Abstract
This retrospective cohort study of 8,446 term pregnancies investigated the associations between maternal glycolipid metabolism and fetal growth. Neonates were classified as SGA, LGA, or AGA. Maternal triglycerides (TG), fasting plasma glucose (FPG), and the Triglyceride–Glucose (TyG) index were examined in relation to birth weight and SGA/LGA risks across trimesters using linear regression and generalized linear models. Group-based trajectory modeling was applied to the TyG index to identify metabolic patterns, and restricted cubic spline analyses assessed nonlinear associations between the third-trimester TyG and abnormal fetal growth. Higher maternal TG, FPG, and the TyG index were associated with increased birth weight and elevated LGA risk, with effects stronger in the GDM group than in the non-GDM group. Elevated TyG levels were consistently linked to reduced SGA risk and progressively higher LGA risk across trimesters, with LGA odds ratios of 1.32, 1.66, and 2.55 for the first, second, and third trimesters, respectively. Restricted cubic spline analyses revealed a J-shaped relationship between the third-trimester TyG and abnormal fetal growth. These findings indicate that maternal glycolipid metabolism influences fetal growth, with the TyG index serving as an integrated marker of maternal triglyceride-glucose status.
Introduction
Birth weight serves as a vital indicator of neonatal health and long-term developmental outcomes. Deviations from optimal birth weight—whether low or high—may signal impaired fetal growth or pathological conditions1. The classification of small for gestational age (SGA) and large for gestational age (LGA) helps identify infants at increased risk because it is based on gestational age and size according to standard sex-based birth-weight-for-gestational-age standards2. SGA infants face increased risks of neurodevelopmental delays and chronic diseases such as insulin resistance and type 2 diabetes3,4. Conversely, LGA infants are predisposed to birth complications, childhood obesity, and metabolic syndrome later in life5. These findings emphasize the importance of understanding maternal metabolic factors that influence fetal growth. Although term births are generally considered low risk, the presence of SGA or LGA in this group warrants particular concern because of the long-term consequences6,7,8,9,10.
Maternal glycolipid metabolism plays a critical role in providing energy for fetal development. Previous studies have demonstrated significant associations between maternal lipid and glucose levels and fetal growth outcomes. Prior studies have demonstrated associations between maternal lipid and glucose levels and birth outcomes: low density lipoprotein (LDL), triglyceride (TG), and total cholesterol (TC) have been linked with SGA11; elevated glycated hemoglobin (HbA1c > 6.5%) and low high-density lipoprotein cholesterol (HDL-C < 1.0 mmol/L) have been associated with LGA12; and the high first-trimester TG levels are associated with increased LGA risk but a decreased prevalence of SGA13,14. These findings highlight the importance of maternal glycolipid metabolism but most investigations have focused on a single index or early pregnancy only.
Gestational diabetes mellitus (GDM), characterized by glucose intolerance during pregnancy, profoundly impacts maternal glycolipid metabolism. A reduced risk of customized SGA was seen in women with GDM and type 1 diabetes (OR 0.80, 95% CI 0.67–0.96)15. Conversely, another study indicated that GDM is a risk factor for SGA16. Hyperglycemia during pregnancy is consistently associated with higher risk of LGA17. However, the combined effects of glycolipid metabolism on fetal growth across trimesters, particularly when comparing GDM and non-GDM pregnancies, remain insufficiently understood.
This study aimed to investigate the trimester-specific associations of maternal TG, FPG, and Triglyceride–Glucose (TyG) index with birth weight outcomes (SGA and LGA) among term infants, with subgroup analyses by GDM status to clarify differential metabolic influences on fetal growth. By considering temporal and subgroup-specific effects, our findings aim to offer a comprehensive understanding of metabolic contributions to fetal growth and inform targeted strategies for optimizing pregnancy outcomes.
Materials and methods
Study population
We initially identified 9,872 pregnancies that received antenatal care and delivered at Peking University International Hospital between January 2020 and June 2024. Stillbirths, multiple gestations, records with missing or erroneous data, and pregnancies with gestational age < 37 or ≥ 42 weeks were excluded. The final analytic cohort consisted of 8,446 term pregnancies. Neonates were categorized as SGA, appropriate for gestational age (AGA), or LGA based on birth weight percentiles adjusted for gestational age which standard used in Chinese population: SGA (< 10th percentile), AGA (10th – 90th percentile), and LGA (> 90th percentile)18. Among them, 733 were classified as SGA, 1,034 as LGA, and 6,679 as AGA (Fig. 1).
Data collection
Maternal demographic and clinical data were extracted from electronic medical records, including age, height, pre-pregnancy weight, gestational weight gain (GWG), gestational age, fetal gender, birth weight, and birth length. Diagnoses of GDM, hypertensive disorders of pregnancy (HDP), and other conditions potentially influencing fetal growth were also recorded. Blood samples were collected during the first (6–8 weeks), second (24–26 weeks), and third trimesters (33–35 weeks) of pregnancy. These samples were used to measure FPG, TG and HbA1c. Pre-pregnancy body mass index (BMI) was calculated as \(\:\text{B}\text{M}\text{I}\:=\:\left[\text{w}\text{e}\text{i}\text{g}\text{h}\text{t}\:\right(\text{k}\text{g})/{\text{h}\text{e}\text{i}\text{g}\text{h}\text{t}\:\left(\text{m}\right)}^{2}]\), while the TyG index was computed using the formula: \(\:\text{T}\text{y}\text{G}\:=\:\text{Ln}\left[\text{T}\text{G}\:\right(\text{m}\text{g}/\text{d}\text{L}\left)\:\text{*}\:\text{F}\text{B}\text{G}\:\right(\text{m}\text{g}/\text{d}\text{L})/2]\). All medical records were de-identified to remove any personal information beyond what is necessary for research purposes. Informed consent was obtained for all data used in this study.
GDM diagnosis and management
All participants underwent a 75-g oral glucose tolerance test (OGTT) during 24–28 weeks of gestation, and GDM was diagnosed according to the International Association of the Diabetes and Pregnancy Study Groups (IADPSG) and World Health Organization (WHO) criteria: FPG ≥ 5.1 mmol/L, 1-h plasma glucose ≥ 10.0 mmol/L, or 2-h plasma glucose ≥ 8.5 mmol/L19.
After diagnosis, women with GDM received individualized medical nutrition therapy and lifestyle counseling, focusing on controlled carbohydrate intake, balanced nutrition, meal distribution, and moderate physical activity. Self-monitoring of blood glucose (SMBG) was recommended four times daily (fasting and 2-h postprandial after the three main meals) on at least two days per week, with adjustments as needed. In cases of abnormal glucose levels, women were hospitalized for further monitoring and management. Insulin therapy was initiated if fasting glucose remained ≥ 5.3 mmol/L or 2-h postprandial glucose ≥ 6.7 mmol/L despite diet and lifestyle management.
Statistical analysis
Continuous variables were summarized as means with standard deviations or medians with interquartile ranges, as appropriate, while categorical variables were presented as counts with percentages. Descriptive statistics for AGA, SGA, and LGA groups were presented separately.
Differences between SGA and AGA groups and between LGA and AGA groups were analyzed using Student’s t-test, Mann-Whitney U test, Chi-squared test, or Fisher’s exact test, depending on the nature of the data. Linear regression models were used to estimate the associations of maternal TG, FPG, and TyG index with fetal birth weight. Regression coefficients (β) represent the absolute change in birth weight (grams) per unit increase in maternal TG (mmol/L), FPG (mmol/L), or TyG index. Generalized linear models (GLMs) were used to assess the association of SGA and LGA with these parameters across trimesters20. Odds ratios (ORs) represent the risk change per unit increase in each maternal metabolic indicator. All analyses were conducted separately for the overall population, the GDM group, and the non-GDM group. For each trimester, TG and FPG were entered simultaneously into the same linear regression model and GLM. Group-based trajectory modeling was further applied using the TyG index as the integrated marker of maternal glycolipid metabolism. The number of trajectory groups was determined with reference to clinical relevance, and the group with the lowest TyG levels was designated as the reference category in subsequent GLM analyses21.
Restricted cubic spline (RCS) analyses were further performed to assess potential nonlinear associations22. For this analysis, SGA and LGA were combined into a binary outcome defined as abnormal fetal growth. The TyG index in the third trimester, a period characterized by the most rapid fetal weight gain, was selected to investigate nonlinear dose–response relationships. In addition, spline-derived TyG index values in the third trimester at which the odds ratio for abnormal fetal growth equaled 1 were estimated to identify potential threshold ranges.
Covariates adjusted in the models included maternal age, GWG, pre-pregnancy BMI, fetal gender, the third trimester HbA1c, GDM status, and HDP diagnosis.
All statistical analyses were conducted using R software (version 4.3.3). Linear regression models and GLMs were implemented using the “stats” package, group-based trajectory modeling was performed with the “traj” package, and RCS analyses were conducted with the “rms” package. A two-sided p-value < 0.05 was considered statistically significant.
Ethical approval and consent to participate
All methods in this study were carried out in accordance with relevant guidelines and regulations. The experimental protocols were approved by the Biomedical Ethics Committee of Peking University International Hospital (Approval No. 2024-KY-0041-01).
All personally identifiable health records used in this research were properly de-identified, and written informed consent was obtained from all participating patients. For neonatal data included in the study, informed consent was obtained from the infants’ parents or legal guardians.
Results
Descriptive statistic
In this study, 733 cases of SGA and 1,034 cases of LGA were identified. Table 1 presented the basic characteristics of the data and the differences between SGA vs. AGA and LGA vs. AGA groups. The mean birth weights of AGA, SGA, and LGA infants were 3,282 g (SD 276 g), 2,698 g (SD 210 g), and 3,912 g (SD 248 g), respectively. Significant differences were observed between SGA and AGA groups in maternal age, gestational week, GWG during pregnancy, pre-pregnancy BMI, fetal gender, TG and TyG levels in all trimesters, and FPG levels in the first and third trimester. Similar results were observed between LGA and AGA groups, except for no statistical difference in fetal gender, and a significant difference in HbA1c (Table 1). The TyG index, as a marker of insulin resistance, shows an increasing trend as pregnancy progresses (Fig. S1).
Trimester analyses
Maternal TG, FPG, and TyG levels in all trimesters were significantly positively correlated with fetal birth weight (Table 2). The influence of TG on fetal birth weight was more pronounced in the first trimester, while FPG had a stronger effect in the second and third trimesters. The effect of TyG on birth weight became more pronounced as pregnancy progressed.
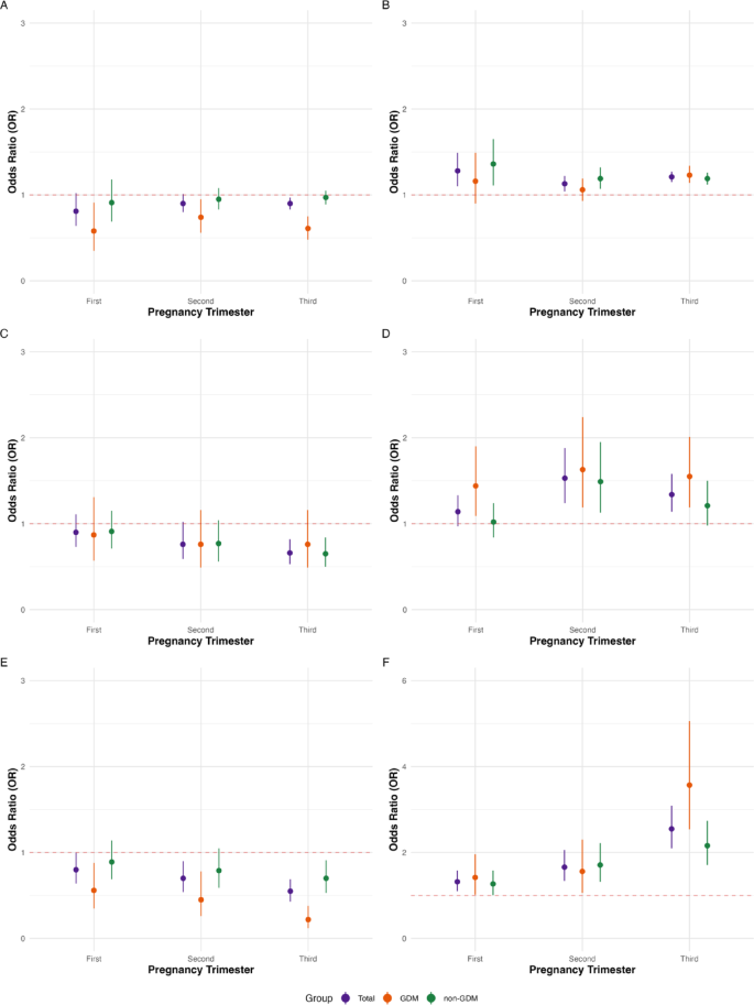
Higher TG and FPG levels were associated with a reduced risk of SGA, although these associations reached statistical significance only in the third trimester. Higher TyG levels were consistently associated with a reduced risk of SGA, and the strength of this association increased as gestation progressed (Fig. 2). Specifically, the third-trimester FPG showed a stronger inverse association with SGA (OR 0.66, 95% CI 0.53–0.82) compared with TG in the same trimester (OR 0.90, 95% CI 0.83–0.97).
Regarding LGA, elevated TG, FPG, and TyG levels were risk factors (Fig. 2). When comparing TG and FPG within the same trimester, second-trimester FPG exhibited the strongest risk effect on LGA, while second-trimester TG had the least impact. For TyG index, the ORs for LGA were 1.32(95%CI 1.10–1.58), 1.66(95%CI 1.34–2.06), and 2.66(95%CI 2.10–3.09) for the first, second, and thirdtrimesters, respectively, emphasizing the increasing influence of glycolipid metabolism on LGA.
Odds ratios (ORs) and 95% confidence intervals (CIs) for SGA and LGA per unit increase in maternal TG (mmol/L), FPG (mmol/L), and TyG index.
Models in the total population were adjusted for maternal age, gestational weight gain, pre-pregnancy BMI, fetal gender, third-trimester HbA1c, GDM status, and HDP diagnosis.
Models in the GDM and non-GDM groups were adjusted for maternal age, gestational weight gain, pre-pregnancy BMI, fetal gender, third-trimester HbA1c, and HDP diagnosis.
Figure A is the odds ratios of the associations between TG and SGA in each trimester and group. Figure B is the odds ratios of the associations between TG and LGA in each trimester and group. Figure C is the odds ratios of the associations between FPG and SGA in each trimester and group. Figure D is the odds ratios of the associations between FPG and LGA in each trimester and group. Figure E is the odds ratios of the associations between TyG and SGA in each trimester and group. Figure F is the odds ratios of the associations between TyG and LGA in each trimester and group. The odds ratio value of the red dash line is equal to 1.
Subgroup analyses
In the GDM group, TG in the first trimester had the strongest effect on fetal birth weight, while TG in the second trimester had the least (Table 2). In contrast, in the non-GDM group, first-trimester TG also showed the greatest effect on birth weight, with the least impact seen in the third trimester. For FPG, the strongest association with birth weight was observed in the third trimester among women with GDM, whereas in the non-GDM group it was most pronounced in the second trimester. Higher TyG levels were positively associated with fetal birth weight in both the GDM and non-GDM groups, with the effect intensifying as gestation progressed, and this association was more pronounced in the GDM group.
When analyzing SGA, inverse associations of higher TG levels with SGA were observed in the GDM group, whereas no statistically significant association was found in the non-GDM group (Fig. 2). Only third-trimester FPG in the non-GDM group showed a statistically significant inverse association with SGA (OR 0.65, 95% CI 0.50–0.84) (Table S1). In the GDM group, the decreasing association between TyG and SGA became progressively stronger across trimesters, whereas no such trend was observed in the non-GDM group.
For LGA, higher TG and FPG levels were associated with increased risk in both the GDM and non-GDM groups. Comparing TG and FPG within the same trimester and group, FPG showed a stronger contribution to LGA risk, particularly in GDM pregnancies (Fig. 2). As gestation progressed, the positive association between TyG and LGA risk became progressively stronger in both groups (Table S2).
Nonlinear analyses
Restricted cubic spline (RCS) analyses demonstrated a J-shaped association between the third-trimester TyG index and abnormal fetal growth (SGA and LGA) in the total population as well as in both the GDM and non-GDM groups (Fig. 3). In the overall population and the non-GDM group, the ascending portion of the J-shaped curve was relatively flat, whereas in the GDM group the corresponding segment rose more steeply. The spline-derived threshold ranges for the TyG index were 9.06–9.27 in the total population, 9.12–9.36 in the GDM group, and 9.03–9.24 in the non-GDM group, with the GDM group showing a right-shifted threshold compared with the non-GDM group (Table 3).
Discussion
In general, this study demonstrates that heightened maternal glycolipid metabolism is associated with increased fetal weight, lowering the risk of SGA while elevating the risk of LGA. Distinct patterns were observed in pregnancies complicated by GDM: higher TG levels were more strongly related to a reduced risk of SGA, whereas elevated FPG showed a stronger association with LGA risk than in the non-GDM group. The associations of the TyG index with decreased SGA risk and increased LGA risk became progressively stronger as pregnancy advanced, particularly in the GDM group. Together, these findings clarify the links between maternal glycolipid metabolism and fetal growth, while underscoring the differing contributions of lipid and glucose metabolism according to GDM status.
Glucose serves as the primary energy substrate for fetal development, and its stable and adequate supply is essential for healthy fetal growth23. Low maternal blood glucose levels can compromise energy availability, potentially leading to SGA24. Excessive glucose levels may contribute to hyperglycemia-related fetal overgrowth and a heightened risk of LGA14. Maternal glucose readily crosses the placenta, whereas maternal insulin does not. A appropriate increase in maternal glucose ensures sufficient energy supply to the fetus, thereby preventing SGA. However, maternal hyperglycemia stimulates fetal islet β-cell proliferation and excessive insulin secretion, promoting increased protein and fat synthesis, which may ultimately result in LGA25.
Beyond glucose, maternal lipids also play a critical role in fetal development, particularly as substrates for fetal fat accretion26. In our study, maternal TG levels showed a linear association with birth weight, with higher levels associated with a reduced risk of SGA but an elevated risk of LGA, consistent with previous reports27. Nonetheless, prior evidence remains inconsistent: some studies found no significant associations between TG and SGA, whereas others suggested that lower TG concentrations may contribute to SGA risk, although statistical significance was not reached28,29,30. The underlying mechanisms of the associations between maternal TG and fetal growth remain incompletely understood. TG undergo enzymatic hydrolysis into free fatty acids (FFAs) before placental transport via fatty acid transport proteins (FATPs) and CD3631. Elevated maternal TG has been shown to increase placental weight and volume and to upregulate FATPs and FABPs expression, thereby promoting fetal lipid accumulation and weight gain32,33. In diabetic pregnancies, placental weight and volume relative to birth weight are higher than in non-diabetic pregnancies, and insulin resistance or hyperinsulinemia contributes to elevated TG concentrations34,35. Increased placental TG and cord plasma FFAs observed in GDM further indicate accelerated placental nutrient transfer or altered fetal lipolysis36,37. Ortega-Senovilla demonstrated that elevated maternal TG and NEFA suppressed ANGPTL4 secretion, enhancing placental lipoprotein lipase activity and facilitating fatty acid transfer to the fetus, promoting fatty acid transfer to the fetus and resulting in increased fat accumulation38.
Given the complexity of glycolipid interactions, the TyG index provides a more reliable and sensitive integrative marker than TG or FPG alone for assessing maternal metabolic status35. Our findings indicate that the TyG index is significantly associated with birth weight, SGA, and LGA risks across trimesters. These results align with previous findings, such as those by Lin, which highlighted a 2.05-fold increase in LGA risk for every unit increase in the TyG index39. RCS analyses revealed a J-shaped association between third-trimester TyG and abnormal fetal growth, suggesting that both low and high TyG levels may increase the risks of abnormal fetal growth (SGA and LGA). The spline-derived thresholds suggested a relatively narrow range of TyG values associated with minimal risk. Notably, these thresholds were higher in pregnancies complicated by GDM than in non-GDM pregnancies, reflecting greater glucose and lipid intolerance and more pronounced insulin resistance in this group. The observed associations between the TyG index and fetal growth can be plausibly explained by underlying insulin resistance. The TyG index is also widely recognized as a surrogate marker for insulin resistance, a condition that progressively develops during pregnancy and is particularly pronounced in women with GDM40. Consistent with this physiological pattern, our study revealed a progressive upward trend in TyG levels across gestation, further supporting the notion of gradually developing insulin resistance during pregnancy. Physiologically, progressive insulin resistance during pregnancy promotes nutrient transfer to the fetus. Lower maternal TyG levels, potentially reflecting insufficient insulin resistance, were associated with increased SGA risk, whereas elevated TyG levels, indicative of excessive insulin resistance, were linked to higher LGA risk (Tables S3, S4). Although these findings are not yet ready for direct clinical application, they provide evidence that the TyG index may serve as a useful integrative marker connecting maternal glycolipid metabolism, insulin resistance, and fetal growth. Future studies are warranted to validate these associations and explore their potential implications for risk stratification and management in pregnancy.
Glucose and lipid metabolism are closely interconnected, yet their complex interactions remain incompletely understood. While our study found that in pregnant women with GDM, higher TG levels were associated with a decreased risk of SGA compared with FPG, and higher FPG levels were associated with an increased risk of LGA compared with TG, existing research does not fully explain these findings. Future studies are needed to further explore the mechanisms underlying glycolipid metabolism, particularly the pathways of their combined effects and potential interactions.
In this study, we have successfully integrated the strengths of previous research by analyzing not only TG and FPG, but also utilizing the comprehensive TyG index to explore their effects on fetal birth weight, SGA, and LGA. By examining these indicators across different stages of pregnancy, we provide a more nuanced understanding of how glucose and lipid metabolism influence fetal development at various time points. Additionally, the subgroup analysis by GDM status allows for a comparison of these metabolic effects in both GDM and non-GDM populations, revealing important differences in how TG and FPG impact fetal growth in these groups. Our findings highlight key periods when glucose and lipid metabolism exert the most significant effects, and the differences between GDM and non-GDM groups underscore the need for targeted management strategies.
This study has several limitations. First, the scope of examinations available to pregnant women is inherently limited. While our model accounts for a wide range of factors associated with fetal development as covariates, it is possible that certain influential variables, such as nutritional intake and socioeconomic status, remain unaccounted for. Second, the grouping of glycolipid measurements into three trimesters precludes analysis of finer temporal changes. Third, the study’s single-center design may limit the generalizability of findings. Future multi-center research is warranted to validate and expand upon these results.
Conclusion
This study highlights the complex relationship between maternal TG, FPG, and the TyG index with fetal growth, demonstrating their dual roles in influencing birth weight, SGA, and LGA risks. Higher levels of these markers were associated with increased birth weight, reduced risk of SGA, and elevated risk of LGA, with the TyG index showing a progressively stronger influence across trimesters, especially in pregnancies with GDM. These findings highlight the potential of the TyG index as an integrated marker of maternal glycolipid metabolism, emphasizing the importance of monitoring and managing maternal metabolic status throughout pregnancy to optimize fetal growth outcomes.
Data availability
The datasets generated and analyzed during the current study are not publicly available due to the hospital’s medical records management policy, but are available from the corresponding author on reasonable request.
References
Yadav, S. & Rustogi, D. Small for gestational age: growth and puberty issues. Indian Pediatr. 52 (2), 135–140. https://doi.org/10.1007/s13312-015-0588-z (2015).
Physical status. The use and interpretation of anthropometry. Report of a WHO expert committee. World Health Organ. Tech. Rep. Ser. 854, 1–452 (1995).
Arcangeli, T., Thilaganathan, B., Hooper, R., Khan, K. S. & Bhide, A. Neurodevelopmental delay in small babies at term: a systematic review. Ultrasound Obstet. Gynecol. 40 (3), 267–275. https://doi.org/10.1002/uog.11112 (2012).
Stevenson, N. J., Lai, M. M., Starkman, H. E., Colditz, P. B. & Wixey, J. A. Electroencephalographic studies in growth-restricted and small-for-gestational-age neonates. Pediatr. Res. 92 (6), 1527–1534. https://doi.org/10.1038/s41390-022-01992-2 (2022).
Giapros, V. I. et al. Vitamin D, parathormone, and insulin resistance in children born large for gestational age. J. Pediatr. Endocrinol. Metab. 27 (11–12), 1145–1150. https://doi.org/10.1515/jpem-2013-0327 (2014).
van Wassenaer, A. Neurodevelopmental consequences of being born SGA. Pediatr. Endocrinol. Rev. 2 (3), 372–377 (2005).
Milovanovic, I. et al. SGA children with moderate catch-up growth are showing the impaired insulin secretion at the age of 4. PLoS One. 9 (6), e100337. https://doi.org/10.1371/journal.pone.0100337 (2014).
Hong, Y. H. & Chung, S. Small for gestational age and obesity related comorbidities. Ann. Pediatr. Endocrinol. Metab. 23 (1), 4–8. https://doi.org/10.6065/apem.2018.23.1.4 (2018).
Verkauskiene, R., Petraitiene, I. & Albertsson Wikland, K. Puberty in children born small for gestational age. Horm. Res. Paediatr. 80 (2), 69–77. https://doi.org/10.1159/000353759 (2013).
Khambalia, A. Z., Algert, C. S., Bowen, J. R., Collie, R. J. & Roberts, C. L. Long-term outcomes for large for gestational age infants born at term. J. Paediatr. Child Health. 53 (9), 876–881. https://doi.org/10.1111/jpc.13593 (2017).
Abdel-Hamid, T. A., AbdelLatif, D., Ahmed, E., Abdel-Rasheed, M. & A-Mageed, A. Relation between maternal and neonatal serum lipid profile and their impact on birth weight. Am. J. Perinatol. 39 (10), 1112–1116. https://doi.org/10.1055/s-0040-1721690 (2022).
Xiao, Y. & Zhang, X. Association between maternal Glucose/Lipid metabolism parameters and abnormal newborn birth weight in gestational diabetes complicated by preeclampsia: A retrospective analysis of 248 cases. Diabetes Ther. 11 (4), 905–914. https://doi.org/10.1007/s13300-020-00792-3 (2020).
Zhu, S-M. et al. Maternal lipid profile during early pregnancy and birth weight: A retrospective study. Front. Endocrinol. (Lausanne). 13, 951871. https://doi.org/10.3389/fendo.2022.951871 (2022).
Zhao, D. et al. Association between maternal blood glucose levels during pregnancy and birth outcomes: A birth cohort study. Int. J. Environ. Res. Public. Health. 20 (3), 2102. https://doi.org/10.3390/ijerph20032102 (2023).
Anderson, N. H., Sadler, L. C., Stewart, A. W., Fyfe, E. M. & McCowan, L. M. E. Independent risk factors for infants who are small for gestational age by customised birthweight centiles in a multi-ethnic new Zealand population. Aust. N. Z. J. Obstet. Gynaecol. 53 (2), 136–142. https://doi.org/10.1111/ajo.12016 (2013).
Fernández-Alba, J. J. et al. INTERGROWTH21st vs customized fetal growth curves in the assessment of the neonatal nutritional status: a retrospective cohort study of gestational diabetes. BMC Pregnancy Childbirth. 20 (1), 139. https://doi.org/10.1186/s12884-020-2845-y (2020).
Chivese, T. et al. The influence of maternal blood glucose during pregnancy on weight outcomes at birth and preschool age in offspring exposed to hyperglycemia first detected during pregnancy, in a South African cohort. PLoS One. 16 (10), e0258894. https://doi.org/10.1371/journal.pone.0258894 (2021).
[Growth standard. Curves of birth weight, length and head circumference of Chinese newborns of different gestation]. Zhonghua Er Ke Za Zhi. 58 (9), 738–746. https://doi.org/10.3760/cma.j.cn112140-20200316-00242 (2020).
International Association of D, Pregnancy Study Groups Consensus P. International association of diabetes and pregnancy study groups recommendations on the diagnosis and classification of hyperglycemia in pregnancy. Diabetes Care. 33 (3), 676–682. https://doi.org/10.2337/dc09-1848 (2010).
Nelder, J. A. & Wedderburn, R. W. M. Generalized linear models. Royal Stat. Soc. J. Ser. A: Gen. 135 (3), 370–384. https://doi.org/10.2307/2344614 (1972).
Zhang, L. et al. Association between triglyceride-glucose index, its trajectories and the risk of large for gestational age — Beijing Municipality, China. 2018–2022.7 (20).
Gauthier, J., Wu, Q. V. & Gooley, T. A. Cubic splines to model relationships between continuous variables and outcomes: a guide for clinicians. Bone Marrow Transpl. 55 (4), 675–680. https://doi.org/10.1038/s41409-019-0679-x (2020).
Scholl, T. O., Sowers, M., Chen, X. & Lenders, C. Maternal glucose concentration influences fetal growth, gestation, and pregnancy complications. Am. J. Epidemiol. 154 (6), 514–520. https://doi.org/10.1093/aje/154.6.514 (2001).
Economides, D. L. & Nicolaides, K. H. Blood glucose and oxygen tension levels in small-for-gestational-age fetuses. Am. J. Obstet. Gynecol. 160 (2), 385–389. https://doi.org/10.1016/0002-9378(89)90453-5 (1989).
Kc, K., Shakya, S. & Zhang, H. Gestational diabetes mellitus and macrosomia: a literature review. Ann. Nutr. Metab. 66 (Suppl 2), 14–20. https://doi.org/10.1159/000371628 (2015).
Nicholas, L. M. et al. The early origins of obesity and insulin resistance: timing, programming and mechanisms. Int. J. Obes. (Lond). 40 (2), 229–238. https://doi.org/10.1038/ijo.2015.178 (2016).
Barrett, H. L., Dekker Nitert, M., McIntyre, H. D. & Callaway, L. K. Normalizing metabolism in diabetic pregnancy: is it time to target lipids? Diabetes Care. 37 (5), 1484–1493. https://doi.org/10.2337/dc13-1934 (2014).
Kramer, M. S. et al. Maternal lipids and small for gestational age birth at term. J. Pediatr. 163 (4), 983–988. https://doi.org/10.1016/j.jpeds.2013.05.014 (2013).
Parlakgumus, H. A., Aytac, P. C., Kalaycı, H. & Tarim, E. First trimester maternal lipid levels and serum markers of small- and large-for-gestational age infants. J. Maternal Fetal Neonatal Med. (2014).
Vrijkotte, T. G. M., Algera, S. J., Brouwer, I. A., van Eijsden, M. & Twickler, M. B. Maternal triglyceride levels during early pregnancy are associated with birth weight and postnatal growth. J. Pediatr. 159 (5), 736–42e1. https://doi.org/10.1016/j.jpeds.2011.05.001 (2011).
Brett, K. E., Ferraro, Z. M., Yockell-Lelievre, J., Gruslin, A. & Adamo, K. B. Maternal–Fetal nutrient transport in pregnancy pathologies: the role of the placenta. Int. J. Mol. Sci. 15 (9), 16153–16185. https://doi.org/10.3390/ijms150916153 (2014).
Zhang, K. et al. The associations of gestational weight gain and midpregnancy lipid levels with placental size and placental-to-birth weight ratio: findings from a Chinese birth cohort study. BMC Pregnancy Childbirth. 23 (1), 725. https://doi.org/10.1186/s12884-023-05991-x (2023).
Díaz, P., Harris, J., Rosario, F. J., Powell, T. L. & Jansson, T. Increased placental fatty acid transporter 6 and binding protein 3 expression and fetal liver lipid accumulation in a mouse model of obesity in pregnancy. Am. J. Physiology-Regulatory Integr. Comp. Physiol. https://doi.org/10.1152/ajpregu.00385.2015 (2015).
Strøm-Roum, E. M., Haavaldsen, C., Tanbo, T. G. & Eskild, A. Placental weight relative to birthweight in pregnancies with maternal diabetes mellitus. Acta Obstet. Gynecol. Scand. 92 (7), 783–789. https://doi.org/10.1111/aogs.12104 (2013).
Kampmann, U., Knorr, S., Fuglsang, J. & Ovesen, P. Determinants of maternal insulin resistance during pregnancy: an updated overview. J. Diabetes Res. 2019 (1), 5320156. https://doi.org/10.1155/2019/5320156 (2019).
Balachandiran, M. et al. Placental accumulation of triacylglycerols in gestational diabetes mellitus and its association with altered fetal growth are related to the differential expressions of proteins of lipid metabolism. Exp. Clin. Endocrinol. Diabetes. 129, 803–812. https://doi.org/10.1055/a-1017-3182 (2020).
Schaefer-Graf, U. M. et al. Differences in the implications of maternal lipids on fetal metabolism and growth between gestational diabetes mellitus and control pregnancies. Diabet. Med. 28 (9), 1053–1059. https://doi.org/10.1111/j.1464-5491.2011.03346.x (2011).
Ortega-Senovilla, H., Schaefer-Graf, U., Meitzner, K., Abou-Dakn, M. & Herrera, E. Decreased concentrations of the lipoprotein lipase inhibitor Angiopoietin-Like protein 4 and increased serum triacylglycerol are associated with increased neonatal fat mass in pregnant women with gestational diabetes mellitus. J. Clin. Endocrinol. Metabolism. 98 (8), 3430–3437. https://doi.org/10.1210/jc.2013-1614 (2013).
Lin, L., Lin, J., Yang, F., Chen, S. & Liu, Z. Association of triglyceride-glucose index with risk of large for gestational age: A prospective cohort study. diabetes, metabolic syndrome and obesity. (2023).
Ramdas Nayak, V. K., Satheesh, P., Shenoy, M. T. & Kalra, S. Triglyceride glucose (TyG) index: A surrogate biomarker of insulin resistance. J. Pak Med. Assoc. 72 (5), 986–988. https://doi.org/10.47391/jpma.22-63 (2022).
Funding
This work was funded by the National Key Technologies Research and Development Program of China (grant number 2016YFC1000301, 2016YFC1000307) and Capital’s Funds for Health Improvement and Research, 2024-2-8023.
Author information
Authors and Affiliations
Contributions
Jing Wang and Yuanyuan Wang contributed to the study conception and design. Yuanyuan Wang, Jing Wang, Ya Zhang, Yuan Zhang, Li Lin, Ma Xu contributed to project administration. Ma Xu, Li Lin, YuanyuanWang and Jing Wang contributed to funding acquisition. Di Wu, Bo Peng, Jing Wang, Xingyan Liu contributed to data curation. Bo Peng and Di Wu contributed to study methodology, formal analysis. Visualization was performed by Di Wu. Validation was performed by Bo Peng. The first draft of the manuscript was written by Di Wu and the manuscript was edited by Bo Peng, Yuan Zhang, Jing Wang, Yuanyuan Wang. All authors commented on previous versions of the manuscript and approve the final manuscript.
Corresponding authors
Ethics declarations
Competing interests
The authors declare no competing interests.
Ethics statement
All methods in this study were carried out in accordance with relevant guidelines and regulations. The experimental protocols were approved by the Biomedical Ethics Committee of Peking University International Hospital (Approval No. 2024-KY-0041-01).
Consent to participate
Informed consent was obtained from all individual participants included in the study. For neonatal data included in the study, informed consent was obtained from the infants’ parents or legal guardians.
Additional information
Publisher’s note
Springer Nature remains neutral with regard to jurisdictional claims in published maps and institutional affiliations.
Supplementary Information
Below is the link to the electronic supplementary material.
Rights and permissions
Open Access This article is licensed under a Creative Commons Attribution-NonCommercial-NoDerivatives 4.0 International License, which permits any non-commercial use, sharing, distribution and reproduction in any medium or format, as long as you give appropriate credit to the original author(s) and the source, provide a link to the Creative Commons licence, and indicate if you modified the licensed material. You do not have permission under this licence to share adapted material derived from this article or parts of it. The images or other third party material in this article are included in the article’s Creative Commons licence, unless indicated otherwise in a credit line to the material. If material is not included in the article’s Creative Commons licence and your intended use is not permitted by statutory regulation or exceeds the permitted use, you will need to obtain permission directly from the copyright holder. To view a copy of this licence, visit http://creativecommons.org/licenses/by-nc-nd/4.0/.
About this article
Cite this article
Wang, J., Wu, D., Peng, B. et al. The associations between maternal glycolipid metabolism and fetal growth in term births. Sci Rep 15, 38591 (2025). https://doi.org/10.1038/s41598-025-22411-6
Received:
Accepted:
Published:
Version of record:
DOI: https://doi.org/10.1038/s41598-025-22411-6


