Fig. 2
From: The associations between maternal glycolipid metabolism and fetal growth in term births

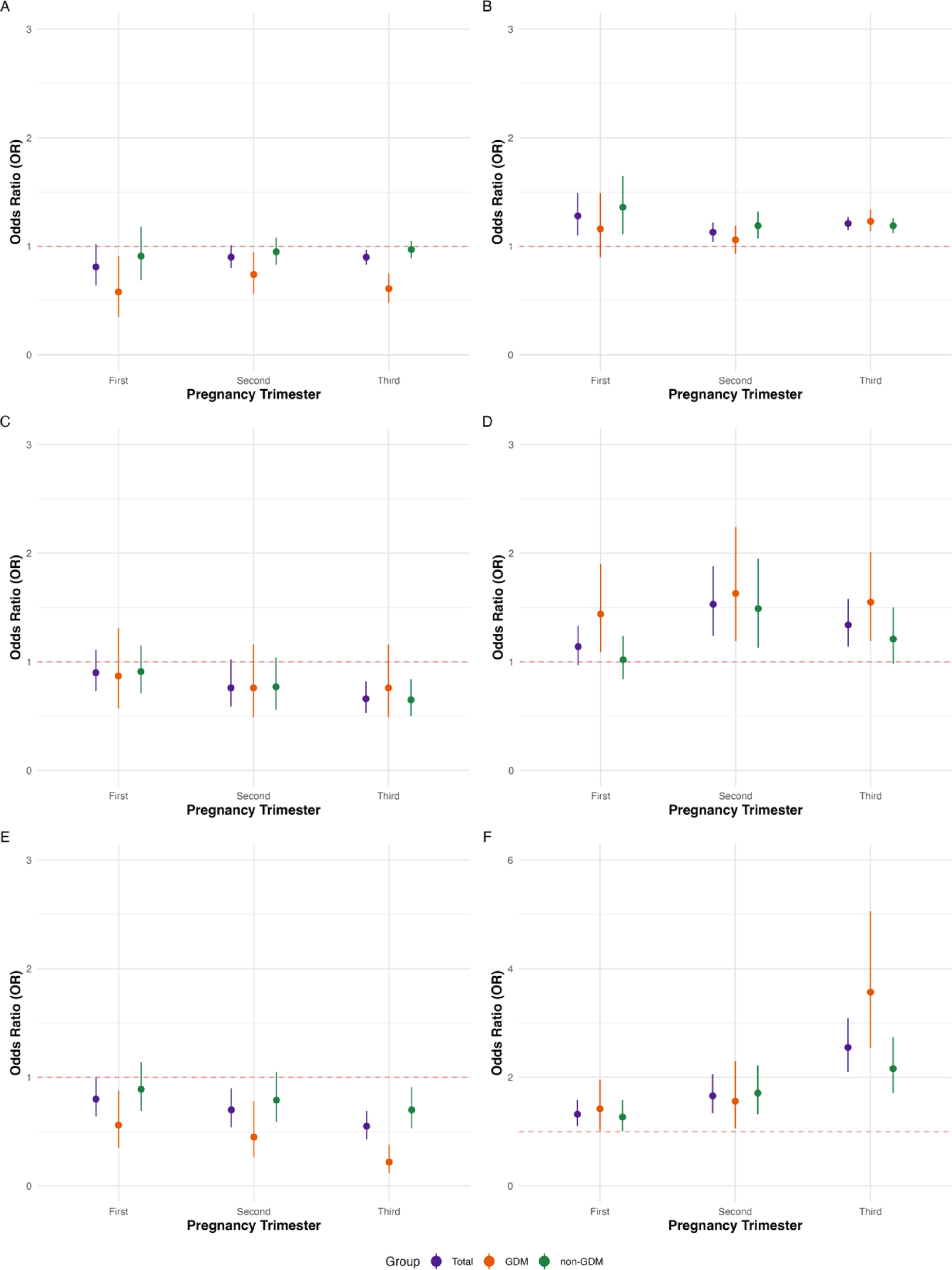
Effects of TG, FPG, TyG index on SGA and LGA across trimesters in each group.
From: The associations between maternal glycolipid metabolism and fetal growth in term births

Effects of TG, FPG, TyG index on SGA and LGA across trimesters in each group.