Abstract
This study elucidates a novel Co2+ ion fluorescence chemosensor 6-bromo-3-(2-(2-(4-nitrophenyl)-4,5-diphenyl-1H-imidazol-1-yl)thiazol-4-yl)-2H-chromen-2-one (NIC), which integrates imidazole and coumarin-thiazole moiety evolved over other frequently occurring metal ions. Fluorescence spectra are specifically used to study the complexation of NIC with different metal ions in an acetonotrile: water mixture (8:2) at room temperature. When Co2+ was present, NIC shows a notable quenching of fluorescence at 450 nm as a result of a complex forming which was accompanied by the emergence of a new band at 515 nm in the uv visible spectrum. Also, the colour of NIC was changed from yellow to brown which was evident from naked eyes. The sensor NIC demonstrated its high sensitivity towards Co2+ ions with a limit of detection (LOD) of 7 µM. The Job’s plot validates the 1:1 binding stoichiometry between Co2+ and NIC. The chemosensor NIC also exhibited colorimetric and fluorometric sensing ability with a visible colorimetric response to Trifluoroacetic acid (TFA). Further, the study was also validated with zebrafish bioimaging studies.
Similar content being viewed by others
Introduction
Cobalt is a transition metal element that is frequently used in many products, including batteries alloys1, and catalysts2. It is found in very small quantities in rocks, soil, plants, and animals. Cobalt, an important trace metal in the human body, is involved in many physiological functions that are critical to every animal’s metabolism3,4. In the meantime, cobalt is an essential component of cobalamin, or vitamin B12, the deficiency of which eventually results in neurological and haematological problems5,6,7,8. Thus, organisms benefit from cobalt, a trace element found in nature. However, the body’s overabundance of Co2+ can have detrimental consequences for humans and animals, such as asthma, rhinitis, allergic dermatitis, vasodilation, and cardiomyopathy9. Consequently, it is crucial to detect trace levels of Co2+ in biological and surroundings in a very sensitive and selective means.
A growing variety of strategies have been stated for the identification of Co2+, mainly referring to atomic absorption spectroscopy10, nanoparticles11,12,13, inductively coupled plasma atomic emission spectrometry14, electrochemical methods15. However, these approaches have certain drawbacks, such as the need for costly instrumentation, demanding of labour sample preparation processes, and skilled technicians. Due to their simplicity, sensitivity, and ease of quantification, fluorometric approaches have garnered a lot of interest in an effort to solve these complex difficulties and enable the recognition of Co2+. Because of their possible applications in sensing and data safeguarding, organic materials that show notable changes in emission and absorption spectra addressing to an acid–base stimulation have attracted a lot of attention16. Detecting volatile acids is crucial for assessing acidity in environmental, medicinal, and chemical contexts17,18,19,20. To achieve this, a lot of work has gone into developing fluorescent materials exhibiting acidochromism21.
The design and alteration of molecules has been the main focus of effort. Lu et al., for example, described the synthesis, acidochromism, solvatochromism and mechanofluorochromism of aminostyrylquinoxalines22. The compounds exhibited changes in colour and a decrease in emission when protonated by TFA. Gong et al. also reported on derivatives of dipyrrolopyrazine, showing notable red-shifts in the emission and absorption spectra upon TFA treatment, suggesting that these compounds could be used as reversible selective sensors for the detection of acids and bases23.
Many Co2+ ion sensors have been documented in the literature. For example, Fasil and his team publicized a rhodamine based selective chemosensor for the detection of Co2+ and Ni2+ in aqueous DMSO medium24. A pyridine based chemosensor was developed by Smita and team for the detection of Co2+25. An aldehyde containing chemosensor was synthesized for the selective detection of Co2+ by Prasad and et al.,26. Wang et al., reported colorimetric and fluorometric dual channel sensor for the selective detection of Co2+ and Cu2+27. A pyrazine and rhodamine based fluorescence sensor was developed for the selective detection of Co2+ by Liu et al.,28. Many fluorescent chemosensors have been developed for the identification of heavy metal ions, however the fabrication of affordable and environmentally acceptable compounds continues to be a difficult undertaking for researchers. Here, we developed a novel chemosensor 6-bromo-3-(2-(2-(4-nitrophenyl)-4,5-diphenyl-1H-imidazol-1-yl)thiazol-4-yl)-2H-chromen-2-one (NIC) for the selective recognition of Co2+. In an almost perfect aqueous acetonitrile solution, NIC clearly changed fluorescence in presence of Co2+. Significantly, NIC was able to identify Co2+ at very low concentrations. Additionally, test strip investigations demonstrated that NIC may be applied as a useful chemosensor.
Results and discussion
Chemistry
With minor modifications, 3-(2-aminothiazol-5-yl)-6-bromo-2 H-chromen-2-one (1) was synthesised as one of the starting materials using the described procedures (Scheme 1),29,30. By refluxing 3-(2-aminothiazol-5-yl)-6-bromo-2 H-chromen-2-one (1), 4-nitrobenzaldehyde (2), benzyl (3), and ammonium acetate (4) in glacial acetic acid for approximately 10 h, a four-component reaction was produced that produced the sensor 6-bromo-3-(2-(2-(4-nitrophenyl)-4,5-diphenyl-1 H-imidazol-1-yl)thiazol-4-yl)-2 H-chromen-2-one (NIC) in a high yield (90%). A synthetic imidazole-coumarin thiazole-based fluorophore that released blue light was used as a chemosensor for metal ion detection.
Representation of synthesis of NIC.
Solvatochromic studies
The excited state of the molecule in donor-acceptor molecules is significantly influenced by the polarity of solvents, which stabilise it via hydrogen bonding, solvation interactions, and dipole-dipole interactions. Therefore, we investigated NIC solvent-dependent absorption and emission behaviour in solvents with various dielectric constants (Fig. 1a-d). The emission spectra of NIC showed little variation as the aliphatic chain increased from methanol to decanol. However, in case of absorption spectra the absorption band is slightly red shifted from 356 nm to 386 nm as we increase the alkyl chain from methanol to decanol.
UV-Vis. absorption (a), (c) and fluorescence emission (b), (d) of NIC in solvents with different polarity
NIC displayed a less noticeable red shift in absorption spectra and a noticeable red shift in the emission spectra in solvents with varying polarity, such as decanol, toluene, acetone, THF, acetonitrile, DMF and DMSO. This suggests that the excited state is much more polar than the ground state, which leads to an increased interaction of polar solvents in the excited state and red-shifted emissions. The emission spectrum of NIC in Fig. 1d demonstrates the most significant shift in emission spectra (73 nm) when transitioning from a nonpolar to a polar solvent.
The absorption and fluorescence spectra of a newly synthesized compound NIC were examined in various solvents with differing polarities, as depicted in Fig. 1(a-c). Table S1 and Table S2 display the absorption maxima, fluorescence maxima, and wave numbers used to calculate solvatochromic shifts and arithmetic means across different solvents. The changes observed in the spectra are primarily a result of interactions between the solute and the solvent, which can involve general and/or specific types of interactions. Generally, the effects of solvents on spectral shifts (known as the Stokes shift) are significantly influenced by the solvent’s dielectric constant and refractive index31. In contrast, specific shifts are related to hydrogen bonding, as well as n-donation and π-donation properties of the solvents. Solvatochromism exhibited by the compound NIC can be analyzed by examining the relationship between spectral shifts and solvent polarity, as described by several equations: Bilot–Kawski32, Lippert–Mataga33, Bakhshiev34, and Kawski–Chamma–Viallet35 linear correlations. We derived these equations from our previously published research article36. Figure S1 presents the various linear correlation plots of the Stokes shift in relation to the solvent polarity parameter, with detailed statistical data provided in Table S3.
The enhancement of the Stokes shift with higher solvent polarity suggests that the dipole moment increases upon excitation. The fluorescence emission peak experiences a bathochromic shift as the polarity of the mixture rises, which supports a \(\:\pi\:\to\:{\pi\:}^{*}\) transition. The movement of the fluorescence peaks toward longer wavelengths may be attributed to a significantly different charge distribution in the excited state compared to the ground state, resulting in stronger interactions with polar solvents in the excited state37,38. The dipole moment of the ground state is lower than that of the excited state, as shown in Table S3 based on both experimental and theoretical methods. This discrepancy may arise from uneven charge distribution between electronic states, charge transfer, changes in geometry such as twisting or modifications in planarity, increased solute-solvent interactions in the singlet excited state, and/or hydrogen bonding with solvents. Variations in excited state dipole moment values across different solvent correlation methods are attributed to the assumptions inherent in those methods39. The Onsager cavity radius calculated using Edward’s atomic increment method, is determined to be 9.37 Å, while 5.96 Å was estimated based on the DFT-optimized geometry.
Photochemistry
UV-Visible absorption spectral studies
By making stock solutions of NIC (M) and metal ions in aqueous acetonitrile, the sensing behaviour of NIC with different metal cations was examined, and its coordination capabilities with diverse metal ions were determined using the UV-Vis Spectrometer. Bare NIC exhibited absorption maxima at 342 nm corresponding to π-π* transition. A library of metal ions Cu2+, Mn2+, Mg2+, Ni2+, Pb2+, Hg2+, Fe3+, Al3+, Cr3+, Zn2+, Ag+ and Cd2+ were treated with NIC there was no significant changes observed in the absorption spectra of NIC. When Co2+ was added to the solution of NIC, there was a visible colour change from yellow to brown which was evident from naked eyes (Fig. 2c). However, when Co2+ ions were added for NIC, a discernible shift was seen, resulting in the appearance of a new band at 515 nm that was becoming more intense (Fig. 2a).
As the amount of Co2+ in NIC solution increases, the concentration of Co2+ rises while the concentration of NIC decreases, indicating the presence of the Co2+ complex in equilibrium with the free NIC (Fig. 2b). A distinct isosbestic point at 437 nm provides clear confirmation of the formation of the NIC-Co2+ complex, resulting in a red shift.
(a) UV-vis spectra of NIC (1 × 10− 5 M) after addition of metal cations. (b) UV-vis spectra of NIC after adding 10 equivalents of Co2+ ions. (c) Visible colour and fluorescence changes of NIC with the addition of various metal ions.
Fluorescence spectral studies
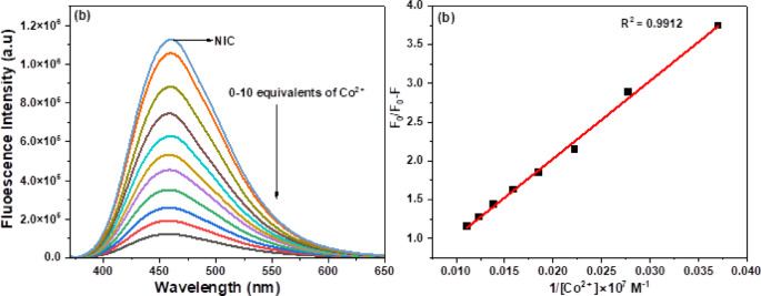
The sensitivity of chemosensor was assessed by treating NIC with various concentrations of Co2+ in an acetonotrile: water assortment (8:2) at room temperature. As seen in Fig. 3a, the NIC’s fluorescence reaction upon exposure to different Co2+ concentrations demonstrated a progressive decline in emission intensity. With increasing concentrations of Co2+ (0 − 50 µM), the fluorescence intensity of NIC at 450 nm decreases linearly (R2 = 0.9962) with a limit of detection of 7 µM. The quenching of fluorescence intensity can be attributed to ligand to metal charge transfer (LMCT) transitions that occur from nitrogen atoms of NIC to Co2+ ions (Scheme 2).
(a) Emission intensity of NIC at 450 nm as a function of Co2+ at different concentrations. (b) Benesi–Hildebrand linear analysis plot of NIC with change in concentration of Co2+.
Representative of binding probability of NIC with Co2+.
Interference studies
As seen in Fig. 4a, the selective affinity of NIC against Co2+ in fluorescence in the context of different metal ions was examined in aqueous acetonitrile medium. Pure NIC displayed a robust emission of fluorescence bands where the 450 nm emission maxima occur. The addition of Co2+ ions caused the ligand’s fluorescence intensity at 450 nm to quench irrespective of any spectrum changes. This suggests that NIC is highly selective for Co2+ ions through chelation (LMCT). When different metal ions were added to NIC, no noticeable fluorescence response was seen.
(a) Emission spectra of NIC with different metal ions. (b) Interference studies of NIC and Co2+ with different metal ions.
Furthermore, the interference experiments, which have the highest fluorescence intensity at 450 nm, undeniably demonstrate the Co2+ ion’s capacity for selective sensing in contrast with various metal ions. The high sensitivity to Co2+ is highlighted. It was observed that no other metal ions interfere with the sensing ability of NIC with Co2+ ions as indicated in Fig. 4(b).
Influence of pH on fluorescence
Both basic and acidic pH solutions were utilised to observe the binding interaction of NIC with Co2+ at various pH values. The study examined the relationship between NIC and the Co2+ ions across a pH range of 3 to 12. PBS buffer solutions were used to change the pH of the mixture. The NIC and Co2+ concentrations in the acetonotrile: water combination (8:2) were fixed for this experiment. As can be seen in Figure S2, the fluorescence is high at first and is nearly constant as pH rises, reaching a maximum intensity of 450 nm at all pH ranges. With the addition of Co2+ to NIC the fluorescence intensity is quenched in all the tested pH ranges. Further, 1:1 binding stoichiometry was also confirmed by job’s plot analysis as shown in Figure S3.
Acidochromism
The absorption spectra of nitrogen-based heterocycles like pyridine and pyrazine experience a significant red shift upon protonation with organic acids such as trifluoroacetic acid, as previously documented40. In our case also, we observed a shift in the absorption spectra of NIC when it is exposed to trifluoroacetic acid (TFA). In this case a negative acidochromic behaviour was observed as the absorption band from 360 nm is blue shifted to 345 nm with increasing concentrations of TFA (Fig. 5a). It was also accompanied by colorimetric sensing behaviour. NIC showed a significant colour change from deep yellow to colourless when fumed by TFA as shown in Fig. 6. Furtheremore, we have checked for the fluorometric acidochromic behaviour of NIC. The chemosensor exhibited significant fluorescence changes on exposure to TFA. From Fig. 5b, it was observed that with gradual addition of TFA to NIC the emission intensity at 470 nm is blue shifted to 455 nm indicating the sensitive behaviour of chemosensor to TFA.
Absorbance (a) and fluorescence (b) titration studies of NIC with TFA.
The molecule NIC has two potential protonation sites: the nitrogen in the thiazole ring, which is hindered by a strong electron-withdrawing coumarin group, and the more accessible nitrogen in the imidazole imine group, which can more readily facilitate protonation (Fig. 6).
Colorimetric and fluorescence changes of NIC with TFA and probable protonation to NIC.
Frontier molecular orbitals (HOMO and LUMO) for NIC and NIC + Co2+.
DFT studies
HOMO-LUMO analysis
The values for the HOMO (Highest Occupied Molecular Orbital), LUMO (Lowest Unoccupied Molecular Orbital), and energy band gap (Eg) are listed in Table 1. As illustrated in Fig. 7, the electron density of the HOMO energy levels is mainly located in the imidazole section of the NIC molecule, whereas in the case of NIC + Co2+, it resides within the coumarin group, which strongly suggests a high electron-donating capacity. The LUMO orbitals are largely concentrated on the coumarin core for NIC and on the benzene group attached to the imidazole ring for NIC + Co2+. As a result of photoexcitation to the singlet S1 electronic state, there is a significant effect on the shift in electron cloud density from the imidazole groups towards the coumarin unit via thiazole group, which leads to intramolecular π charge transfer and subsequently decreases the Donor-Acceptor form41. The computationally estimated HOMO/LUMO energy values fall within the range of -6.0721 eV to -11.098 eV and − 3.3714 eV to -10.652 eV, respectively, and they align reasonably well with the optical bandgap derived from absorption spectra. To further explore the electronic properties of the molecule, we have estimated various electronic parameters, including electronegativity (χ = [EHOMO + ELUMO]/2 (eV)), chemical potential (µ = − [EHOMO + ELUMO]/2 (eV)), global hardness (η = − [EHOMO-ELUMO]/2 (eV)), and global softness (δ = 1/η (eV− 1)), tabulated in Table 1. Molecules characterized by a substantial HOMO-LUMO energy gap and high chemical hardness are referred to as hard molecules. Conversely, those with smaller values are termed soft molecules. Hard systems tend to be small and exhibit low polarizability, whereas soft systems are typically large and highly polarizable42.
Molecular electrostatic potential analysis
The molecular electrostatic potential (MESP) serves as a valuable tool for identifying electrophilic and nucleophilic sites, as well as elucidating hydrogen bonding interactions in various solvents. MESP of an organic compound NIC is characterized by its comprehensive charge distribution as depicted in Fig. 8. In this representation, the regions depicted in red signify negative electrostatic surfaces, indicating the electrophilic characteristics of the molecule, while the blue regions with positive electrostatic surfaces denote nucleophilicity43. The pronounced red regions present on the oxygen group, which acts as an electrophile, thereby increasing its reactivity towards nucleophilic agents. The blue regions correspond to diazole and aromatic rings, which serve as sites reactive to electrophilic species.
The optimized geometry and MESP map of NIC and NIC + Co2+.
In vivo cytotoxicity and bioimaging analysis
The biocompatibility of NIC was assessed in zebrafish embryos across different concentrations to determine its potential cytotoxicity and application in bioimaging. The gestation period for zebrafish embryos was 2–3 days. At concentrations up to 50 µM, NIC showed no significant toxic effects on embryo development. However, when exposed to 100 µM, embryos displayed structural malformations, and mortality was observed beyond 76 h post-fertilization, likely due to high-dose toxicity as shown in Fig. 9 and Figure S5.
The imaging capabilities of NIC were further examined through its fluorescence response to Co²⁺ ions. The fluorescence of NIC significantly quenched in the presence of Co2+, making it possible to visually track the ion’s accumulation in various embryonic regions, including the spine, yolk sac extension (YSE), caudal vein, dorsal aorta, and head as shown in Fig. 10. The Co2+ was initially detected in the YSE and gradually extended to the eyes and spine, indicating a slow diffusion of Co2+ ions through the circulatory system. However, the fluorescence in the head remained comparable to control levels, suggesting limited Co²⁺ penetration in this region over the observed period. These observations demonstrate NIC’s potential for selective imaging of Co²⁺ ions, revealing its applicability for mapping ion distribution within biological systems. Given its ability to interact with mammalian tissues without significant toxicity at low concentrations, NIC holds promise for future bioimaging applications, particularly in the field of ion sensing and tracking within complex tissue environments. The NIC’s sensing and adaptive capabilities were evaluated against other Co2+ on/off sensors from existing literature, as shown in Table 2.
Toxicity observation of ligand NIC on D. rerio embryos for 24, 48, 72, and 96 hpf.
Fluorescence images of live zebrafish larvae for NIC.
Conclusions
This work develops a novel fluorescence sensor designated 6-bromo-3-(2-(2-(4-nitrophenyl)-4,5-diphenyl-1H-imidazol-1-yl)thiazol-4-yl)-2H-chromen-2-one (NIC), and investigates its broad spectrum of metal ion sensing capabilities. After adding Co2+ ions, NIC displayed a notable quenching in fluorescence intensity. It is capable of functioning as an effective sensor for Co2+ sensing. Compared to other competing metal ions, NIC showed a higher selectivity for Co2+. The detection limit is quite low as 7 µM. Job’s plot analysis verified the coordination of NIC with Co2+, and the coordination was determined to be the 1:1 stoichiometry. The findings suggest that NIC might be used for the specific identification and detection of Co2+ in the surrounding. Further, the study was also validated with zebrafish bioimaging studies.
Data availability
The data that support the findings of this study are present in the supplementary material.
References
Liu, Y. L. et al. A new fluorescent chemosensor for Cobalt (II) ions in living cells based on 1, 8-naphthalimide. Molecules 24, 3093 (2019).
Wakabayashi, K., Yorimitsu, H. & Oshima, K. Cobalt-catalyzed tandem radical cyclization and cross-coupling reaction: its application to benzyl-substituted heterocycles. J. Am. Chem. Soc. 123, 5374–5375 (2001).
Gray, H. B. Biological inorganic chemistry at the beginning of the 21st century. Proc. Natl. Acad. Sci. 100, 3563–3568 (2003).
Okamoto, S. & Eltis, L. D. The biological occurrence and trafficking of Cobalt. Metallomics 3, 963–970 (2011).
Kim, B. E., Nevitt, T. & Thiele, D. J. Mechanisms for copper acquisition, distribution and regulation. Nat. Chem. Biol. 4, 176–185 (2008).
Nesaragi, A. R. et al. Imidazole-Thiazole based dual chemosensor for Cu2 + and Co2 + Ions with identical excitation wavelength and colorimetric TFA Sensing, theoretical validation. J. Mol. Struct. 140816. (2024).
Nesaragi, A. R. et al. Triphenylamine-Based dual chemosensor for Cu2 + and Co2 + Ions and volatile acid vapour Sensor, DFT calculations. Appl. Organomet. Chem. 39, e70105 (2025).
Nesaragi, A. R. et al. Imidazole‐Centred oxadiazole sensor for detecting Al3 + and Fe3 + Cations in living cells: A zebrafish bioimaging approach. Appl. Organomet. Chem. 39, e70087 (2025).
Basketter, D. A., Angelini, G., Ingber, A., Kern, P. S. & Menné, T. Nickel, chromium and Cobalt in consumer products: revisiting safe levels in the new millennium. Contact Dermat. 49, 1–7 (2003).
Ghaedi, M., Ahmadi, F. & Shokrollahi, A. Simultaneous preconcentration and determination of copper, nickel, Cobalt and lead ions content by flame atomic absorption spectrometry. J. Hazard. Mater. 142, 272–278 (2007).
Annadhasan, M., Kasthuri, J. & Rajendiran, N. Green synthesis of gold nanoparticles under sunlight irradiation and their colorimetric detection of Ni 2 + and Co 2 + ions. RSC Adv. 5, 11458–11468 (2015).
Yao, Y., Tian, D. & Li, H. Cooperative binding of bifunctionalized and click-synthesized silver nanoparticles for colorimetric Co2 + sensing. ACS Appl. Mater. Interfaces. 2, 684–690 (2010).
Faridbod, F., Jamali, A., Ganjali, M. R., Hosseini, M. & Norouzi, P. A novel cobalt-sensitive fluorescent chemosensor based on ligand capped cds quantum Dots. J. Fluoresc.. 25, 613–619 (2015).
Rajabi Khorrami, A., Fakhari, A. R., Shamsipur, M. & Naeimi, H. Pre-concentration of ultra trace amounts of copper, zinc, Cobalt and nickel in environmental water samples using modified C18 extraction disks and determination by inductively coupled plasma–optical emission spectrometry. Int. J. Environ. Anal. Chem. 89, 319–329 (2009).
Lee, S. Y., Lee, J. J., Bok, K. H., Kim, S. Y. & Kim, C. Highly selective and sensitive colorimetric chemosensor for detection of Co 2 + in a near-perfect aqueous solution. RSC Adv. 6, 28081–28088 (2016).
Zhu, X. et al. An AIE-active boron-difluoride complex: multi-stimuli-responsive fluorescence and application in data security protection. Chem. Commun. 50, 12951–12954 (2014).
Lee, S. et al. Pyridazine–carbazole based fluorescent probes for volatile acid detection. Dye Pigment. 194, 109613 (2021).
Lin, H., Jang, M. & Suslick, K. S. Preoxidation for colorimetric sensor array detection of VOCs. J. Am. Chem. Soc. 133, 16786–16789 (2011).
Casas-Ferreira, A. M., del Nogal-Sánchez, M., Pérez-Pavón, J. L. & Moreno-Cordero, B. Non-separative mass spectrometry methods for non-invasive medical diagnostics based on volatile organic compounds: A review. Anal. Chim. Acta. 1045, 10–22 (2019).
Wang, H. et al. Alternative copolymerization of a conjugated segment and a flexible segment and fabrication of a fluorescent sensing film for HCl in the vapor phase. Chem. Asian J. 8, 101–107 (2013).
Kothavale, S. & Sekar, N. Novel pyrazino-phenanthroline based rigid donor-π-acceptor compounds: a detail study of optical properties, acidochromism, solvatochromism and structure-property relationship. Dye Pigment. 136, 31–45 (2017).
Zhao, J. et al. Multi-stimuli-responsive fluorescent aminostyrylquinoxalines: Synthesis, solvatochromism, mechanofluorochromism and acidochromism. Dye Pigment. 151, 296–302 (2018).
Meti, P., Yang, J. W. & Gong, Y. D. Structure property relationships of tunable donor-acceptor functionalized dipyrrolopyrazine derivative as selective reversible acid base sensor. Dye Pigment. 156, 233–242 (2018).
Abebe, F. A., Eribal, C. S., Ramakrishna, G. & Sinn, E. A ‘turn-on’fluorescent sensor for the selective detection of Cobalt and nickel ions in aqueous media. Tetrahedron Lett. 52, 5554–5558 (2011).
Patil, S. P. et al. Highly sensitive ratiometric chemosensor for Selective′ Naked-Eye′ nanomolar detection of Co2 + in Semi‐Aqueous media. Chem. Phys. Chem. 15, 2230–2235 (2014).
Mahajan, P. G. et al. Selective detection of Co2 + by fluorescent nano probe: diagnostic approach for analysis of environmental samples and biological activities, Spectrochim. Acta part A mol. Biomol. Spectrosc. 198, 136–144 (2018).
Wang, Y. et al. Novel rhodamine-based colorimetric and fluorescent sensor for the dual-channel detection of Cu2 + and Co2+/trivalent metal ions and its AIRE activities, Spectrochim. Acta part A mol. Biomol. Spectrosc. 212, 1–9 (2019).
Liu, K., Guo, P., Liu, L. & Shi, X. Fluorescence enhancement of a novel pyrazine coupled Rhodamine derivative for the paramagnetic Co2 + detection. Sens. Actuators B Chem. 250, 667–672 (2017).
Nesaragi, A. R. et al. Fluorescent imidazole derived sensor for selective in vitro and in vivo Fe2 + detection and bioimaging in zebrafish with DFT studies. Opt. Mater. (Amst). 148, 114850 (2024).
Nesaragi, A. R. et al. In vitro and in vivo nanomolar Hg2 + detection in live cells and zebrafish, theoretical studies. J. Photochem. Photobiol Chem. 445, 115079 (2023).
Pujar, G. H. et al. A combined experimental and computational investigation of solvatochromism of nonpolar laser dyes: evaluation of ground and singlet excited-state dipole moments. J. Mol. Liq. 244, 453–463. https://doi.org/10.1016/j.molliq.2017.08.078 (2017).
Bilot, L. & Kawski, A. Zur theorie des einflusses von Lösungsmitteln auf die elektronenspektren der Moleküle. Z. Für Naturforsch A. 17, 621–627. https://doi.org/10.1515/zna-1962-0713 (1962).
Lippert, E. Spektroskopische bestimmung des dipolmomentes aromatischer verbindungen Im Ersten Angeregten Singulettzustand, zeitschrift Für Elektrochemie, berichte der bunsengesellschaft Für. Phys. Chemie. 61, 962–975. https://doi.org/10.1002/bbpc.19570610819 (1957).
Bakhshiev, N. G. Universal intermolecular interactions and their effect on the position of the electronic spectra of molecules in two component solutions. Opt. Spectrosc. 16, 821–832 (1964).
Chamma, P. V. Determination du moment dipolaire d’une molecule Dans Un etat excite singulet. CR Acad. Sci. Paris Ser. C. 270, 1901–1904 (1970).
Nesaragi, A. R. et al. Imidazole-thiazole based dual chemosensor for Cu2 + and Co2 + ions with identical excitation wavelength and colorimetric TFA sensing, theoretical validation. J. Mol. Struct. 1324, 140816 (2025).
Gayathri, B. R., Mannekutla, J. R. & Inamdar, S. R. Effect of binary solvent mixtures (DMSO/water) on the dipole moment and lifetime of coumarin dyes. J. Mol. Struct. 889, 383–393. https://doi.org/10.1016/j.molstruc.2008.02.020 (2008).
Mannekutla, J. R., Mulimani, B. G. & Inamdar, S. R. Solvent effect on absorption and fluorescence spectra of coumarin laser dyes: evaluation of ground and excited state dipole moments. Spectrochim Acta Part. Mol. Biomol. Spectrosc. 69, 419–426. https://doi.org/10.1016/j.saa.2007.04.016 (2008).
Kadolkar, P. S., Patil, S. A., Kariduraganavar, M. Y. & Inamdar, S. R. Evaluation of ground and excited state dipole moments of Alexa fluor 350-NHS ester in binary mixtures of DMSO-water, https://doi.org/10.1063/1.5100456 (2019).
Singh, P., Baheti, A. & Thomas, K. R. J. Synthesis and optical properties of acidochromic amine-substituted benzo [a] phenazines. J. Org. Chem. 76, 6134–6145 (2011).
Najare, M. S. et al. Design, synthesis and characterization of π-conjugated 2,5-diphenylsubstituted-1,3,4-oxadiazole-based D-π-A-π’-D′ form of efficient deep blue functional materials: photophysical properties and fluorescence Turn-off chemsensors approach. J. Mol. Liq. 328, 115443. https://doi.org/10.1016/j.molliq.2021.115443 (2021).
Jasmine, N. J., Muthiah, P. T., Arunagiri, C. & Subashini, A. Vibrational spectra (experimental and theoretical), molecular structure, natural bond orbital, HOMO–LUMO energy, mulliken charge and thermodynamic analysis of N′-hydroxy-pyrimidine-2-carboximidamide by DFT approach, Spectrochim. Acta part A mol. Biomol. Spectrosc. 144, 215–225 (2015).
Divyabharathi, S. et al. Experimental and theoretical studies of alkyl 2-(2,4,6,8-tetraaryl-3,7-diazabicyclo[3.3.1]nonan-9-ylidene)hydrazine carboxylates: Synthesis, spectroscopic, crystal structure, Hirshfeld surface, and antimicrobial studies. J. Mol. Struct. 1322, 140353. https://doi.org/10.1016/j.molstruc.2024.140353 (2025).
Raju, V., Kumar, S. K., Abbareddy, D. S., Rao, M. & Sahoo, S. K. Isatin-3-Phenylhydrazone: A highly selective colorimetric chemosensor for Copper, chromium and Cobalt ions in Semi-Aqueous medium. Sens. Lett. 15, 266–275 (2017).
Jang, H. J., Jo, T. G. & Kim, C. A single colorimetric sensor for multiple targets: the sequential detection of Co 2 + and cyanide and the selective detection of Cu 2 + in aqueous solution. RSC Adv. 7, 17650–17659 (2017).
Acknowledgements
The authors are grateful to Dayananda Sagar College of Engineering, Bangalore for providing the facilities to carrying out the research work. The authors extend their appreciation to the Ongoing Research Funding program Project number (ORF-2025-96), King Saud University, Riyadh, Saudi Arabia.
Author information
Authors and Affiliations
Contributions
Aravind R. Nesaragi: Conceptualization; data curation; methodology; software; validation; visualization; Writing-original draft; Writing-review & editing. Jyoti Nagalik: Data curation; methodology; software; Writing-original draft; validation; visualization. Sharanappa Chapi: Formal analysis; validation; visualization. Sharanakumar T. M: Formal analysis; validation; visualization. Venuprasad K. D: Formal analysis; validation; visualization. Naveen Kumar Kalagatur: Data curation; Formal analysis; validation; visualization. Sudhakar Poda: Formal analysis; validation; visualization. Sanjeev R. Inamdar: Formal analysis; investigation; resources; Writing-review & editing. Shivarudrappa H. P: Formal analysis; validation; visualization. Rafa Almeer: Formal analysis; validation; visualization.
Corresponding authors
Ethics declarations
Competing interests
The authors declare no competing interests.
Additional information
Publisher’s note
Springer Nature remains neutral with regard to jurisdictional claims in published maps and institutional affiliations.
Supplementary Information
Below is the link to the electronic supplementary material.
Rights and permissions
Open Access This article is licensed under a Creative Commons Attribution-NonCommercial-NoDerivatives 4.0 International License, which permits any non-commercial use, sharing, distribution and reproduction in any medium or format, as long as you give appropriate credit to the original author(s) and the source, provide a link to the Creative Commons licence, and indicate if you modified the licensed material. You do not have permission under this licence to share adapted material derived from this article or parts of it. The images or other third party material in this article are included in the article’s Creative Commons licence, unless indicated otherwise in a credit line to the material. If material is not included in the article’s Creative Commons licence and your intended use is not permitted by statutory regulation or exceeds the permitted use, you will need to obtain permission directly from the copyright holder. To view a copy of this licence, visit http://creativecommons.org/licenses/by-nc-nd/4.0/.
About this article
Cite this article
Nesaragi, A.R., Nagalik, J., Chapi, S. et al. Protan triggered colorimetric and fluorometric responsive coumarin coupled imidazole as Co2+ sensor, DFT and zebrafish bioimaging studies. Sci Rep 15, 38644 (2025). https://doi.org/10.1038/s41598-025-22551-9
Received:
Accepted:
Published:
Version of record:
DOI: https://doi.org/10.1038/s41598-025-22551-9














