larvae (100 per replicate) underwent a one-hour NaCl treatment in plastic cups (119 × 72 mm, SKP, Singapore). After treatment, larvae were rinsed with RO water, transferred to fresh plastic cups, and checked for mortality, confirmed by a lack of motile response. Dead larvae were counted and removed, while surviving larvae were observed for delayed mortality and pupation over five days. The same procedures were applied for pupae mortality, where it was assessed over three days. The most effective treatment, maximising larval mortality with minimal pupal impact, determined the optimal NaCl concentration.
Immediately after the one-hour NaCl treatment, larvae were examined using a VHX-S750E digital microscope (VHX-X1 series, Keyence Singapore Pte Ltd, Singapore), equipped with a 30× ring light under darkfield illumination conditions. Digital images were captured using the integrated software system at two different magnifications: 30× for whole larval body length measurements and 150× for morphological examination of the anal papillae. Body length measurements were performed using the built-in 2D measurement function, which operates on a pixel-to-pixel basis. The system was calibrated using the DPI (dots per inch) method, with resolutions of 5.676µm per pixel at 30× magnification and 1.124 µm per pixel at 150× magnification. For each treatment group (0%, 5%, 10%, 15% NaCl), 10 larvae were examined. All measurements were taken by a single operator to ensure consistency. Representative images and measurements from each group are presented to illustrate the morphological changes observed.
Adult longevity under stress conditions and flight test
Upon determining the minimal lethal effects of NaCl treatment on the male pupae, we subsequently investigated the fitness of the male and female adult mosquitoes emerging from these salt-treated and PSS-sorted pupae. Pupae/larvae mixture were treated with varying concentrations (0%, 5%, 10%, 15%), followed by PSS-sorting. For each sex, 150 pupae were randomly sampled and transferred in plastic cups filled with RO water. All plastic cups were placed in a single cage for 24 h to remove early emergence; mosquitoes that emerged during this period were killed and discarded. After 24 h, each plastic cup was placed in individual standard rearing cages (30 × 30 × 30 m; Bugdorm, Taiwan) to collect adult mosquitoes within a 16-h period, ensuring a maximum age difference of 16 h among mosquitoes undergoing longevity tests. Approximately 110 to 120 mosquitoes emerging during this period were used. Adult mosquitoes were provided with RO water-soaked towels and monitored for daily mortality counts until all individuals in the cage were dead.
The same procedures used in the adult longevity study were replicated in the male adult flight test. However, a 24-h collection period was given for emergence. About 110 – 130 male mosquitoes were used and were fed a 10% sucrose solution until the flight tests were carried out. Mosquitoes aged five to six days were used. This age was chosen based on the established baseline in our production facility36. The Flight Test Device (FTD)36 (Supplementary Fig. 1d) assessed the flight ability of adult mosquitoes. Male mosquitoes were attracted and stimulated to escape from the tube organ using BG lure (Bioagents, AG, Germany). After a two-hour period, all mosquito flight activities in the FTD were halted. The count of mosquitoes remaining in the tube organ (non-escaped mosquitoes) and outside the tube organ (escaped mosquitoes) were recorded. Escape rates were calculated by dividing the number of escaped mosquitoes by the total number of mosquitoes aspirated into the tube organ at the start.
Female fecundity after NaCl treatment
To understand the effect of only NaCl treatment on female reproductive capacity, male and female pupae were separated using the Fay-Morlan sorter. 60 pupae of each sex were randomly sampled, with each pupa examined under a microscope for sex verification. Female pupae were subjected to one-hour NaCl treatment at varying concentrations (0%, 5%, 10%, 15%), while male pupae were transferred into plastic cups filled with RO water.
All plastic cups were placed in individual cages for a 2-days emergence period. After emergence, untreated male adults and female adults emerged from salt-treated pupae (0%, 5%, 10%, 15%) were transferred to a shared cage for mating. Following a 5-day mating period, females were offered a blood meal. 20 engorged females were randomly sampled from each treatment group and individually transferred to oviposition pots. These females were left undisturbed for 6 days to lay eggs, with egg strips maintained moist throughout to ensure optimal oviposition conditions.
Oviposition pots containing eggs were filled with hatching broth for hatching. Subsequently, both hatched and unhatched eggs were counted to obtain the total number of eggs laid per female. Mean fecundity was calculated as the average number of eggs laid per blood-fed female for each treatment group. Egg hatch rates were calculated for each ovipot as the percentage of hatched eggs relative to the total number of eggs laid.
Contribution of late fourth instar larvae to female contamination rate
Two cohorts, each comprising around 6000 larvae and pupae, underwent automated PSS-sorting after NaCl treatment (0% and 15% NaCl). Given that the 15% NaCl would have induced larval mortality, only the male cohort from the control group (0% NaCl treatment) underwent further sorting using the FM sorter to capture any larvae post PSS-sorting. Only 15% NaCl treatment was tested as investigations above showed it efficiently killed larvae while imposing minimal fitness costs on pupae. Microscopic examination of the genital lobes was employed for sexing37 and counting all male pupae in the male cohort. Larvae within the male cohort were allowed to develop and emerge in standard rearing cages over three days. Emerged adult mosquitoes were differentiated into males and females based on morphological characters, while remaining larvae (including dead larvae) and pupae were counted separately. Results were expressed as percentages of larvae, males (pupae and adults), and females (pupae and adults) over the total number of pupae and larvae sampled. The female contamination rate represented the percentage of females (derived from pupae and/or later fourth instar larvae) present among the male cohort after sorting.
Female contamination rate in the male pupae cohort after NaCl treatment and sex separation
To investigate the effectiveness of NaCl treatment in reducing female contamination in the male pupae cohort, pupae/larvae mixtures were treated with either 0% or 15% NaCl, followed by PSS-sorting. Approximately 2000 pupae in the male pupae cohort were sampled for each treatment, and emerged adults were sexed after 48 h. The female contamination rate was calculated by dividing the number of emerged adult females by the total number of emerged adults. Three independent biological replicates were performed for 0% and 15% NaCl to determine the average female contamination rate after NaCl treatment.
Statistical analysis
The Shapiro–Wilk test was employed to assess data normality, while Levene’s test evaluated the homogeneity of variances across groups when normality was confirmed. The Kruskal–Wallis test was used to analyse pupae mortality, adult emergence, egg count per blood-fed female, and the egg hatch rates to determine significant differences between NaCl concentrations. Outliers, identified as values below Q1 − 1.5 × IQR or above Q3 + 1.5 × IQR using the interquartile range (IQR) method, in both egg counts and egg hatch rates were excluded from the analysis. Post-hoc Dunn’s test with Bonferroni corrections has been performed when treatment effect was detected. Analysis of Variance (ANOVA) was applied to identify significant differences between NaCl concentrations in flight ability and female contamination assays. Log-rank test was used to compare the Kaplan–Meier survival curves for longevity assay. When a treatment effect was detected, post hoc tests, including pairwise log-rank test with Bonferroni correction, were performed. An alpha value of 0.05 was considered significant.
Conclusion
Our study presents a pioneering strategy for optimising mosquito sex separation in the context of SIT and IIT programmes. The integration of a low-cost 15% NaCl treatment with an automated pupae separation system demonstrates a significant reduction in female contamination rates, offering a practical solution to challenges associated with larval mis-sorting. This innovative two-step protocol not only minimises female contamination but also enhances overall sorting efficiency. The study contributes valuable insights into the effects of salinity on mosquito larvae and pupae, highlighting the importance of refining sex separation methods for the success of mosquito control programmes.
Data availability
The data that support the findings of this study are available from corresponding author at lu_deng@nea.gov.sg.
References
Sterile Insect Technique: Principles and Practice in Area-Wide Integrated Pest Management (Springer, 2005).
Gato, R. et al. Sterile insect technique: Successful suppression of an Aedes aegypti field population in Cuba. Insects 12, 469 (2021).
Sterile Insect Technique: Principles and Practice in Area-Wide Integrated Pest Management (CRC Press, 2021).
Pagendam, D. E. et al. Modelling the Wolbachia incompatible insect technique: strategies for effective mosquito population elimination. BMC Biol. 18, 161 (2020).
Zeng, Q. et al. A standalone incompatible insect technique enables mosquito suppression in the urban subtropics. Commun. Biol. 5, 1–13 (2022).
Lees, R. S. et al. Back to the future: The sterile insect technique against mosquito disease vectors. Curr. Opin. Insect Sci. 10, 156–162 (2015).
Beebe, N. W. et al. Releasing incompatible males drives strong suppression across populations of wild and Wolbachia-carrying Aedes aegypti in Australia. Proc. Natl. Acad. Sci. U.S.A. 118, e2106828118 (2021).
Dobson, S. L., Fox, C. W. & Jiggins, F. M. The effect of Wolbachia-induced cytoplasmic incompatibility on host population size in natural and manipulated systems. Proc. R. Soc. B Biol. Sci. 269, 437–445 (2002).
Xi, Z., Khoo, C. C. H. & Dobson, S. L. Wolbachia establishment and invasion in an Aedes aegypti laboratory population. Science 310, 326–328 (2005).
Consortium, T. P. W-S. & Ng, L. C. Wolbachia-mediated sterility suppresses Aedes aegypti populations in the urban tropics. Preprint at https://doi.org/10.1101/2021.06.16.21257922 (2021).
Soh, L. T. et al. A household-based survey to understand factors influencing awareness, attitudes and knowledge towards Wolbachia-Aedes technology. Int. J. Environ. Res. Public Health 18, 11997 (2021).
Lwin, M. O. et al. Influence of public hesitancy and receptivity on reactive behaviours towards releases of male Wolbachia-Aedes mosquitoes for dengue control. PLoS Negl. Trop. Dis. 16, e0010910 (2022).
Fay, R. W. & Morlan, H. B. A mechanical device for separating the developmental stages, sexes, and species of mosquitoes. Mosq. News 19, 144–147 (1959).
Vienna Scientific Instruments. VSI IR-604 (Pupae Sex Separator) - specifications and manual. https://www.vienna-scientific.com/products/mosquito-sex-separator/ (2019).
Gunathilaka, N. et al. Use of mechanical and behavioural methods to eliminate female Aedes aegypti and Aedes albopictus for sterile insect technique and incompatible insect technique applications. Parasites Vectors 12, 148 (2019).
Sharma, V. P., Patterson, R. S. & Ford, H. R. A device for the rapid separation of male and female mosquito pupae. Bull. World Health Organ. 47, 429–432 (1972).
Orinno Technology Pte Ltd. About us. https://orinnotech.com/aboutus (2024).
Mamai, W. et al. Aedes aegypti larval development and pupal production in the FAO/IAEA mass-rearing rack and factors influencing sex sorting efficiency. Parasites Vectors 27, 43 (2020).
Gong, J. T. et al. Upscaling the production of sterile male mosquitoes with an automated pupa sex sorter. Sci. Robot. 9, eadj6261 (2024).
Mamai, W. et al. Efficiency assessment of a novel automatic mosquito pupae sex separation system in support of area-wide male-based release strategies. Sci. Rep. 14, 9170. https://doi.org/10.1038/s41598-024-58067-x (2024).
Focks, D. A. An improved separator for the developmental stages, sexes, and species of mosquitoes (Diptera: Culicidae). J. Med. Entomol. 17, 567–568 (1980).
Crawford, J. E. et al. Efficient production of male Wolbachia-infected Aedes aegypti mosquitoes enables large-scale suppression of wild populations. Nat. Biotechnol. 38, 482–492 (2020).
McCray, E. M. Jr. A mechanical device for the rapid sexing of Aedes aegypti pupae. J. Econ. Entomol. 54, 819 (1961).
Kittayapong, P. et al. Combined sterile insect technique and incompatible insect technique: The first proof-of-concept to suppress Aedes aegypti vector populations in semi-rural settings in Thailand. PLoS Negl. Trop. Dis. 13, e0007771 (2019).
Wigglesworth, V. B. The adaptation of mosquito larvae to salt water. J. Exp. Biol. 10, 27–36 (1933).
Wigglesworth, V. B. The effect of salts on the anal gills of the mosquito larva. J. Exp. Biol. 10, 1–14 (1933).
Wigglesworth, V. B. The regulation of osmotic pressure and chloride concentration in the haemolymph of mosquito larvae. J. Exp. Biol. 12, 235–247 (1938).
Surendran, S. N., Pradeep, B. S. & Krishnan, N. Adaptation of Aedes aegypti to salinity: Characterized by larger anal papillae in larvae. J. Vector Borne Dis. 55, 235–238 (2018).
Ekechukwu, N. E. & Ekeh, F. N. Effects of sodium chloride concentrations on larvae and pupae of Aedes aegypti. Anim. Res. Int. 8, 1467–1472 (2011).
Mukhopadhyay, A. et al. Effect of common salt on laboratory-reared immature stages of Aedes aegypti (L). Asian Pac. J. Trop. Med. 3, 173–175 (2010).
Bond, J. G. et al. Optimization of irradiation dose to Aedes aegypti and Ae albopictus in a sterile insect technique program. PLoS ONE 14, e0212520 (2019).
Zheng, X. et al. Incompatible and sterile insect techniques combined eliminate mosquitoes. Nature 572, 56–61 (2019).
Bouyer, J. & Vreysen, M. J. B. Yes, irradiated sterile male mosquitoes can be sexually competitive!. Trends Parasitol. 36, 877–880 (2020).
Lim, J. T. et al. Assessing Wolbachia-mediated sterility for dengue control: Emulation of a cluster-randomized target trial in Singapore. J. Travel Med. 31, 103. https://doi.org/10.1093/jtm/taae103 (2024).
Bansal, S. et al. Effectiveness of Wolbachia-mediated sterility coupled with sterile insect technique to suppress adult Aedes aegypti populations in Singapore: A synthetic control study. Lancet Planet. Health 8, 9. https://doi.org/10.1016/s2542-5196(24)00169-4 (2024).
Maïga, H. et al. Standardization of the FAO/IAEA flight test for quality control of sterile mosquitoes. Front. Bioeng. Biotechnol. 10, 876675 (2022).
Carvalho, D. O. et al. Mass production of genetically modified Aedes aegypti for field releases in Brazil. J. Vis. Exp. 85, e3579 (2014).
Acknowledgements
The authors express gratitude to Assoc. Prof. Lee-Ching Ng of the Environmental Health Institute, National Environment Agency, for providing valuable feedback on drafts. This study received funding from Singapore’s Ministry of Finance, Ministry of Sustainability and the Environment, and National Environment Agency.
Author information
Authors and Affiliations
Contributions
LD conceptualized the research idea and prepared the accompanying video presented in the supplementary material. LD and KKC designed the experiments. KKC, SCA, JWKL, MFZ planned and performed the experiments. KKC analysed the data and drafted the manuscript, which was critically revised by JWKL and C-SC. CHT directed the programme. All authors read and approved the final manuscript.
Corresponding author
Ethics declarations
Competing interests
The authors declare no competing interests.
Additional information
Publisher’s note
Springer Nature remains neutral with regard to jurisdictional claims in published maps and institutional affiliations.
Supplementary Information
Supplementary Information 2.
Rights and permissions
Open Access This article is licensed under a Creative Commons Attribution-NonCommercial-NoDerivatives 4.0 International License, which permits any non-commercial use, sharing, distribution and reproduction in any medium or format, as long as you give appropriate credit to the original author(s) and the source, provide a link to the Creative Commons licence, and indicate if you modified the licensed material. You do not have permission under this licence to share adapted material derived from this article or parts of it. The images or other third party material in this article are included in the article’s Creative Commons licence, unless indicated otherwise in a credit line to the material. If material is not included in the article’s Creative Commons licence and your intended use is not permitted by statutory regulation or exceeds the permitted use, you will need to obtain permission directly from the copyright holder. To view a copy of this licence, visit http://creativecommons.org/licenses/by-nc-nd/4.0/.
About this article
Cite this article
Chng, K.K., Liew, J.W.K., Ang, S.C. et al. Enhanced mosquito sex separation using NaCl for optimised sterile insect technique and incompatible insect technique programmes. Sci Rep 15, 42818 (2025). https://doi.org/10.1038/s41598-025-22380-w
Received:
Accepted:
Published:
Version of record:
DOI: https://doi.org/10.1038/s41598-025-22380-w






