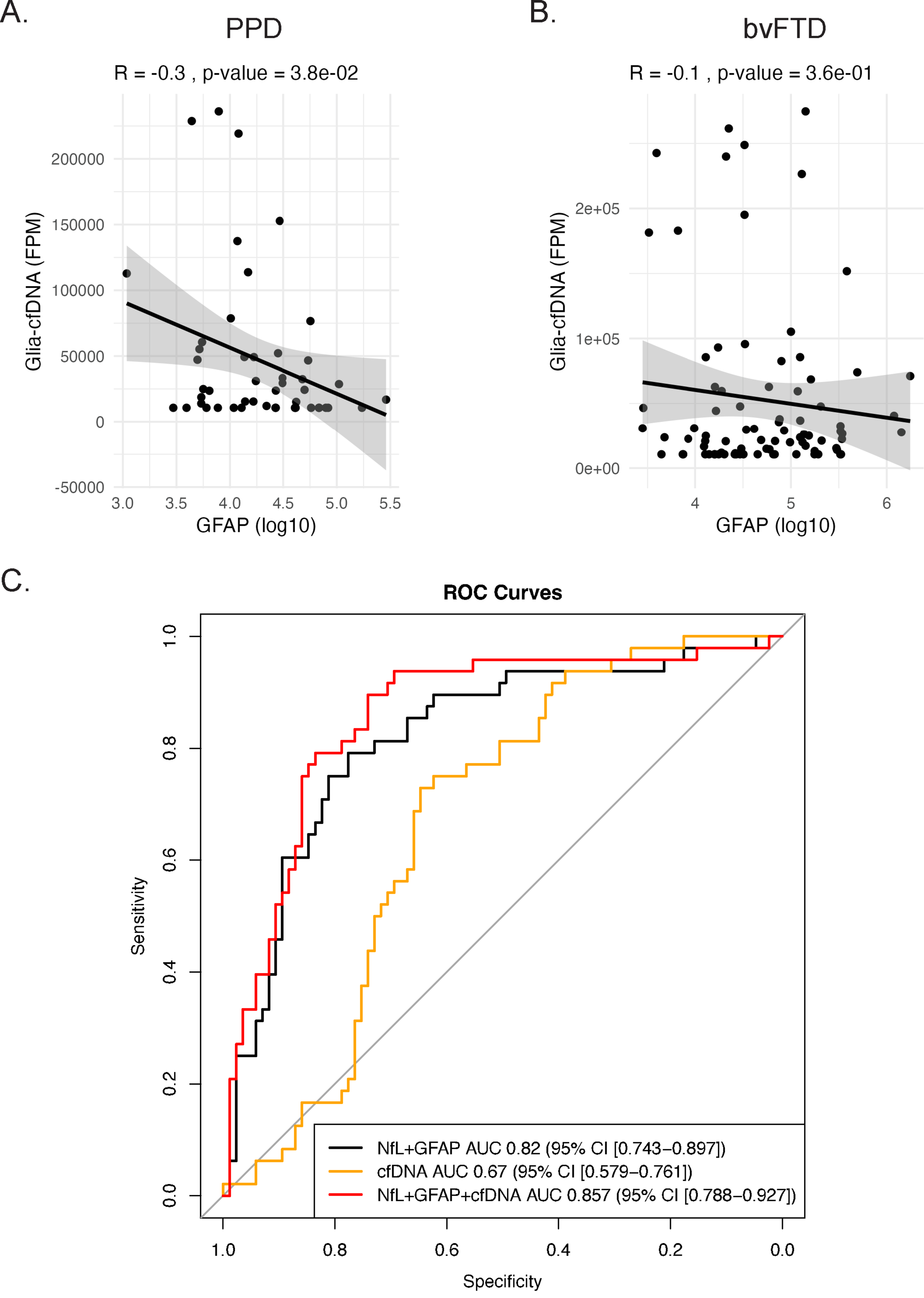
Fig. 3

Brain-derived cfDNA associations with brain-derived protein levels. (A) Scatterplot showing correlation between the GFAP levels and Glia-cfDNA levels of PPD and (B) bvFTD subjects. (C) ROC-curves analyses of brain-derived cfDNA and brain-derived proteins in discriminating s-bvFTD and PPD.