Abstract
Asymmetry in the perception and expression of emotions in the brain can be observed in the cheek presented in a portrait. The left cheek is more often put forward in an emotional photo, but the context of the portrait is important as leftward posing is attenuated in more serious settings. Similarly, leftward posed portraits are perceived as more emotionally expressive. However, there has not been an investigation into how the perception of left and right poses impacts vote choice. We predicted that, when tasked with identifying the portrait they would vote for and the portrait that appeared more friendly, participants would vote for individuals presenting the right cheek and find those individuals showing the left cheek more friendly. Participants’ scores indicated more left cheek poses were selected for friendliness and more right cheek poses for voting, with a significant difference found between the conditions. We predicted that more right cheek poses would emerge when a sample of elected officials’ portraits were examined. To the contrary, we found a disconnect with participant vote choice as politicians more frequently presented their left cheek, suggesting that it might be time for politicians to put their right cheek forward.
Politicians pose left but the voter is always right
Politics relies heavily on public opinion, advertising, and promotional material. As politicians spend much of their time in the public eye, determining what is being communicated to the public is important for securing votes, remaining in office, and maintaining political success. More specifically, politicians must work to ensure their non-verbal communication is consistent with their verbal message and aligns with the desires of their voters. A politician’s headshot is an acute example of the balancing act a single image must do, ensuring emotional expressivity and non-verbal information is consistent with their message1.
Evidence suggests there is a lateral asymmetry of emotion, where portraits with leftward posed subjects are perceived as more emotionally expressive than subjects in other poses2,3. This phenomenon is known as the leftward posing bias2,4. Sackeim et al.‘s5 seminal study of emotion perception found support for the phenomenon, using composite face images. A composite image consisting of two left sides of the face and another consisting of the two right sides of the face were created by recombining half-faces after splitting original and mirror images of the face at the midline. Sackeim et al. concluded that composite images made from two left sides of the face were perceived as expressing emotions more intensely across various emotions. Lindell and Savill6 point out that research examining the asymmetrical expression of emotion dates to 1872 when Darwin observed the two halves of the face moving differently, where sneering movements were more prominent on the left side of the face.
The leftward posing bias may be found through naturalistic observation as well as in laboratory settings. For example, Conesa and colleagues7 examined 4180 portraits from various media outlets and found that the majority were left-half profiles. McManus and Humphrey4 report the same leftward asymmetry in 1474 painted portraits produced in Western Europe. Labar8 also found a greater prevalence of putting the left cheek forward in yearbook photos. In the laboratory, Nicholls et al.9 has experimentally replicated the phenomenon. Giving instructions to participants to pose for either an emotional photograph for their family or a more serious photograph for the Royal Society, Nicholls et al. found that participants were more likely to offer the left cheek for the family photo and the right cheek for the scientist’s portrait.
Building on the work of Nicholls et al.9 andChurches et al.10, Lindell and Savill6 provide evidence to further suggests that context of a portrait can modulate emotion expression through lateral posing, where leftward poses are prevalent in more stereotypically emotional contexts. Lindell and Savill6 studied the perception of leftward and rightward poses and how they relate to academic specialization, finding the leftward pose associated with students studying English and the rightward pose with the students in the sciences. Churches and colleagues10 further examined posing in academia, aiming to determine if lateral posing biases differ according to disciplines. Through the examination of 5829 academic faculty portraits, they found English academics posed to the left more often and science faculty presented their right cheek more often, findings that are largely consistent with those of Lindell and Savill.
Like academic stereotypes, politics is largely viewed on a spectrum where society has created (often critical) stereotypes that differentiate the two sides of the political spectrum, with emotion falling on the liberal left and seriousness on the conservative right. Graham et al.11 demonstrated that people hold various political stereotypes that have deep roots in society, and these stereotypes may be used to influence the perception of politicians12. Farwell and Weiner13 found that conservatives are perceived as less empathetic by both liberals and conservatives, and Graham et al. has proposed the stereotype that conservatives enjoy seeing the rich get richer while others suffer. Conversely, the generally held stereotype of liberals being more helpful and generous has been spun negatively into an ‘anything goes’ attitude11,13. The influence of these stereotypes on voters may be problematic as candidates’ political platforms can be eclipsed by overexaggerated differences between liberals and conservatives, with the true differences between the parties being misunderstood11.
Emotion is strategically used across the political spectrum and likely more nuanced than emotional liberals and serious conservatives, however, the perception of politicians continues to be influenced by factors other than their political platforms. Lenz and Lawson14 concluded that uninformed voters tend to rely more on the superficial characteristics of a candidate, such as attractiveness and competency. Further, in contrast to knowledgeable voters, uninformed voters were more influenced by the content and appearance of the candidate when watching television. Brader15 found that the use of enthusiastic images and music to positively portray a candidate in advertisements makes voters more likely to vote and increases interest.
Political headshots may also strategically use emotion. Using only headshots of United States (U.S.) Senate candidates, Rule and Ambady12 found that left-wing (Democrat) and right-wing (Republican) candidates could be accurately discriminated. Additionally, they had participants categorize images as either Republican or Democratic, and then a separate group of participants rated the same images as either warm or powerful based on the traits they perceived. They concluded that faces perceived as warm were more likely to be categorized as Democrats, and the images perceived as powerful were more likely to be Republicans, consistent with the stereotypical traits associated with each ideology. Duerksen and Elias16 had participants rate images of faces on a continuum from very conservative to very liberal, focussing on the perception of politicians and how it relates to the leftward posing bias. They found that a leftward posed image was rated as significantly more liberal than a rightward pose, consistent with Rule and Ambady’s finding of the left side of the political spectrum being perceived as more emotional than the right.
A study by Thomas and colleagues17 examined the use of emotion, through lateral poses, by political candidates in 1,538 campaign photographs of politicians from Australia, Canada, U.S., and the United Kingdom. Across all countries, leftward poses were prevalent over rightward poses with right-wing politicians more likely to offer the left cheek than left-wing politicians. Findings from Canada suggest that a politician’s specific context may influence the degree to which they display emotion through posing. Members of the centre right-wing Conservative Party were more likely to use emotion and pose leftward compared with members of the centre-left Liberal Party who more often offered the right cheek. Thomas and colleagues also found that female politicians were more likely to face directly forward (i.e., no asymmetrical posing bias) and suggest that perhaps centre-left and female Canadian politicians avoid leftward posing, concealing emotion, in an effort to counter stereotypes.
Compelling explanations to account for the relationship between the leftward pose and emotionality have arisen (see4for four examples), but two theories have emerged as most likely explanations. The first, the right-hemisphere hypothesis (RHH18;, states that the asymmetry in the expression of emotions results from the right hemisphere’s dominance for processing all emotions19. Further, the RHH posits that because the lower two-thirds of the face are controlled by the contralateral hemisphere, facial expressions on the left side are more intense via control of the emotional right hemisphere2. This provides an explanation as to why portraits with subjects not presenting the left cheek are more often judged as impassive and serious6. Lesion studies provide evidence for the RHH, as individuals with unilateral right hemisphere damage demonstrate impaired emotion recognition and become emotionally indifferent19.
The second theory, the valence hypothesis20, suggests that the lateralization of emotional processes depends on the qualities of emotions. Specifically, the left hemisphere is dominant for positive emotions (e.g., happiness, surprise) whereas the right hemisphere shows dominance for negative emotions (e.g., fear, anger, disgust, sadness19. Lesion studies also support the valence hypothesis, where unilateral left hemisphere damage can lead to the onset of depressive symptoms and unilateral right hemisphere damage may result in pathological laughter19. Empirical support for the RHH is more consistent while support for the valence hypothesis is mixed17. For example, studies finding larger muscle activity on the left side of the face for positive reactions supports the RHH and contrasts with the theory that the right hemisphere is primarily responsible for negative emotions21.
The effect that context has on emotion expression and perception, through presentation of the left or right cheek, has been reported across several studies with the typical emotional left cheek bias robustly attenuated across more serious contexts6,9,10. As emotion has a role in appealing and influencing voters15, this study explores the relationship between lateral posing and politics. First, we presented participants with left- and right-posed images in a forced choice paradigm to experimentally investigate if lateral pose influences voting behaviour. Next, to examine if a political context impacts lateral cheek presentation in portraiture, we carried out a content analysis of elected officials’ portraits at federal and provincial levels.
In the experimental investigation, Study 1, we predict that when the task is to identify the more friendly image, a leftward posing bias will emerge. Oppositely, when the task context changes to politics and selecting who would be voted for, a rightward posing bias is predicted. In Study 2, the content analysis, we predict that right cheek poses will occur more frequently among elected politicians. Findings from the few studies examining lateral posing in politics are mixed, making a direct prediction complicated, however, our prediction is guided by the more general finding of serious contexts attenuating leftward poses.
Results
Study 1: the voting experiment
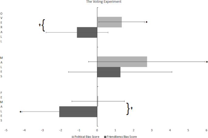
Results from the voting experiment are represented graphically in Fig. 1.
The mean bias scores in the political and friendliness conditions, displayed by sex of the participant as well as overall. “*” indicates a score significantly different from 0 or “no bias” and “†” indicates that conditions are different from one another. Error bars represent 95% confidence intervals.
Friendliness condition
We predicted that participants would more often select images of left-posed stimuli in the friendliness condition, resulting in a negative bias score and replicating the leftward posing bias. Whereas the negative bias score (M = −1.1; SD = 5.29) across our sample of 42 participants confirmed our prediction, a one-tailed t-test against a midpoint of zero did not reach significance: t(41) = −1.34, p =.093.
Participant sex and the gender of models in the stimuli were also analyzed. Female participants (N = 30) had a mean bias score of −2.07 (SD = 5.47), indicating that leftward poses appeared more friendly. When compared against zero in a one-sample t-test, this leftward bias was significant, t(29) = −2.069, p =.024. Conversely, male participants (N = 11) more often chose right cheek poses as more friendly (M = 1.27, SD = 4.22), however, the mean did not significantly differ from zero in a one-sample t-test, t(10) = 1.00, p =.170. Male and female participants’ scores were found not to be different from each other through an independent samples t-test, t(39) = 1.83, p =.075. Analyzing the gender of the stimuli with one sample t-tests revealed that although leftward posed male (N = 14, M = −3.29, SD = 14.6) and leftward posed female stimuli (N = 9, M = −5.1, SD = 13.64) were chosen as friendly more often, neither bias was significant (males: t(13) = − 0.84, p =.208; females: t(8) = −1.124, p =.15) nor was the difference between them, t(21) = 0.3, p =.767.
Political condition
A one-sample t-test comparing the mean bias score (M = 1.17, SD = 4.1) of all participants to a midpoint of zero was significant, t(40) = 1.84, p =.037, indicating that right cheek poses were selected more often, as predicted, when asked to choose an image to vote for. While both female (M = 0.53, SD = 3.79) and male (M = 2.73, SD = 4.76) participants displayed positive bias scores, only the male participants’ score was significantly different from no bias when subjected to a one sample t-test against zero, t(10) = 1.9, p =.043. An independent samples t-test comparing bias scores of male and female participants was not significant, t(39) = 1.535, p =.133.
One-sample t-tests against zero were used to examine the influence that gender of the stimuli may have on voting. Whereas left posed male stimuli (N = 10) were more likely to be voted for (M = −2, SD = 14.11), female stimuli (N = 14) posed to the right were more likely to be voted for (M = 2.57, SD = 11.93). Neither of these biases were significant, (males: t(9) = − 0.45, p =.332; females: t(13) = 0.81, p =.22) and an independent samples t-test found no significant difference between bias scores for male and female stimuli, t(22) = − 0.86, p =.2.
Comparing the friendliness and political conditions
Paired samples t-tests were used to compare friendliness and political bias within female participants, within male participants, and overall. Comparing across conditions necessitated the removal of outliers specific to each condition (N = 3), a participant with no declared sex (N = 1), and a left-handed participant (N = 1). This resulted in usable data for contrasts between sexes from ten male participants and twenty-nine female participants, and for the overall comparison there were forty participants (as the participant with no declared sex was put back in for this analysis). Among females, the preference for leftward poses in the friendliness condition (M = −1.93, SD = 5.52) was significantly different from the preference for rightward poses in the political condition (M = 0.76, SD = 3.64), t(28) = −2.22, p =.035 (two tailed). Males displayed preferences for right poses in both the friendliness condition (M = 1.0, SD = 4.35) as well as the political condition (M = 3.4, SD = 4.43) and these were found to not be significantly different from each other, t(9) = −1.56, p =.154 (two tailed). Overall bias scores, indicating that more leftward posed stimuli were chosen in the friendliness condition (M = −1.1, SD = 5.3) and more rightward posed stimuli were chosen in the political condition (M = 1.35, SD = 3.9), were significantly different from each other, t(39) = −2.54, p =.008.
Study 2: politician content analysis
MPs
Three-hundred and thirty-eight portraits of sitting MPs were coded for lateral pose, with 148 MPs showing their left cheek, 124 presenting their right cheek, and 66 displaying no lateral bias (posed facing forward). A chi-square for the main effect of pose was significant, χ2 (2, N = 338) = 31.569, p <.001, where leftward posed images (44%) occurred more than rightward posed images (36%) or forward-facing images (20%). This effect was consistent among male MPs, with left cheek presentations (106 or 45%) occurring more frequently than right cheek (91 or 38%) or forward poses (41 or 17%), χ2 (2, N = 238) = 29.216, p <.001. There were more left cheek poses within female MPs as well (42 or 42%), however the main effect of pose was not significant, χ2 (2, N = 100) = 4.340, p =.114.
When categorized by party, 73 (47%) Liberal MPs posed with their left cheek forward, significantly more than right cheek (51 or 33%) and forward-facing poses (30 or 20%), χ2 (2, N = 154) = 18.013, p <.001. Similarly, 43% of Conservative MPs presented their left cheek (N = 52) significantly more than right cheek (49 or 41%) or forward-facing poses (19 or 16%), χ2 (2, N = 120) = 16.65, p <.001. No lateral pose was more likely to occur among NDP members, χ2 (2, N = 24) = 0.75, p =.687, nor Bloc Quebecois MPs, χ2 (2, N = 32) = 3.25, p =.197. Samples of Green Party members (N = 3) and Independent members (N = 5) were deemed to small to be of value. Results from the examination of MPs’ poses are graphically represented in Fig. 2.
Frequencies of Canadian Members of Parliament (N = 338) separated by gender, political party, and overall. “*” indicates a lateral pose that was more likely to occur than others according to chi-square analysis.
MLAs
Analyzing the poses of Saskatchewan MLAs revealed a consistent pattern with Canadian MPs. Thirty-nine MLAs displayed a left cheek pose (64%), nine showed their right cheek (15%), and thirteen posed facing forward (21%). A chi-square analysis found that leftward poses occurred more than rightward or centre poses, χ2 (2, N = 61) = 26.098, p <.001. There was a significant main effect of pose among male MLAs, χ2 (2, N = 44) = 21.864, p <.001, where left cheek poses (29 or 66%) occurred more frequently than right cheek (5 or 11%) or forward-facing poses (10 or 23%). Consistent with male MLAs, left cheek poses (10 or 59%) were more frequent than right cheek (4 or 23%) or forward-facing poses (3 or 18%) among the seventeen female MLAs, however, the chi-square test was not significant, χ2 (2, N = 17) = 5.059, p =.08. Examining poses within each party revealed that in the Saskatchewan Party, thirty (63%) members displayed their left cheek, six (12%) showed their right cheek, and twelve (25%) posed facing forward, resulting in a significant main effect of pose, χ2 (2, N = 48) = 19.5, p <.001. The majority (9 or 69%) of Saskatchewan New Democratic Party MLAs displayed a leftward pose χ2 (2, N = 13) = 8.0, p =.018. However, this result should be interpreted cautiously as the number of right cheek poses (3 or 23%) and forward-facing poses (1 or 8%) among the remaining Saskatchewan New Democratic Party MLAs violated the chi-square assumption of a minimum expected cell frequency of 4.3. Results from the examination of MLAs’ poses are graphically represented in Fig. 3.
Frequencies of Saskatchewan Members of the Legislative Assembly (N = 61) separated by gender, political party, and overall. “*” indicates a lateral pose that was more likely to occur than others according to chi-square analysis.
Discussion
A politician (or anyone) would disagree with being labelled as either emotional or serious, and no doubt would argue that they can be both. Whereas this is true in everyday life, politics relies heavily on image. Politicians and their teams may strategically attempt to make certain photos and video clips representative of them. The still image, however, eliminates the complexities and richness of video, and can be particularly concise is conveying non-verbal cues. Past research from Lenz and Lawson14 suggests that a politician’s appearance and superficial characteristics influence voters, especially the uninformed voter, making a headshot critical for securing votes. Previous research examining how posing for a portrait may change depending on context suggests that the left cheek is put forward to display emotion and right cheek and forward-facing poses occur in more serious contexts2,3,6,9,10. The limited research examining posing and emotions in politics has focussed on ideological differences of politicians12,16,17 rather than differences between political and non-political contexts.
Findings of a right cheek bias in our experimental investigation (Study 1) examining the influence of lateral posing on vote choice is a first, and contrasts with the findings of a left cheek bias from our content analysis of politicians’ portraits (Study 2). One could argue that the sample size in Study 1 is problematic and that the alternative hypothesis has incorrectly been accepted (Type I error). However, a small sample size is a common source of Type II error, or incorrectly accepting the null hypothesis, and the directional predictions made in Study 1 sought to reject the null hypothesis. The Study 1 sample size was sufficient to detect significant effects and future research that increased the sample size is likely to report larger effects.
As predicted, in Study 1 context was important for participants when presented with left- and a right-posed images of the same person. We found that more left cheek images were chosen when seeking a friendly face, but that a significant right cheek preference resulted in the political condition. We suggest that the significant difference between conditions for left and right poses supports our hypothesis that context modulates lateral posing preferences, with participants preferring to vote for rightward posed models.
In Study 2, the content analysis of elected government officials in Canada, we predicted that a rightward bias would emerge in political headshots. However, we found more left cheek poses among our sample of politicians, suggesting that more images were chosen to be displayed that are consistent with photos considered to be more emotionally expressive. These findings support selected pervious findings specific to lateral posing in politics from Thomas et al.17 and is consistent with non-posing emotional behaviour that is laterally biased following from the Gainotti’s18 RHH such as rightward embracing22.
Further analyses of our data revealed more nuance related to sex and gender. In Study 1, we did not find any effect of gender in the stimuli, contrary to what has been reported by others16,17,23. Rather, we report significant participant sex differences, where females showed a left cheek bias in the Friendliness Condition and males showed a right cheek bias in the Political Condition. Future research replicating these findings is needed and would benefit from a larger and more balanced sample, however, findings from past research may provide satisfactory explanations to interpret these differences. As suggested by Briton and Hall1 as well as Thompson and Voyer24, there may be a female advantage for non-verbal emotion recognition which, in a posing task, results in the better identification of the more emotional left hemiface.
Between Gainotti’s18 RHH and Levy’s25 theory of stronger brain asymmetry in males, an interpretation of the selection of right cheek stimuli by males in both the Friendly Condition (not significant) and the Political Condition (significant) may follow from a type of perceptual bias. Gainotti posits that emotional processing is a right hemisphere dominant function, and according to Levy, cognitive functions in males are more strongly lateralized to the left or right hemisphere, leading males to have strong right hemisphere representation for emotion. In combination with the contralateral nature of vision, (where information from visual stimuli in the left visual field is first projected to the right hemisphere, and vice versa), the right hemiface (of a face presented centrally) will be perceived preferentially. Lacking the proficiency of females in non-verbal emotion recognition, this mechanism may be relied on by males and lead to a widespread preference for the right hemiface, especially when the less expressive right hemiface is paired with a less emotional context.
In the Study 2 content analysis, images of both the federal and provincial politicians more often had the left cheek put forward. This finding suggests that politicians and their teams prefer to use official images displaying the left cheek, contrary to our hypothesis. Apart from assuming that a political context elicits a leftward pose, attention should be drawn to the greater number of males than females in both the provincial and federal samples. Although female politicians displayed the left cheek more than the right cheek, or a forward-facing pose, only the leftward bias of male politicians reached significance, suggesting that males are driving the effect. It could be the case that, as with perception, Levy’s25 stronger brain asymmetry helps to understand emotion expression through lateral posing. Previous findings (e.g.9) support the notion of more robust lateralized emotional expression, that is, a more reliable leftward posing in males.
Alternatively, as has been suggested by Duerksen and Elias16 and Thomas et al.17, politicians may pose in such a way to counteract stereotypes. Our Study 2 data presented here may also fit this explanation, where politicians and their teams use laterally posed photos to counter gender-based narratives. Photos of male politicians showing the left cheek, presenting them as more friendly, are more likely to be selected to balance out the perception of being less emotional. On the other hand, being aware that female politicians are perceived as more emotional, photos of female politicians concealing emotion with right or forward-facing poses are more likely to be selected. In contrast to past research reporting differences based on the gender of the model (e.g23., analyzing the gender of the stimuli in Study 1 lead to inconclusive findings and caution of any interpretation based on stimuli gender. Further, as previous investigations have tended to only assess differences based on the genders of the stimuli16,17,23, it is notable that, in the study presented here, we also examined sex differences of participants.
Nicholls and colleagues9 found that manipulating the context when taking a photo could modulate the lateral direction of the model’s pose, where the left cheek was offered when asked to pose for a more emotional photo but turned to the right for a serious photo. We report here that when asked to choose who to vote for, participants chose rightward posed models significantly more. Additionally, we report a significant difference between the friendliness and political conditions for left- and right-posed models, respectively. This modulation of lateral pose preference by context stands in contrast to the findings of our content analysis, where the leftward posing bias was widespread across 399 political headshots, suggesting it might be time for politicians to put their right cheek forward.
Method
Study 1: the voting experiment
The Behavioural Research Ethics Board at the University of Saskatchewan (#2401) approved this research, and this experiment was performed in accordance with their guidelines and regulations. All participants gave informed consent.
Participants
Forty-four participants (1 left-handed) were recruited through the Department of Psychology Participant Pool at the University of Regina and received one course credit as compensation. Participants were primarily female (31 female, 12 male, 1 did not disclose) and had reached the legal age to vote in Canada, with a mean age of 22.1 (SD = 5.9; range of 18 to 43).
Stimuli
Images of 24 models (12 male, 12 female) varying in age, ethnicity and aesthetics were collected from the FEI Face Database, which is a database used specifically for research purposes (available from https://fei.edu.br/~cet/facedatabase.html; Department of Electrical Engineering, Centro Universitario da FEI). All photos were taken with models showing a neutral expression in front of a white backdrop, as certain emotions evoke a larger reaction than others21,26. One left cheek pose, and one right cheek pose were selected for each model. Each image was digitally mirror-reversed, resulting in four images from each model (original left, original right, mirror left, mirror right). Mirror reversed images were included to control for any hemiface differences of the models.
Stimuli were created for the forced choice paradigm so that two images of the same model were viewed simultaneously, one above the other, and displayed in the center of the screen (to reduce any lateral visual field influence). Image arrangement was counterbalanced so that half of the trials contained left cheek poses on top and the other half had right cheek poses on top. Two blocks of 24 trials were created using 12 models in one block and 12 different models in the other block, with each block containing 12 original and 12 mirror image pairs of the models. Figure 4 gives an example of one trial using original and mirrored images of a model from the FEI Face Database (https://fei.edu.br/~cet/facedatabase.html) presented one above the other.
Images arranged as they were displayed to participants, where participants selected the image that best answered one of the questions: “Choose the more friendly looking image.” or “Choose the image you would vote for.” Images are from the FEI Face Database, which is a database used specifically for research purposes and are used with permission (https://fei.edu.br/~cet/facedatabase.html).
Measures
Questions about participant age, sex, and the presence of any visual impairments were included. Additionally, participants completed the Waterloo Handedness and Footedness Questionnaire-Revised, a behavioural predictor of cerebral lateralization that asks fifteen questions about hand preference and nine questions about foot preference27. Responses given on a five-point Likert scale (left always, left usually, equal, right usually, right always) are for both fine motor (“In which hand would you hold a needle when sewing?”) and gross motor actions (“Which foot would you use to kick a stationary ball at a target straight ahead?”). Acquired preferences are accounted for by the questions: “Is there any reason (e.g., injury) why your hand/foot preference has changed for any of the above activities? If yes, please explain.” and “Have you ever been giving special training or encouragement to use a particular hand/foot for certain activities? If yes, please explain.”.
Procedure
Data for the experimental study were collected remotely through the online survey platforms Voxco (https://www.voxco.com) and Qualtrics (www.qualtrics.com) (where the appearance of the experiment did not vary between the two sites). Prior to the beginning of the experiment participants were given instructions to begin only when they had 30 min of uninterrupted time and complete the survey in one sitting. Further instructions were given to silence all device notifications, avoid distractions, and use a device with a large screen positioned at their body’s midline.
Participants were informed on the purpose and procedure of the study, and informed that when they continued, they gave their implied consent. Participants were first presented with demographic, handedness, and footedness questions (as described in Measures). Next, participants were given general instructions and information about the experiment, including that pairs of images (one on top of the other) would be shown and that their task was to select the image that best answered the related question. Trials were free viewing, and participants were informed that images would remain on the screen until a selection was made by clicking directly on the image they believed responded best to the question. Participants were instructed to make their selection quickly, while remaining accurate. Lastly, an assurance was given that seeing several images of the same individual was normal.
Three practice trials were completed first, where the question was to select the image that was more attractive. Two blocks of test trials, separated by a rest break, followed the practice trials, with the order of administration of the blocks counterbalanced between participants. The instructions for one block were to select the image that you would vote for in a political election and in the other to select the image that appeared more friendly. Upon finishing, participants were presented with a debriefing form detailing the importance of the study and describing the leftward posing bias phenomenon and how it may influence voting.
Coding and scoring
Across both conditions, left cheek pose selections were coded with “−1” and right cheek pose selections with “+1”. Scores were aggregated and bias scores were calculated for each participant in each condition. Outliers were calculated by comparing the bias score of each participant to the group mean, removing scores greater than two standard deviations above or below the group mean. Following this method, outlier data from one participant were removed from the friendliness condition, and data from two participants were removed from the political condition. In analyses concerning sex of the participant, data were not analyzed from one participant who did not disclose their sex. Data from one left-handed participant were also removed, as potential differences in brain lateralization between left- and right-handers may influence performance27. This resulted in a sample of 42 participants in the friendliness condition and 41 participants in the political condition. This same outlier procedure was used in separate analyses examining the effect of the gender of the stimuli, resulting in the removal of one image. One sample, independent samples, and paired samples t-tests were used to analyze the data.
Study 2: politician content analysis
Official headshots were collected for Members of Parliament (MP) from the official government website for the House of Commons (https://www.ourcommons.ca/Members/en). The major political parties in Canada can be placed on an ideological spectrum where the New Democratic Party (NDP) occupies the left-wing to the centre-left, the Liberals in the centre-left to centre, and the Conservatives in the centre-right to right wing. Other parties, such as the Bloc Quebecois that focus on sovereignty in the province of Quebec, the Green Party, which is primarily concerned with green politics, and MPs sitting as Independents with varying ideologies, do not occupy a left or right area of the spectrum.
Official headshots of the Members of the Legislative Assembly (MLA) in Saskatchewan were drawn from the official government website (https://www.legassembly.sk.ca/mlas/). For MLAs that did not have a photo on the official website, an image was retrieved from the member’s personal political website. The Saskatchewan Legislature is comprised of two political parties, the left-wing to centre-left Saskatchewan New Democratic Party and the centre-right Saskatchewan Party.
Procedure
A naïve research assistant calculated the lateral pose of each political figure by holding a ruler against the computer screen and measuring the distance from the tip of the nose to the edge of the right and left cheeks. The scoring of images was consistent with Study 1, where “−1” was recorded when more left cheek was presented and “+1” when more right cheek was presented. Additionally, a “0” was recorded for forward facing poses (i.e., no lateral posing bias). The presumed gender was also recorded for each image. Two additional coders independently validated the lateral pose of each image without a ruler. In the event a discrepancy arose it was resolved by using the direction upon which the majority of raters agreed.
Data Availability
Data supporting the results found in the article are available from the corresponding author.
References
Briton, N. J. & Hall, J. A. Beliefs about female and male nonverbal communication. Sex. Roles. 32, 79–90. https://doi.org/10.1007/BF01544758 (1995).
Lindell, A. K. The silent social/emotional signals in left and right cheek poses: A literature review. Laterality 18, 612–624. https://doi.org/10.1080/1357650X.2012.737330 (2013).
Nicholls, M., Wolfgang, B. J., Clode, D. & Lindell, A. K. The effect of left and right poses on the expression of facial emotion. Neuropsychologia 40, 1662–1665. https://doi.org/10.1016/S0028-3932(02)00024-6 (2002).
McManus, I. C. & Humphrey, N. K. Turning the left cheek. Nature 243, 271–272. https://doi.org/10.1038/243271a0 (1973).
Sackeim, H. A., Gur, R. C. & Saucy, M. C. Emotions are expressed more intensely on the left side of the face. Science 202, 434–436. https://doi.org/10.1126/science.705335 (1978).
Lindell, A. K. & Savill, N. J. Time to turn the other cheek? The influence of left and right poses on perceptions of academic specialisation. Laterality 15, 639–650. https://doi.org/10.1080/13576500903201784 (2010).
Conesa, J., Brunold-Conesa, C. & Miron, M. Incidence of the half-left profile pose in single-subject portraits. Percept. Mot Ski. 81, 920–922. https://doi.org/10.2466/pms.1995.81.3.920 (1995).
Labar, M. Turning the left cheek examined using modern photography. Nature 245, 338. https://doi.org/10.1038/245338a0 (1973).
Nicholls, M. E. R., Clode, D., Wood, S. J. & Wood, A. G. Laterality of expression in portraiture: Putting your best cheek forward. Proc. Biol. Sci. 266, 1517–1522. https://doi.org/10.1098/rspb.1999.0809 (1999).
Churches, O. et al. How academics face the world: A study of 5829 homepage pictures. PLOS ONE. 7, 1–4. https://doi.org/10.1371/journal.pone.0038940 (2012).
Graham, J., Nosek, B. A. & Haidt, J. The moral stereotypes of Liberals and conservatives: exaggeration of differences across the political spectrum. PLOS ONE. 7, 1–13. https://doi.org/10.1371/journal.pone.0050092 (2012).
Rule, N. O. & Ambady, N. Democrats and Republicans can be differentiated from their faces. PLOS ONE. 5, 1–7. https://doi.org/10.1371/journal.pone.0008733 (2010).
Farwell, L. & Weiner, B. Bleeding hearts and the heartless: popular perceptions of Liberal and Conservative ideologies. Pers. Soc. Psychol. Bull. 26, 845–852. https://doi.org/10.1177/0146167200269009 (2000).
Lenz, G. S. & Lawson, C. Looking the part: television leads less informed citizens to vote based on candidates’ appearance. Am. J. Political Sci. 55, 574–589. https://doi.org/10.1111/j.1540-5907.2011.00511.x (2011).
Brader, T. Striking a responsive chord: how political Ads motivate and persuade voters by appealing to emotions. Am. J. Political Sci. 49, 388–405 (2005). https://www.jstor.org/stable/3647684
Duerksen, K. N. & Elias, L. J. Left wings to the left: posing and perceived political orientation. Laterality 23, 364–376. https://doi.org/10.1080/1357650X.2017.1362421 (2017).
Thomas, N. A., Loetscher, T., Clode, D. & Nicholls, M. Right-wing politicians prefer the emotional left. PLOS ONE. 7, 1–4. https://doi.org/10.1371/journal.pone.0036552 (2012).
Gainotti, G. Emotional behavior and hemispheric side of the lesion. Cortex 8 (1), 41–55. https://doi.org/10.1016/S0010-9452(72)80026-1 (1972).
Alves, N. T., Fukusima, S. S. & Aznar-Casanova, J. A. Models of brain asymmetry in emotional processing. Psychol. Neurosci. 1, 63–66. https://doi.org/10.3922/j.psns.2008.1.010 (2008).
Ahern, G. L. & Schwartz, G. E. Differential lateralization for positive versus negative emotion. Neuropsychologia 17 (6), 693–698. https://doi.org/10.1016/0028-3932(79)90045-9 (1979).
Dimberg, U. & Petterson, M. Facial reactions to happy and angry facial expressions: evidence for right hemisphere dominance. Psychophysiology 37, 693–696. https://doi.org/10.1111/1469-8986.3750693 (2003).
Packheiser, J. et al. Embracing your emotions: affective state impacts lateralisation of human embraces. Psychol. Res. 83, 26–36. https://doi.org/10.1007/s00426-018-0985-8 (2019).
Dunstan, C. J. & Lindell, A. K. Hemifacial preferences for the perception of emotion and attractiveness differ with the gender of the one beheld. Cogn. Emot. 26, 907–915. https://doi.org/10.1080/02699931.2011.621931 (2012).
Thompson, A. E. & Voyer, D. Sex differences in the ability to recognise non-verbal displays of emotion: A meta-analysis. Cogn. Emot. 28, 1164–1195. https://doi.org/10.1007/BF01544758 (2014).
Levy, J. Lateral specialization of the human brain: Behavioural manifestations and possible evolutionary basis. In The Biology of Behaviour (ed. Kiger, J. A., Jr.) 159–180 (Oregon State University Press, 1972).
Yamamoto, M., Kowatari, Y., Ueno, S., Yamane, S. & Kitazawa, S. Accelerated recognition of left oblique views of faces. Exp. Brain Res. 161, 27–33. https://doi.org/10.1007/s00221-004-2041-8 (2005).
Elias, L. J., Bryden, M. P. & Bulman-Fleming, M. B. Footedness is a better predictor than is handedness of emotional lateralization. Neuropsychologia 36, 37–43. https://doi.org/10.1016/S0028-3932(97)00107-3 (1998).
Author information
Authors and Affiliations
Contributions
CLB collected the data and wrote the first draft of the manuscript. AKS carried out additional analyses and prepared the final version of the manuscript. CLB, AKS, & LJE conceived the project, designed the experiment, and reviewed the manuscript.
Corresponding author
Ethics declarations
Competing interests
The authors declare no competing interests.
Additional information
Publisher’s note
Springer Nature remains neutral with regard to jurisdictional claims in published maps and institutional affiliations.
Rights and permissions
Open Access This article is licensed under a Creative Commons Attribution-NonCommercial-NoDerivatives 4.0 International License, which permits any non-commercial use, sharing, distribution and reproduction in any medium or format, as long as you give appropriate credit to the original author(s) and the source, provide a link to the Creative Commons licence, and indicate if you modified the licensed material. You do not have permission under this licence to share adapted material derived from this article or parts of it. The images or other third party material in this article are included in the article’s Creative Commons licence, unless indicated otherwise in a credit line to the material. If material is not included in the article’s Creative Commons licence and your intended use is not permitted by statutory regulation or exceeds the permitted use, you will need to obtain permission directly from the copyright holder. To view a copy of this licence, visit http://creativecommons.org/licenses/by-nc-nd/4.0/.
About this article
Cite this article
Baragar, C.L., Elias, L.J. & Smith, A.K. Politicians pose left but the voter is always right. Sci Rep 15, 38157 (2025). https://doi.org/10.1038/s41598-025-22529-7
Received:
Accepted:
Published:
Version of record:
DOI: https://doi.org/10.1038/s41598-025-22529-7



