Abstract
Community-acquired pneumonia (CAP) remains a leading cause of death in older adults, largely because immunosenescence and inflamm-aging obscure early clinical deterioration. We explored the short-term temporal interplay between immune and inflammatory biomarkers and assessed how age, malnutrition, and diabetes modify these dynamics and their prognostic value. A retrospective cohort study was conducted on 418 elderly CAP patients (≥ 65 years). Lymphocyte counts, C-reactive protein (CRP), and procalcitonin (PCT) were recorded at admission (T0) and 24 h intervals (T1, T2). Biomarker trends were analyzed using auto-regressive integrated moving average (ARIMA) models, while cross-correlation functions (CCF) quantified lagged relationships, and time-varying Cox models and time-dependent receiver-operating-characteristic (td-ROC) curves evaluated 28 day mortality. Overall mortality was 18.4% (77/418). Lymphocyte counts were consistently lower in non-survivors (p < 0.001). Falls in lymphocytes preceded rises in CRP and PCT by 24–48 h. ARIMA projections mirrored observed trends and identified sustained lymphopenia and escalating PCT in non-survivors. In time-varying Cox analysis, lymphocyte count was the strongest protective factor (HR per 1 × 109L−1 increase = 0.45; 95% CI 0.35–0.58; p < 0.001), with amplified impact in malnourished, diabetic and ≥ 85 years subgroups. td-ROC showed PCT possessed the highest discrimination, while lymphocyte AUC rose over time and approached PCT. Malnutrition and diabetes attenuated CCF strengths, and patients ≥ 85 yr displayed blunted immune-inflammatory coupling. Early lymphocyte collapse foretells subsequent inflammatory surges and adverse outcomes in elderly CAP. Malnutrition, diabetes, and advanced age disrupt this immune-inflammatory synchrony, diminishing prognostic precision. Routine 72 h serial monitoring, coupled with dynamic modelling, may enable pre-emptive nutritional and metabolic interventions and refine risk-stratified management.
Introduction
Community-acquired pneumonia (CAP) is one of the most common infectious diseases in the elderly population, with its incidence and mortality rates increasing significantly with age1. As the global population ages, CAP has become a critical public health concern, imposing substantial burdens on healthcare systems and adversely affecting patients’ quality of life2. Older adults are particularly vulnerable to CAP due to age-related immune dysfunction (immunosenescence) and chronic low-grade inflammation (inflammaging), which exacerbate disease severity and complicate clinical outcomes3,4. Understanding the interplay between immune and inflammatory responses in older adults with CAP is therefore essential for improving clinical management and reducing mortality.
Inflammatory biomarkers such as C-reactive protein (CRP) and procalcitonin (PCT), along with immune markers like lymphocyte counts, have been widely studied in CAP. These biomarkers not only reflect the severity of inflammation and immune status but are also closely associated with patient prognosis5,6. For instance, elevated CRP and PCT levels are indicative of severe infection and poor outcomes, while lymphopenia may signal immune suppression and heightened mortality risk7,8. However, most existing studies have focused on static measurements of these biomarkers at single time points, neglecting their dynamic changes over the course of the disease. This limitation hinders a comprehensive understanding of the temporal interactions between immune and inflammatory responses in older adults with CAP.
Despite the growing body of literature on CAP biomarkers, there is a lack of studies investigating the time-lagged dynamics of immune and inflammatory markers in older adults. Current research primarily relies on cross-sectional or static analyses, which fail to capture the evolving nature of biomarker interactions during the disease course. Furthermore, the influence of key modifiers such as age, nutritional status, and comorbidities (e.g., diabetes) on these biomarker dynamics remains poorly understood. For example, malnutrition, which is common among older adults with CAP, is known to impair immune function and exacerbate inflammation, yet its specific role in modulating biomarker dynamics and clinical outcomes has not been thoroughly investigated9,10. Similarly, while diabetes is associated with heightened inflammatory responses and immune dysregulation, its impact on the temporal relationships between immune and inflammatory markers in CAP has not been systematically explored11,12. These knowledge gaps limit our ability to develop targeted interventions and optimize patient outcomes.
To address these gaps, this study aims to explore the temporal dynamics of lymphocyte counts, CRP, and PCT levels in older adults with CAP using advanced time-series analyses, including auto-regressive integrated moving average (ARIMA) models and cross-correlation functions (CCF). By stratifying patients based on age, nutritional status, and diabetes status, the study seeks to elucidate how these factors influence biomarker dynamics and their prognostic implications. We hypothesize that lymphocyte reductions precede elevations in inflammatory biomarkers (CRP and PCT) and that these time-lagged relationships are modulated by age, nutritional status, and diabetes. The findings are expected to provide a deeper understanding of the mechanisms underlying immune-inflammatory dysregulation in older adults with CAP and to identify potential early intervention points for improving clinical outcomes.
This research not only contributes to the growing body of knowledge on CAP pathophysiology but also offers practical insights for personalized management strategies in this vulnerable population. By leveraging advanced statistical modeling techniques, the study provides a novel framework for analyzing biomarker dynamics, paving the way for improved risk stratification and targeted therapeutic interventions in older adults with CAP.
Methods
Study design and patients
This retrospective, observational cohort study was conducted at the Second People’s Hospital of Lianyungang between November 1, 2019, and November 1, 2024. The primary objective was to investigate the impact of immune-inflammatory interactions on the prognosis of older adults with CAP. Patients were categorized into two prognostic groups based on 28-day clinical outcomes: the survival group and the mortality group.
The study was approved by the Ethics Committee of the Second People’s Hospital of Lianyungang (No. 2022K040) and adhered to the ethical principles outlined in the Declaration of Helsinki. As this study was based on pre-existing clinical data, no direct interventions were made in patient diagnosis or treatment, and the requirement for informed consent was waived by the Ethics Committee.
Inclusion criteria
Eligible patients were included if they were aged 65 years or older and had a confirmed diagnosis of CAP based on clinical, radiological, and microbiological criteria13. These criteria included the presence of new or worsening respiratory symptoms, such as cough, sputum production, or dyspnea, radiological evidence of pulmonary infiltrates consistent with pneumonia, and elevated inflammatory markers, including CRP or PCT. Additionally, patients had to be hospitalized within 48 h of symptom onset and possess complete clinical, laboratory, and follow-up data for analysis.
Exclusion criteria
Patients were excluded if they had hospital-acquired pneumonia or ventilator-associated pneumonia, severe immunosuppression (defined as active malignancy undergoing chemotherapy or radiotherapy, solid organ or hematopoietic stem cell transplantation, or the use of immunosuppressive therapy such as corticosteroids or biologics within the past six months), or end-stage organ failure including advanced liver disease (Child–Pugh C) or heart failure (NYHA Class IV). Additionally, patients with incomplete medical records or missing key data points were excluded from the study.
Data collection
Data were retrospectively collected from electronic medical records of older adults (≥ 65 years) hospitalized with CAP at the Second People’s Hospital of Lianyungang. The collected variables included demographic and clinical characteristics, nutritional status, etiological data, laboratory findings, and outcomes. Demographic and clinical data comprised age, gender, body mass index (BMI), and comorbidities such as hypertension, diabetes, chronic kidney disease (CKD, stage 3 or above), and chronic obstructive pulmonary disease (COPD). Nutritional status was assessed using the Mini Nutritional Assessment-Short Form (MNA-SF), a validated tool for evaluating malnutrition in older adults, which categorizes patients into three groups: well-nourished (MNA-SF score ≥ 12), at risk of malnutrition (MNA-SF score 8–11), and malnourished (MNA-SF score ≤ 7)14. The MNA-SF was administered by trained clinicians or nurses during the initial assessment, and scores were retrieved for analysis. Etiological data were classified into four categories based on microbiological and clinical findings: viral infections (confirmed by polymerase chain reaction or serological testing), bacterial infections (identified through sputum or blood cultures), mixed infections (involving both viral and bacterial pathogens), and unknown etiology (cases where no pathogen was identified). Laboratory data, collected at baseline (T0), day 1 (T1), and day 2 (T2), included inflammatory biomarkers such as CRP (mg/L), PCT (ng/mL), and lymphocyte count (× 10⁹/L), along with other parameters like serum albumin (g/L), blood urea nitrogen (BUN, mg/dL), white blood cell (WBC) count (× 10⁹/L), hemoglobin (g/L), and platelet count (× 10⁹/L). Outcome data were categorized into two prognostic groups: the survival group, comprising patients discharged alive, and the mortality group, which included patients who died within a 28-day follow-up period.
Statistical analysis
All statistical analyses were performed using SPSS version 21.0 and R version 4.4.1. A two-tailed p-value < 0.05 was considered statistically significant. The following methods were employed:
Descriptive statistics
Continuous variables were expressed as mean ± standard deviation (SD) or median (interquartile range, IQR), depending on data distribution. Categorical variables were presented as frequencies and percentages. Comparisons between groups were performed using the independent t-test or Mann–Whitney U test for continuous variables and the chi-square test or Fisher’s exact test for categorical variables.
Longitudinal analysis
The dynamic trends of CRP, PCT, and lymphocyte levels were analyzed at observed time points (T0, T1, T2) and predicted time points (T3*, T4*, T5*) using the Auto-Regressive Integrated Moving Average (ARIMA) model. ARIMA parameters (p, d, q) were selected based on the Akaike Information Criterion (AIC) and Bayesian Information Criterion (BIC) to ensure model accuracy and reliability15,16. Specifically, the following steps were undertaken: (1) Stationarity Assessment: The stationarity of the time-series data was evaluated using the Augmented Dickey-Fuller (ADF) test. Non-stationary series were differenced to achieve stationarity, determining the value of 'd'. (2) Autoregressive and Moving Average Terms: The autocorrelation function (ACF) and partial autocorrelation function (PACF) plots were analyzed to identify the optimal values for 'p' (autoregressive terms) and 'q' (moving average terms). (3) Model Validation: The selected ARIMA models were validated by examining residual diagnostics, including the Ljung-Box Q-test, to ensure that residuals were uncorrelated and normally distributed. (4) Model Comparison: Competing models with different parameter combinations were compared using AIC and BIC values, with lower values indicating better model fit.
Cross-correlation analysis
Cross-correlation functions (CCF) were used to evaluate time-lagged relationships between lymphocyte levels and inflammatory biomarkers (CRP, PCT) across different stratified groups (prognostic, nutritional, diabetic, age, and infection type). Cross-correlation coefficients (r) were calculated, with values closer to 1 or -1 indicating stronger positive or negative correlations17. Longitudinal trends and cross-correlation results were visualized using line graphs and scatter plots. Figures were annotated to highlight key findings, such as time lags and peak correlations.
Dynamic time-varying Cox regression
A time-varying Cox proportional hazards model was employed to assess the prognostic impact of lymphocyte levels, CRP, and PCT in stratified groups (age, diabetes status, nutritional status). Hazard ratios (HRs) with 95% confidence intervals (CIs) were calculated to quantify the association between biomarker levels and mortality risk. Subgroup Analyses: Stratified analyses were conducted to explore differences in biomarker dynamics and prognostic implications across age groups (65–74, 75–84, ≥ 85 years), nutritional status groups (well-nourished, at-risk-of-malnutrition, malnourished), and infection types (viral, bacterial, mixed, unknown).
Time-dependent ROC analysis
To evaluate the discriminative ability of single (≤ 24 h after admission) biochemical indicators at different follow-up stages, we employed a time-dependent (dynamic) ROC approach to calculate the curves and their areas under the curve (AUC) at predictive time points of 10, 15, and 25 days. The specific steps were as follows: we used the linear predictor (log-hazard score) from the baseline Cox proportional hazards model as a continuous risk score and constructed separate models for PCT, lymphocyte count, and CRP. At each predefined milestone time point t (10, 15, and 25 days), the time-dependent ROC curves were estimated using the inverse probability of censoring weighting (IPCW) algorithm. The timeROC package was used to complete the analysis.
Handling missing data
All data were reviewed for completeness and accuracy. To ensure the robustness and reliability of the dataset, missing data were handled systematically using the mice package in R. This approach ensured that all available data were utilized effectively, minimizing the risk of bias while addressing incomplete records. The dataset was reviewed to identify variables with missing values. Variables with more than 20% missing data across the cohort were excluded from the analysis to avoid introducing potential biases. The missing data in the remaining variables was handled using the multiple imputation by chained equations (MICE) method implemented in the R mice package (version 4.4.1). For each variable with missing data, an appropriate imputation model was specified based on its data type. Continuous variables (e.g., CRP, PCT, lymphocyte count) were imputed using predictive mean matching (PMM), while categorical variables (e.g., comorbidities, gender) were imputed using logistic regression. Five imputed datasets were generated to ensure variability and minimize potential bias in the imputations. The number of iterations was set to 50 to allow the algorithm to converge on stable imputed values. After the imputation process, the five imputed datasets were analyzed separately using statistical methods appropriate for each variable. Results from these datasets were pooled using Rubin’s rules to calculate combined estimates and standard errors, ensuring unbiased and robust conclusions. For time-series variables such as CRP, PCT, and lymphocyte count, missing values at individual time points were imputed within the longitudinal framework using MICE. The temporal structure of the data was preserved by including time as a covariate in the imputation model, providing imputations reflective of the data’s dynamic behavior. This was crucial for ARIMA modeling and cross-correlation analysis.
Results
Clinical characteristics of the study population
Among the 418 older adults with CAP who met the inclusion criteria (Fig. 1), 341 survived (81.6%) and 77 died (18.4%). Sex distribution did not differ between groups (p > 0.05). Non-survivors were significantly older than survivors (85.4 ± 5.3 vs 81.4 ± 6.7 years, p < 0.001). Nutritional status diverged markedly (p < 0.001): malnutrition was more prevalent in the mortality group (63.6 vs 23.8%), whereas adequate nutrition predominated in survivors (35.5 vs 6.5%); the survival group also contained more patients at risk of malnutrition (40.8 vs 29.9%). The prevalence of hypertension, diabetes, stage ≥ 3 chronic kidney disease, chronic obstructive pulmonary disease, and the distribution of infectious etiologies were comparable between groups (all p > 0.05). Laboratory analysis revealed lower serum albumin and higher blood urea nitrogen in non-survivors (both p < 0.001). These findings, summarized in (Table 1), indicate that advanced age, poor nutritional status, hypoalbuminemia, and azotemia are key differentiators of early mortality in this cohort.
Comparison of immune and inflammatory markers between groups
Immune-inflammatory profiles diverged sharply between survivors and non-survivors at every sampling point (T0, T1, T2).
Lymphocytes (Fig. 2A)
Non-survivors presented with persistent lymphopenia. Counts were lower at baseline (1.24 ± 0.46 vs 1.65 ± 0.70 × 10⁹ /L; p < 0.001) and fell further by T2 (1.10 ± 0.42 vs 2.05 ± 0.92 × 10⁹ /L; p < 0.001).
Procalcitonin (Fig. 2B)
Median PCT remained almost three-fold higher in the mortality group: T0 = 4.20 ng/ mL (IQR 3.20–5.37) vs 1.95 ng/ mL (1.09–2.77); T1 = 4.67 (3.63–6.07) vs 1.64 (1.09–2.77); T2 = 5.22 (4.25–6.66) vs 0.85 (0.53–1.28) (all p < 0.001).
C-reactive protein (Fig. 2C)
CRP showed a similar, albeit less pronounced, pattern: T0 = 66.6 mg/ L (40.5–79.8) vs 55.5 mg/ L (36.7–75.8; p = 0.013), widening at T1 and T2 (p < 0.001 for both).
Collectively, early and sustained lymphopenia coupled with escalating PCT—and, to a lesser extent, CRP—characterised patients who succumbed within 28 days, underscoring the prognostic value of dynamic immune-inflammatory monitoring in elderly CAP.
Longitudinal behaviour of immune-inflammatory biomarkers
Overall cohort
Serial measurements (T0–T2) and ARIMA forecasts (T3*–T5*) revealed persistent divergence between survivors and non-survivors (Fig. 3A). Lymphocytes fell steadily in non-survivors but stabilised and then rebounded in survivors, with the separation appearing before CRP or PCT diverged. PCT climbed continuously in the mortality group yet declined in survivors, showing the most striking group contrast. CRP rose in both groups during the first 24 h; thereafter it declined in survivors but plateaued above baseline in non-survivors, indicating smouldering inflammation rather than unchecked escalation.
Longitudinal analysis of inflammatory biomarkers in different prognostic groups. (A) Longitudinal trends of inflammatory biomarkers and lymphocytes in different prognosis groups. (B) Longitudinal trends of inflammatory biomarkers across age groups (65–74 years, 75–84 years, and ≥ 85 years). (C) Longitudinal trends of inflammatory biomarkers across nutritional status (well-nourished, at risk of malnutrition, and malnourished). (D) Longitudinal trends of inflammatory biomarkers across diabetes-nutritional groups (no diabetes-no malnutrition, no diabetes-malnutrition, diabetes-no malnutrition, diabetes-malnutrition).
Age strata (65–74, 75–84, ≥ 85 years; Fig. 3B)
Across all ages, survivors maintained lower CRP/PCT and higher lymphocyte counts, but group gaps narrowed with advancing age. In patients ≥ 85 years, lymphocyte depletion was deeper and persisted in both prognostic groups, while CRP and PCT curves converged, suggesting that immunosenescence and competing mortality risks blunt biomarker discrimination.
Nutritional status (well-nourished, at-risk, malnourished; Fig. 3C)
Nutritional state markedly modified temporal patterns. Well-nourished survivors showed rapid normalisation of CRP and PCT and recovery of lymphocyte counts; malnourished survivors improved more slowly, and differences versus non-survivors shrank. Thus, malnutrition diminishes—but does not abolish—the prognostic signal carried by these markers.
Combined diabetes–nutrition phenotypes (Fig. 3D)
When diabetes and malnutrition were considered jointly, the separation between outcome curves was clearest in patients free of both conditions and weakest in those with their combination. The coexistence of diabetes and malnutrition magnified inflammatory activation and lymphopenia in all patients, compressing the dynamic range available for risk stratification.
Model performance
Optimal ARIMA specifications were CRP (1,1,0), PCT (1,1,1) and lymphocytes (2,1,1), yielding the lowest AIC/BIC values (Table 2). The absence of abrupt shifts between observed and predicted segments supports the validity of using these models for short-term forecasting.
Together, these findings highlight early lymphocyte collapse and sustained PCT elevation as the most consistent harbingers of death, while age, malnutrition and diabetes progressively attenuate the clarity of these signals.
Observed values (T0–T2) are depicted as solid lines, while predicted values at T3*, T4*, and T5* (i.e., 24 h intervals following T2) are shown as dashed lines. The asterisk (*) denotes predicted timepoints. The continuity and overlap at transition points demonstrate the consistency and comparability of model predictions with observed dynamic trends. The shaded areas indicate 95% confidence intervals for predicted values.
ARIMA model parameters
The selection of parameters (p, d, q) for the ARIMA model was based on the characteristics of the time-series data. Here, p represents the number of autoregressive terms, d indicates the number of differences required to achieve stationarity, and q signifies the number of moving average terms. Lower AIC and BIC values were used to identify the best-fitting model for each biomarker.
Dynamic survival modelling with time-varying covariates
Whole cohort
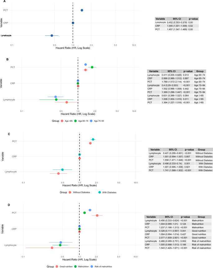
Using 1254 serial measurements obtained during the first 72 h, a time-dependent Cox model identified three independent predictors of 28-day mortality (Fig. 4A). Lymphocyte count was strongly protective (HR per 1 × 10⁹ /L increase = 0.45, 95% CI 0.35–0.58, p < 0.001). PCT carried the greatest adverse weight (HR per 1 ng/ mL = 1.41, 95% CI 1.35–1.47, p < 0.001). CRP exerted a small but significant effect (HR per 1 mg /L = 1.01, 95% CI 1.00–1.01, p = 0.02).
Dynamic time-varying cox regression analysis of prognostic factors. (A) Overall time-varying Cox analysis; (B) Analysis stratified by age group; (C) by diabetes status; (D) by nutritional status. Circles represent estimated hazard ratios (HRs) for each variable, with horizontal lines indicating 95% confidence intervals. The vertical dashed line at HR = 1.0 represents the reference (null effect), where a HR of 1 indicates no association with mortality risk. Confidence intervals crossing this line denote non-significant associations.
Age-specific effects (Fig. 4B)
The prognostic utility of lymphocytes waned with advancing age, 65–74 years: HR 0.41 (0.21–0.83, p = 0.013), 75–84 years: HR 0.40 (0.29–0.55, p < 0.001), ≥ 85 years: HR 0.63 (0.39–1.03, p = 0.064). CRP became prognostic only in the oldest-old (p = 0.011), whereas PCT remained a consistent risk factor across all age bands (all p < 0.001).
Impact of diabetes (Fig. 4C)
Baseline risk was higher in patients with diabetes. Within this subgroup, mortality was predicted by: Lower lymphocyte counts (HR 0.42, 0.30–0.60, p < 0.001), Higher PCT (HR 1.56, 1.47–1.65, p < 0.001), CRP did not reach significance (p > 0.05).
Influence of nutritional status (Fig. 4D)
Adequate nutrition conferred protection, whereas malnutrition amplified risk: Well-nourished: lymphocytes HR 0.46 (0.33–0.62, p < 0.001), At-risk/malnourished: global HR 1.24 (1.17–1.31, p < 0.001). The data underscore the synergistic role of immune competence and nutritional reserves in determining outcome.
In summary, dynamic modelling confirms early lymphocyte depletion and rising PCT as the most reliable harbingers of death. Their predictive strength is attenuated by extreme age, diabetes, and poor nutrition, highlighting the need for context-specific interpretation when stratifying risk in elderly CAP.
Temporal coupling of lymphocytes with CRP and PCT
CCF analysis quantifies how fluctuations in lymphocyte counts align with, or precede, changes in CRP and PCT across clinically relevant subgroups.
Survival status (Fig. 5A)
Cross-time series and lag analysis. (A) Cross-correlation coefficients between CRP, PCT, and lymphocyte levels in survival and mortality groups. (B) Time-lagged relationships between biomarkers across nutritional status groups. (C) Cross-correlation coefficients between biomarkers in diabetic and non-diabetic groups. (D) Time-lagged relationships across age groups. (E) Cross-correlation coefficients across infection types. (F) Cross-correlation coefficients across diabetes − nutritional groups.
Survivors displayed a strong inverse synchrony at lag 0 (r ≈ − 0.9) and a delayed positive peak with PCT at + 2 lags, indicating that an early fall in lymphocytes foreshadows an inflammatory rise that resolves within 48 h. Non-survivors showed blunted synchrony: the CRP nadir was shifted to + 1 lag (r = − 0.7) and the delayed PCT rebound was accentuated, signalling a dysregulated, slower feedback loop.
Nutritional state (Fig. 5B)
Well-nourished patients preserved the orderly sequence—initial inverse correlation followed by a modest positive rebound. Malnourished patients exhibited oscillating sign changes from lag 0 to + 2, revealing loss of homeostatic control; both CRP and PCT remained negatively linked to lymphocytes at baseline and flipped positive one day later.
Diabetes (Fig. 5C)
In non-diabetics the classic pattern (lag 0 inverse, lag + 1 CRP rebound) was retained. Diabetes dampened CRP synchrony (lower peak |r|) but exaggerated the delayed PCT response at + 2 lags, implying prolonged cytokine activation.
Age (Fig. 5D)
Synchrony deteriorated with age. Patients ≥ 85 yr showed attenuated baseline correlations and longer delays before inflammatory markers tracked lymphocyte change, consistent with immunosenescence.
Pathogen and combined phenotypes (Fig. 5E)
All etiologies showed a strong inverse lymphocyte–CRP/PCT correlation at lag 0. However, the correlation between lymphocytes and CRP shifted to a strong positive value at lag + 1, and for PCT, the highest positive correlation occurred at lag + 2.
The combined “diabetes + malnutrition” subgroup (Fig. 5F)
All subgroups exhibited a significant inverse association at lag 0, but the strength of this correlation was stratified: the “diabetes + malnutrition” group demonstrated the strongest inverse correlation, higher than that observed in the diabetes-only and malnutrition-only groups. Moreover, the “diabetes + malnutrition” group showed greater positive correlations at lag ± 2 compared to the other three groups, indicating a longer duration of imbalance.
Across all strata, an immediate inverse lymphocyte–inflammation relationship is a universal feature, but the magnitude and recovery lag vary with host factors. Extreme age, malnutrition, and diabetes flatten or postpone the normal rebound, diminishing the predictive clarity of single-time-point measurements. Serial surveillance of these lags can therefore refine risk stratification and guide the timing of immunonutritional or anti-inflammatory interventions in elderly CAP.
Interpretation of lag
The x-axis represents different lag times in the analysis, where a lag of 0 indicates the correlation between lymphocytes and inflammatory markers at the same time point. Positive lag times (e.g., lag 1) indicate that changes in inflammatory markers follow changes in lymphocytes, while negative lag times (e.g., lag −1) indicate that changes in inflammatory markers precede changes in lymphocytes. The y-axis represents the cross-correlation coefficient (r), with values closer to 1 or −1 indicating stronger positive or negative correlations, respectively. The peak of the cross-correlation coefficient shows the strongest correlation and, based on the lag time, indicates whether lymphocyte changes drive inflammatory markers or are driven by them. Higher coefficients suggest stronger immune-inflammatory interactions.
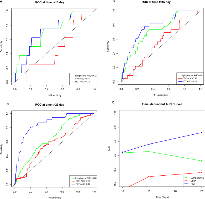
Discriminatory power of baseline biomarkers
Cox-based linear predictors derived from the first 24 h laboratory panel were evaluated with time-dependent ROC curves at days 10, 15, 25 (Fig. 6). Procalcitonin was the most accurate marker throughout (AUC 0.72, 0.78, 0.86). Lymphocyte count gained predictive strength over time (AUC 0.66, 0.74, 0.83), nearly equalling PCT by day 25. CRP showed the weakest performance at every landmark (AUC 0.59, 0.63, 0.69).
Time-dependent discrimination of baseline lymphocyte count, CRP and PCT for 28-day mortality in CAP. Panel A-C shows time-dependent ROC curves at three clinically relevant landmarks (day 10, 15 and 25); Panel D depicts the corresponding area-under-the-curve (AUC) trajectories. Curves are colour-coded—green: lymphocyte count, red: CRP, blue: PCT. Results are based on Cox-derived linear predictors from the first measurement obtained within 24 h of admission. The diagonal grey line represents no-discrimination (AUC = 0.50). Higher AUC values denote superior prognostic accuracy.
This suggesting that a single early PCT measurement is useful for initial triage, whereas the trajectory of lymphocyte recovery becomes increasingly informative for longer-term outcome assessment. CRP adds minimal independent prognostic value.
Discussion
Summary of main findings and clinical relevance
This study provides a comprehensive analysis of immune and inflammatory biomarker dynamics in older adults with CAP, leveraging advanced time-series methods (ARIMA modeling and CCF). We found that declines in lymphocyte counts consistently preceded subsequent rises in CRP and PCT, signaling early immune dysregulation that anticipates escalation of inflammation. These time-lagged relationships were most pronounced in patients with adverse outcomes. Stratified analyses revealed that advancing age, poor nutritional status, and diabetes each disrupted the synchrony and prognostic clarity of these biomarker trajectories, highlighting the need for personalized management in this population.
Clinically, our findings underscore the value of serial lymphocyte and PCT monitoring, especially in patients at higher risk (those with malnutrition or diabetes). Early shifts in these biomarkers may serve as warning signals, enabling timely interventions and potentially improving outcomes. Our results also reinforce the importance of routine nutritional assessment and metabolic management as integral components of care for elderly CAP patients.
Dynamic biomarker trends and prognosis
Lymphopenia was a robust and early marker of poor prognosis, in line with previous studies18,19. Notably, lymphocyte reductions nearly always preceded elevations in CRP and PCT, offering a temporal window for early risk assessment. This temporal pattern was further substantiated by cross-correlation analysis, which demonstrated that lymphocyte drops foreshadowed inflammatory surges. Persistent PCT elevation—supported by both our data and prior literature20,21—emerged as a sensitive indicator of severe infection and adverse outcomes. Together, these dynamic trends suggest that immune dysfunction can drive an excessive inflammatory response, reflecting progressive disease and higher risk of mortality22,23.
CRP and PCT exhibited distinct kinetics
PCT rose and declined more rapidly, while CRP responded slowly and, in some non-survivors, plateaued or declined late—likely signifying terminal immunoparesis or hepatic failure rather than recovery25. Thus, dynamic joint evaluation of these markers provides more accurate prognostication than static or single-marker assessment.
ARIMA models further validated these patterns by accurately forecasting biomarker trajectories and demonstrating their consistency across populations and subgroups, supporting their potential clinical application for short-term outcome prediction.
Superiority of PCT Over CRP as a prognostic marker
Our analysis confirmed that PCT is a more reliable and discriminative biomarker than CRP for predicting outcomes in elderly CAP. PCT maintained clear group separation and minimal overlap in confidence intervals at all timepoints, unlike CRP, whose signal was weaker, especially early on. These differences are grounded in biological distinctiveness—PCT is rapidly induced in bacterial infection, while CRP rises and falls more slowly and is less specific24,25. Thus, PCT may be more suitable for early triage, while lymphocyte trajectories become increasingly important for predicting longer-term outcomes (as shown in our time-dependent ROC analysis).
Impact of nutrition and diabetes on immune-inflammatory dynamics
Malnutrition and diabetes emerged as key modifiers of immune-inflammatory coordination. Malnourished patients experienced more pronounced lymphopenia and exaggerated inflammatory responses, in line with past findings that malnutrition impairs immune cell function26,27,28,29,30,31. Our lag analysis showed that malnutrition not only weakens the strength of biomarker correlations but also destabilizes their temporal sequence, making timely diagnosis and intervention more difficult. Diabetes was associated with blunted and delayed correlations between lymphocyte changes and inflammation, consistent with chronic immune dysfunction in this population32,33,34. Notably, patients with both diabetes and malnutrition had the most profound and prolonged uncoupling of immune and inflammatory markers, as revealed by CCF stratifications—indicating a synergistic detrimental effect that can inform risk stratification and management priorities.
Age-related differences in biomarker dynamics
Age stratification showed that correlations between lymphocyte counts and inflammatory markers weakened progressively with age, becoming least pronounced in patients ≥ 85 years. This pattern is consistent with immunosenescence—the gradual erosion of innate and adaptive immunity that accompanies aging35,36. Advanced immunosenescence reduces baseline lymphocyte reserves and amplifies inter-individual variability37, while a heavier burden of comorbidity and frailty further dilutes the independent prognostic value of any single biomarker. Similar attenuation of predictive power in the oldest-old has been reported elsewhere38.
Our data also indicate that, in very elderly patients, lymphocyte decline still precedes subsequent rises in CRP and PCT, but the temporal gap widens. This delay supports the notion that an impaired immune trigger contributes to dysregulated, and eventually exaggerated, inflammation—an observation echoed by Chang et al.39 and Beer et al.40. These findings argue for age-tailored prognostic tools and for trials of immunomodulatory strategies specifically designed for the oldest-old.
Innovation and clinical value
We applied ARIMA forecasting together with cross-correlation functions to serial laboratory data. These techniques, rarely used in CAP research, detect directionality and lag between immune (lymphocyte) and inflammatory (CRP, PCT) signals, providing a dynamic view that static statistics cannot offer.
Stratifying by age, nutrition, and diabetes uncovered distinct biomarker phenotypes, revealing how common geriatric conditions distort the timing and strength of immune-inflammatory coupling.
Because lymphocyte decline reliably antedated rises in CRP and PCT, routine early lymphocyte monitoring could trigger pre-emptive measures—nutritional supplementation, tighter glycaemic control, or prompt anti-infective escalation—before fulminant inflammation develops.
Limitations and future directions
Despite its strengths, this study has several limitations that should be acknowledged. First, the retrospective design may introduce selection bias and limit the generalizability of the findings. To mitigate this limitation, we employed strict inclusion and exclusion criteria and used a large sample size to enhance the robustness of the analyses. However, prospective studies are needed to validate these findings and establish causal relationships between biomarker dynamics and clinical outcomes.
Second, the study was conducted at a single center, which may not fully capture the variability in CAP management practices across different healthcare settings. Future multicenter studies are warranted to confirm the generalizability of these findings and explore potential regional or institutional differences in biomarker dynamics.
Third, while this study focused on three key biomarkers (lymphocytes, CRP, and PCT), other potentially relevant biomarkers, such as interleukin-6, tumor necrosis factor-alpha, and ferritin, were not included. The inclusion of a broader range of biomarkers in future studies could provide a more comprehensive understanding of immune-inflammatory interactions in CAP.
Fourth, the study did not account for the potential effects of treatment interventions, such as antibiotics or corticosteroids, on biomarker dynamics. Future studies should incorporate detailed data on treatment interventions to better understand their impact on biomarker trajectories.
Finally, while the use of ARIMA models and CCF represents a methodological innovation, these techniques require further validation in prospective studies to confirm their clinical utility. Future research should focus on integrating these dynamic modeling approaches with clinical and demographic variables to develop predictive models for risk stratification and personalized treatment strategies.
Conclusion
Using time-series analytics, we showed that an early fall in lymphocytes forecasts subsequent CRP and PCT surges in older adults hospitalised with CAP. The magnitude and delay of this sequence vary with age, malnutrition, and diabetes, underscoring the need for patient-specific monitoring. Incorporating serial biomarker assessment into routine care could sharpen early risk stratification and guide timely, targeted interventions, ultimately improving outcomes in this vulnerable population.
Data availability
The datasets generated during the current study are available from the corresponding author upon reasonable request.
References
Aliberti, S., Dela Cruz, C. S., Amati, F., Sotgiu, G. & Restrepo, M. I. Community-acquired pneumonia. Lancet 398 (10303), 906–919. https://doi.org/10.1016/S0140-6736(21)00630-9 (2021).
Cillóniz, C., Dominedò, C., Pericàs, J. M., Rodriguez-Hurtado, D. & Torres, A. Community-acquired pneumonia in critically ill very old patients: a growing problem. Eur. Respir. Rev. 29 (155), 190126. https://doi.org/10.1183/16000617.0126-2019 (2020).
Mancinetti, F., Marinelli, A., Boccardi, V. & Mecocci, P. Challenges of infectious diseases in older adults: From immunosenescence and inflammaging through antibiotic resistance to management strategies. Mech. Ageing Dev. 222, 111998. https://doi.org/10.1016/j.mad.2024.111998 (2024).
Teissier, T., Boulanger, E. & Cox, L. S. Interconnections between Inflammageing and Immunosenescence during ageing. Cells 11 (3), 359. https://doi.org/10.3390/cells11030359 (2022).
Krüger, S. & Welte, T. Biomarkers in community-acquired pneumonia. Expert Rev. Respir. Med. 6 (2), 203–214. https://doi.org/10.1586/ers.12.6 (2012).
Olson, G. & Davis, A. M. Diagnosis and treatment of adults with community-acquired pneumonia. JAMA 323 (9), 885–886. https://doi.org/10.1001/jama.2019.21118 (2020).
Méndez, R. et al. Lymphopenic community-acquired pneumonia is associated with a dysregulated immune response and increased severity and mortality. J. Infect. 78 (6), 423–431. https://doi.org/10.1016/j.jinf.2019.04.006 (2019).
Doeleman, S. E. et al. Lymphopenia is associated with broad host response aberrations in community-acquired pneumonia. J. Infect. 88 (4), 106131. https://doi.org/10.1016/j.jinf.2024.106131 (2024).
Ma, Y. C. et al. Exploring the relationship between malnutrition and the systemic immune-inflammation index in older inpatients: a study based on comprehensive geriatric assessment. BMC Geriatr. 24 (1), 19. https://doi.org/10.1186/s12877-023-04604-8 (2024).
Norman, K., Haß, U. & Pirlich, M. Malnutrition in older adults-recent advances and remaining challenges. Nutrients 13 (8), 2764. https://doi.org/10.3390/nu13082764 (2021).
Holt, R. I. G., Cockram, C. S., Ma, R. C. W. & Luk, A. O. Y. Diabetes and infection: review of the epidemiology, mechanisms and principles of treatment. Diabetologia 67 (7), 1168–1180. https://doi.org/10.1007/s00125-024-06102-x (2024).
Frydrych, L. M., Bian, G., O’Lone, D. E., Ward, P. A. & Delano, M. J. Obesity and type 2 diabetes mellitus drive immune dysfunction, infection development, and sepsis mortality. J. Leukoc. Biol. 104 (3), 525–534. https://doi.org/10.1002/JLB.5VMR0118-021RR (2018).
Metlay, J. P. et al. Diagnosis and treatment of adults with community-acquired pneumonia: An official clinical practice guideline of the American Thoracic Society and Infectious Diseases Society of America. Am. J. Respir. Crit. Care Med. 200 (7), e45–e67. https://doi.org/10.1164/rccm.201908-1581ST (2019).
Kaiser, M. J. et al. Validation of the mini nutritional assessment short-form (MNA-SF): a practical tool for identification of nutritional status. J. Nutr. Health Aging 13 (9), 782–788. https://doi.org/10.1007/s12603-009-0214-7 (2009).
Schaffer, A. L., Dobbins, T. A. & Pearson, S. A. Interrupted time series analysis using autoregressive integrated moving average (ARIMA) models: a guide for evaluating large-scale health interventions. BMC Med. Res. Methodol. 21 (1), 58. https://doi.org/10.1186/s12874-021-01235-8 (2021).
Patharkar, A., Cai, F., Al-Hindawi, F. & Wu, T. Predictive modeling of biomedical temporal data in healthcare applications: review and future directions. Front. Physiol. 15, 1386760. https://doi.org/10.3389/fphys.2024.1386760 (2024).
Box, G. E. P., Jenkins, G. M., Reinsel, G. C. & Ljung, G. M. Time Series Analysis: Forecasting and Control (Wiley, UK, 2015).
Cilloniz, C. et al. Lymphopenia is associated with poor outcomes of patients with community-acquired pneumonia and sepsis. Open Forum Infect. Dis. 8 (6), ofab169. https://doi.org/10.1093/ofid/ofab169 (2021).
Elçioğlu, Z. C. et al. Pooled prevalence of lymphopenia in all-cause hospitalisations and association with infection: a systematic review and meta-analysis. BMC Infect. Dis. 23 (1), 848. https://doi.org/10.1186/s12879-023-08845-1 (2023).
Wacker, C., Prkno, A., Brunkhorst, F. M. & Schlattmann, P. Procalcitonin as a diagnostic marker for sepsis: a systematic review and meta-analysis. Lancet Infect. Dis. 13 (5), 426–435. https://doi.org/10.1016/S1473-3099(12)70323-7 (2013).
Ebell, M. H., Bentivegna, M., Cai, X., Hulme, C. & Kearney, M. Accuracy of biomarkers for the diagnosis of adult community-acquired pneumonia: A meta-analysis. Acad. Emerg. Med. 27 (3), 195–206. https://doi.org/10.1111/acem.13889 (2020).
Rombauts, A., Abelenda-Alonso, G., Cuervo, G., Gudiol, C. & Carratalà, J. Role of the inflammatory response in community-acquired pneumonia: clinical implications. Expert. Rev. Anti. Infect. Ther. 20 (10), 1261–1274. https://doi.org/10.1080/14787210.2021.1834848 (2022).
Kuypers, F. A. Hyperinflammation, apoptosis, and organ damage. Exp. Biol. Med. (Maywood) 247 (13), 1112–1123. https://doi.org/10.1177/15353702221090454 (2022).
Gutiérrez-Gutiérrez, B. et al. Predictive value of the kinetics of procalcitonin and C-reactive protein for early clinical stability in patients with bloodstream infections due to Gram-negative bacteria. Diagn. Microbiol. Infect. Dis. 93 (1), 63–68. https://doi.org/10.1016/j.diagmicrobio.2018.07.019 (2019).
Castelli, G. P. et al. Procalcitonin and C-reactive protein during systemic inflammatory response syndrome, sepsis and organ dysfunction. Crit. Care 8 (4), R234–R242. https://doi.org/10.1186/cc2877 (2004).
Bourke, C. D., Berkley, J. A. & Prendergast, A. J. Immune dysfunction as a cause and consequence of malnutrition. Trends Immunol. 37 (6), 386–398. https://doi.org/10.1016/j.it.2016.04.003 (2016).
Alwarawrah, Y., Kiernan, K. & MacIver, N. J. Changes in nutritional status impact immune cell metabolism and function. Front. Immunol. 9, 1055. https://doi.org/10.3389/fimmu.2018.01055 (2018).
Ruiz, A. J. et al. Clinical and economic outcomes associated with malnutrition in hospitalized patients. Clin. Nutr. 38 (3), 1310–1316. https://doi.org/10.1016/j.clnu.2018.05.016 (2019).
Bellanti, F., Lo Buglio, A., Quiete, S. & Vendemiale, G. Malnutrition in hospitalized old patients: Screening and diagnosis, clinical outcomes, and management. Nutrients 14 (4), 910. https://doi.org/10.3390/nu14040910 (2022).
Dent, E., Wright, O. R. L., Woo, J. & Hoogendijk, E. O. Malnutrition in older adults. Lancet 401 (10380), 951–966. https://doi.org/10.1016/S0140-6736(22)02612-5 (2023).
Burr, A. H. P., Bhattacharjee, A. & Hand, T. W. Nutritional modulation of the microbiome and immune response. J. Immunol. 205 (6), 1479–1487. https://doi.org/10.4049/jimmunol.2000419 (2020).
Pearson-Stuttard, J., Blundell, S., Harris, T., Cook, D. G. & Critchley, J. Diabetes and infection: assessing the association with glycaemic control in population-based studies. Lancet Diabetes Endocrinol. 4 (2), 148–158. https://doi.org/10.1016/S2213-8587(15)00379-4 (2016).
Critchley, J. A. et al. Glycemic control and risk of infections among people with type 1 or type 2 diabetes in a large primary care cohort study. Diabetes Care 41 (10), 2127–2135. https://doi.org/10.2337/dc18-0287 (2018).
Gora, I. M., Ciechanowska, A. & Ladyzynski, P. NLRP3 Inflammasome at the Interface of inflammation, endothelial dysfunction, and type 2 diabetes. Cells 10 (2), 314. https://doi.org/10.3390/cells10020314 (2021).
Pawelec, G. et al. The conundrum of human immune system “senescence”. Mech. Ageing Dev. 192, 111357. https://doi.org/10.1016/j.mad.2020.111357 (2020).
Vallet, H. et al. The impact of age-related syndromes on ICU process and outcomes in very old patients. Ann. Intensive Care 13 (1), 68. https://doi.org/10.1186/s13613-023-01160-7 (2023).
Fulop, T. et al. Immunosenescence and inflamm-aging as two sides of the same coin: Friends or foes?. Front. Immunol. 8, 1960. https://doi.org/10.3389/fimmu.2017.01960 (2018).
Fuentes, E., Fuentes, M., Alarcón, M. & Palomo, I. Immune system dysfunction in the elderly. An. Acad. Bras. Cienc. 89 (1), 285–299. https://doi.org/10.1590/0001-3765201720160487 (2017).
Chang, S. T. et al. Age-dependent immune profile in healthy individuals: an original study, systematic review and meta-analysis. Immun. Ageing 21 (1), 75. https://doi.org/10.1186/s12979-024-00480-x (2024).
Beer, J. et al. Impaired immune response drives age-dependent severity of COVID-19. J. Exp. Med. 219 (12), e20220621. https://doi.org/10.1084/jem.20220621 (2022).
Funding
This work was supported by Health and Family Planning Commission of Lianyungang City (QN202210), Health and Family Planning Commission of Lianyungang City (Aging Health Research Project L202308), Lianyungang City Cancer Prevention and Treatment Science and Technology Project (MS202408), and Science Foundation of Kangda College of Nanjing Medical University (KD2024KYJJ039).
Author information
Authors and Affiliations
Contributions
Jingxian Liao: Writing—original draft, Writing—review & editing, Data curation, Resources, Funding acquisition, Formal analysis. Chunhui Xie: Writing—original draft, Writing—review & editing, Data curation, Resources. Chen Gong and Yunfeng Li: Writing—original draft, Data curation, Resources. Lei Miao: Writing—review & editing, Writing—original draft, Data curation, Conceptualization. Qing Xiao: Writing—review & editing, Writing—original draft, Data curation.
Corresponding authors
Ethics declarations
Competing interests
The authors declare no competing interests.
Ethics approval and consent to participate
This study was approved by the Ethics Committee of the Second People’s Hospital of Lianyungang (No. 2022K040). The Ethics Committee of the Second People’s Hospital of Lianyungang waived the requirement for informed consent due to the retrospective nature of the study.
Additional information
Publisher’s note
Springer Nature remains neutral with regard to jurisdictional claims in published maps and institutional affiliations.
Rights and permissions
Open Access This article is licensed under a Creative Commons Attribution-NonCommercial-NoDerivatives 4.0 International License, which permits any non-commercial use, sharing, distribution and reproduction in any medium or format, as long as you give appropriate credit to the original author(s) and the source, provide a link to the Creative Commons licence, and indicate if you modified the licensed material. You do not have permission under this licence to share adapted material derived from this article or parts of it. The images or other third party material in this article are included in the article’s Creative Commons licence, unless indicated otherwise in a credit line to the material. If material is not included in the article’s Creative Commons licence and your intended use is not permitted by statutory regulation or exceeds the permitted use, you will need to obtain permission directly from the copyright holder. To view a copy of this licence, visit http://creativecommons.org/licenses/by-nc-nd/4.0/.
About this article
Cite this article
Liao, J., Xie, C., Miao, L. et al. Time series modeling shows early lymphocyte decline predicts inflammatory rise and mortality in older adults with community acquired pneumonia. Sci Rep 15, 38783 (2025). https://doi.org/10.1038/s41598-025-22627-6
Received:
Accepted:
Published:
Version of record:
DOI: https://doi.org/10.1038/s41598-025-22627-6





