Abstract
Behavioral variant frontotemporal dementia (bvFTD) and primary psychiatric disorders (PPD) have symptomatic overlap that leads to diagnostic challenges. Cell-free DNA (cfDNA) tests have revolutionized prenatal non-invasive testing and cancer diagnostics. This study investigated the diagnostic potential of brain-derived cfDNA in plasma to differentiate sporadic bvFTD from PPD subjects. Targeted bisulfite sequencing was conducted to quantify glial and neuronal cfDNA levels in plasma samples from 179 bvFTD and 102 PPD subjects of the multi-center DIPPA-FTD study. No significant differences were observed in the absolute levels of glial or neuronal cfDNA between the groups. However, the neuronal-to-glial cfDNA ratio (NGR) was significantly higher in PPD cases (p = 0.0002), suggesting a relative increase in neuronal cfDNA in PPD compared to bvFTD. Diagnostic performance analysis revealed that neuronal cfDNA and NGR achieved an area under the curve (AUC) of 0.74, with a sensitivity of 90% but a specificity of 44% in distinguishing bvFTD from PPD. While increased serum levels of neurofilament light (NfL) and glial fibrillary acidic protein (GFAP) have been shown to effectively differentiate bvFTD from PPD, the addition of brain-derived cfDNA did not provide any incremental diagnostic benefit over these established biomarkers.
Introduction
Behavioral variant frontotemporal dementia (bvFTD), the second most common cause of young-onset dementia, can present with neuropsychiatric symptoms such as apathy, compulsiveness, and delusions, resembling primary psychiatric disorders (PPD) like depression, obsessive-compulsive disorder, and psychosis1,2,3. This symptomatic overlap often leads to diagnostic challenges, as both bvFTD and PPD can manifest at similar ages, resulting in diagnostic delays for bvFTD of up to six years and a misdiagnosis rate of 25–50%1,2,4,5,6. While 20–30% of bvFTD cases are linked to monogenic causes7,8,9, most cases are sporadic, with no genetic markers or familial history10,11. This lack of genetic markers in sporadic bvFTD exacerbates the diagnostic challenge, often delaying appropriate treatment and support12. With the advent of disease-modifying treatments, early diagnosis of bvFTD is crucial for enabling future trial participation, making the distinction between bvFTD and late-onset PPD a key challenge13.
We have recently shown that increased serum levels of neuron and glial derived proteins, neurofilament light (NfL) and glial fibrillary acidic protein (GFAP), within bvFTD facilitate diagnosis from PPD subjects14. Similar to brain-derived proteins, small fragments of DNA, termed cell-free DNA (cfDNA), can enter the bloodstream following the release during cell death. Analysis of cfDNA in the bloodstream has been used in prenatal non-invasive testing15, as well as in the detection of neurological cancers16, indicating a possible avenue for non-invasive diagnosis and monitoring of neurodegenerative disease. Analysis of the DNA methylation of such fragments, via bisulfite sequencing, allows the cell-of-origin to be determined, and relative proportions from cell types of interest to be quantified. We have recently developed a targeted next-generation bisulfite sequencing (tNGBS) assay that facilitates deep sequencing of genomic regions with distinct DNA methylation patterns of glia and neurons, establishing a cost-effective method of quantifying plasma cfDNA from brain cells i.e. brain-derived cfDNA17. Here we investigate the discriminatory ability of brain-derived cfDNA to diagnose bvFTD from PPD in a multi-center study, designed to improve the differential diagnosis between sporadic bvFTD and PPD.
Results
Laboratory processing results
We aimed to evaluate the diagnostic potential of brain-derived cell-free DNA for distinguishing sporadic bvFTD from subjects with late-onset PPD using a cost-effective targeted bisulfite sequencing assay to analyse neuron- and glia-derived cell-free DNA (Fig. 1A-D). Blood plasma was available for all 281 participants, but the plasma volumes varied significantly between all sites (BH-adjusted p < 0.006, Supplementary Fig. 1A) due to site specific biobanking protocols and/or sample availability. Fifty-one samples had no detectable cfDNA (18.15%). The total cfDNA extracted and the plasma cfDNA concentrations were significantly higher in the Australian cohort compared to samples from the German and Italian sites (Supplementary Fig. 1B-E). However, no significant differences were observed between total cfDNA extracted or plasma cfDNA concentrations between bvFTD and PPD diagnosis (Supplementary Fig. 1B-E).
Schematic of the study. The figure shows a schematic of the workflow for assessing brain-derived biomarkers in blood samples from bvFTD and PPD subjects. The study aimed to evaluate the clinical utility of brain-derived cell-free DNA (cfDNA) (and protein biomarkers e.g. NfL) in differentiating sporadic bvFTD subjects from PPD. (A) Blood samples were collected from PPD and bvFTD subjects (left) and (B) plasma cfDNA fragments were enriched from regions of the genome known to exhibit neuron- and glia-specific DNA methylation (5mC) patterns. (C) Targeted bisulfite sequencing was performed on 17 loci identified previously as displaying highly specific DNA methylation patterns in neurons and glia37. (D) The cfDNA methylation patterns obtained from sequencing were analyzed using the methylK lookup approach to match them with established neuron- and glia-specific 5mC profiles37. These patterns were then used to assign cfDNA fragments to their cell of origin.
A total of 309 samples were sequenced, including patient samples with sufficient usable plasma (n = 281), as well as No Template Controls (NTCs) (n = 3) and sequencing replicates (n = 28). Following adapter trimming and filtering of raw sequencing reads, a mean read count of 4.5 M paired-end reads per sample (sd = 2.65 M) was obtained, equating to a sequencing depth of ~ 237,209 X for each assay (17-plex and 2 lambda assays). Significantly fewer reads per sample were observed in the Netherlands cohort compared to the Australian cohort (Supplementary Fig. 2A). We observed a high bisulfite conversion efficiency with a mean conversion efficiency of 99.48% (Supplementary Fig. 2B). Only 16 samples (5.7%) had a conversion efficiency < 99% but were retained for further analysis for completeness of dataset. No site-specific differences were observed. The demographic and laboratory characteristics of the 281 participants are summarized by diagnosis in Table 1, and further detailed by site in Supplementary Table 1.
The quantification of Glia and Neuron-cfDNA levels (FPM) was highly reproducible between technical replicates (R2 > 0.97, Fig. 2A & Supplementary Fig. 2C). The NTC samples produced significantly fewer trimmed reads as well as significantly lower Glia and Neuron levels (FPM) compared to cfDNA samples (students t-test, p < 0.0004). The low-level sequencing information derived from NTCs could be potentially derived from molecular interactions during the library prep e.g. primer-dimer or contamination. Therefore, a threshold was applied to the Glia and Neuron FPMs for cfDNA samples using the 95% confidence interval (CI) of scaled (z-scaled) NTC data i.e. Glia and Neuron-cfDNA levels less than the 95% CI (right side) were adjusted to the 95% CI level (Supplementary Fig. 3A & B).
Brain-derived cell-free DNA measurements in sporadic bvFTD and late onset PPD. (A) Scatterplot of glia fragments per million (FPM) between technical replicates. (B) Scatterplot showing correlation between the age (at blood draw) and NGR for PPD subjects (C) Violin plot of Glia-cfDNA levels. (D) Violin plot of Neuron-cfDNA levels. (E) Violin plot of Neuron to Glia-cfDNA ratio (NGR). Welch’s two-sample t-test **** P = 0. 000002. (F) Receiver operating characteristic (ROC) curve for distinguishing bvFTD from PPD cases using Neuron-cfDNA, NGR and Age of onset as covariates.
Glia and neuron-cfDNA levels within sporadic BvFTD and late-onset PPD
In general brain-derived cfDNA was low in the plasma of these samples. We evaluated the associations of Glia- and Neuron-cfDNA with patient age and sex. Neither Glia- nor Neuron-cfDNA exhibited any significant correlation with patient age, nor did we find any associations with the years since the first clinical visit. Additionally, no significant differences were found between male and female subjects (Mann–Whitney U, p-value > 0.05). However, we found weak negative correlations between the ratio of Neuron- to Glia-cfDNA (NGR) and the age of each subject at the time of the blood draw (Pearson’s r = − 0.2, p-value = 0.00146). Notably, when subsetting the patients based on diagnosis, this negative correlation between age and NGR was only found within PPD subjects (Pearson’s r = − 0.2, p-value = 0.03) (Fig. 2B & Supplementary Fig. 2D), whereby younger subjects have relatively more Neuron-cfDNA to Glial-cfDNA than older subjects.
We found that there were no significant differences in the levels of Glia- or Neuron-cfDNA between bvFTD and PPD cases (Fig. 2C, D). However, we did observe the NGR was significantly higher in PPD cases, indicating a greater amount of Neuron-cfDNA relative to Glia-cfDNA within these cases (p = 0.00002, Fig. 2E). This effect was consistently observed across all sites (Supplementary Table 1.). To classify subjects with bvFTD and PPD, we applied a generalized linear model with likelihood-based boosting (glmboost, methods), using age of onset and NGR as independent variables. This model achieved an AUC of 0.74, with 90% sensitivity at 44% specificity (Fig. 2F). In addition, the disease duration was available for 30 subjects (26 bvFTD, 4 PPD), however linear regression models assessing the association between cfDNA measurements (NGR, Neuron- and Glia-cfDNA) and disease duration, both across all subjects (n = 30) and within the bvFTD subgroup (n = 26), revealed no significant relationships.
Comparison with brain-derived protein levels
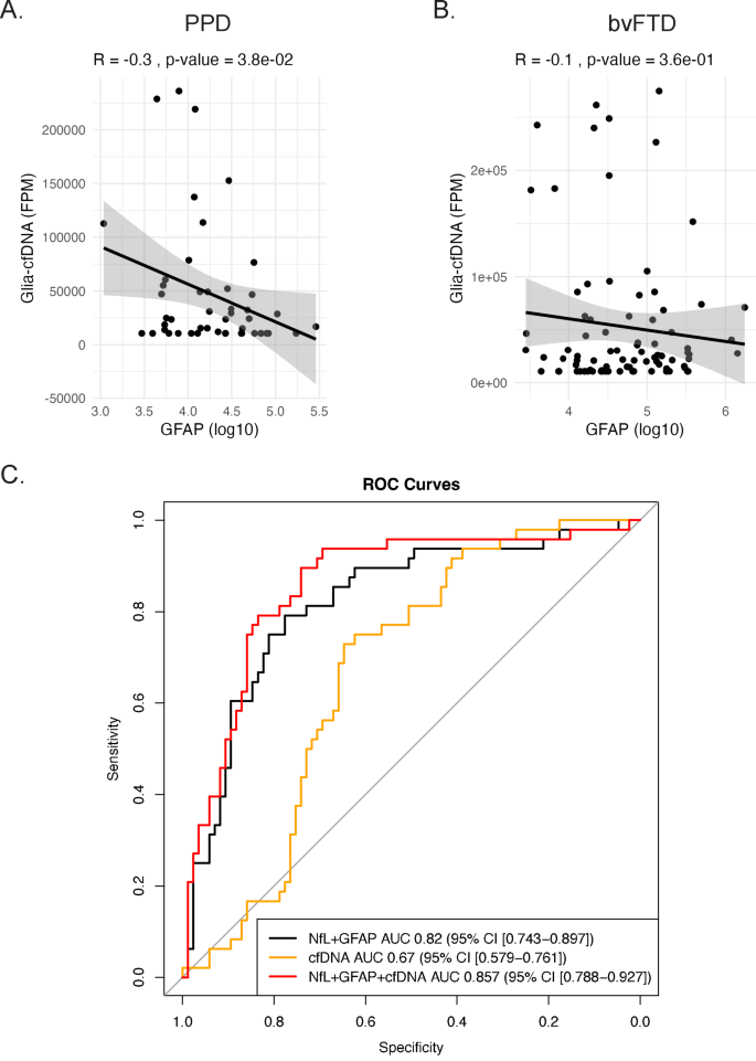
Our recently published data on plasma NfL and GFAP levels assessed within 275 bvFTD and 82 PPD subjects demonstrated that both biomarkers were significantly elevated in individuals with bvFTD compared to those with PPD14. We assessed brain-derived cfDNA within a subset of overlapping cases (81 bvFTD and 52 PPD) and found no correlation between Neuron, Glia-cfDNA (or NGR) with the measurements of NfL and GFAP (Pearson’s p-value > 0.05) across the entire cohort. This is potentially due to these biomarkers being derived from different organelles (nucleus vs. cytosol) within these cells as well as the biomarkers having significantly differing half-lives (weeks for protein, hours for cfDNA). Nevertheless, we hypothesized that the biomarkers would be correlated and, unexpectedly, there was a weak negative correlation between GFAP and Glia-cfDNA within PPD subjects (Pearson’s r = -0.3, p-value = 0.04), which was not observed in bvFTD (Fig. 3A & B).
Brain-derived cfDNA associations with brain-derived protein levels. (A) Scatterplot showing correlation between the GFAP levels and Glia-cfDNA levels of PPD and (B) bvFTD subjects. (C) ROC-curves analyses of brain-derived cfDNA and brain-derived proteins in discriminating s-bvFTD and PPD.
Evaluating the addition of glia and neuron-cfDNA assessments to the discrimination of BvFTD and PPD
We found that NGR measurements offer some discriminative ability between bvFTD and PPD subjects, hence we next evaluated whether adding these measurements enhances the discriminative power of current gold standard brain-derived protein measurements (NfL and GFAP). Firstly, we assessed the diagnostic performance of the optimal set of protein biomarkers and patient phenotypic information (NfL, GFAP, sex, and age) using linear regression, as previously described by14, within the 133 subjects with matched cell-free DNA measurements. We found a high accuracy in distinguishing bvFTD from PPD (AUC = 0.82) (Fig. 3C). We note that the reduced accuracy compared to our previous report (AUC = 0.878) is likely due to the smaller sample size of the current cohort. Next, we evaluated the diagnostic accuracy with the addition of cfDNA measurements (NGR) to the previous model covariates (NfL, GFAP, sex, and age) and found that the additional cfDNA information slightly improved the model accuracy (AUC = 0.857, DeLong p-value = 0.07). Finally, we analyzed a subset of PPD subjects with an available diagnosis (n = 65). We compared across subtypes, though some subgroups, such as Schizophrenia (SCZ) (n = 2), were limited in size, leading to underpowered comparisons (Supplementary Figs. 5 A-C). Notably, SCZ subjects exhibited the highest NGR.
Discussion
This study evaluated the diagnostic potential of brain-derived cfDNA to distinguish bvFTD from PPD. Using a cost-effective targeted bisulfite sequencing assay, we quantified neuron- and glia-derived cfDNA in 281 participants from multiple biobanking sites, achieving deep sequencing coverage (mean 4.5 million paired-end reads per sample) and high technical reproducibility (R² > 0.97). While absolute levels of Glia- or Neuron-cfDNA did not differ significantly between bvFTD and PPD cases, the Neuron-to-Glia ratio (NGR) was significantly elevated in PPD patients, suggesting greater relative contributions of Neuron-cfDNA relative to Glia-cfDNA in this group. A recent study has shown increased methylation of plasma brain-derived DNA for brain-derived neurotrophic growth factor (BDNF) only in a subset of psychiatric disorders (predominantly those with more severe reactive depression) that related to exposure to occupational stress18. This may suggest that more active involvement of stress-mediated DNA damage occurs in some psychiatric disorders.
Interestingly, no correlation was observed between cfDNA biomarkers and established protein biomarkers, such as neurofilament light (NfL) and glial fibrillary acidic protein (GFAP), potentially reflecting differences in their cellular origin (nucleus vs. cytosol) and biomarker half-lives (hours for cfDNA vs. weeks for proteins). This disconnect was also observed in the recent paper measuring methylation of plasma brain-derived DNA for brain-derived neurotrophic growth factor and its protein levels in plasma18, suggesting that these different biomarkers may reflect different aspects of these diseases.
Our working hypothesis posited that subjects with bvFTD would exhibit higher levels of brain-derived cfDNA due to the neurodegenerative processes associated with the disease. However, we observed only moderate differences in brain-derived cfDNA levels and a limited ability to differentiate bvFTD from PPD based on brain-derived cfDNA alone. Previous studies have explored cfDNA concentrations in psychiatric conditions such as schizophrenia and depression, with mixed results (reviewed in 19). Findings suggest that schizophrenia patients may have elevated cfDNA levels compared to healthy controls19, however it’s important to decipher the origin of cfDNA to enhance our understanding of disease pathobiology and improve diagnostic accuracy. Recently it has been shown that individuals experiencing a first psychotic episode in schizophrenia exhibit increased brain-derived cfDNA compared to controls20. Notably the AUC (0.77) is comparable to our results differentiating bvFTD and PPD (AUC 0.74), indicating brain-derived cfDNA as a potential biomarker. This could reflect the limitations of the targeted sequencing technologies used in both studies (described below). Nevertheless, while the diagnostic accuracy of established biomarkers such as NfL and GFAP in distinguishing bvFTD from PPD is relatively high (AUC = 0.878)14, several limitations to clinical utility exist (detailed below). Our analysis sought to determine whether the moderate differences observed in brain-derived cfDNA could enhance the diagnostic capability of these gold-standard biomarkers. However, our findings indicate that brain-derived cfDNA assessment, in its current form, does not provide additional diagnostic value, as the AUC remained virtually unchanged.
Blood-derived protein biomarkers are increasingly recognized for their diagnostic potential in FTD. Among them, NfL and GFAP—both cytoskeletal proteins—have shown promise in distinguishing FTD from dementia types21,22 and PPD23,24,25,26,27,28. Plasma GFAP levels are elevated in FTD compared to healthy controls, though not to the extent observed in Alzheimer’s disease (AD), which typically demonstrates higher diagnostic accuracy29,30,31,32. Plasma NfL levels are consistently higher in FTD relative to controls, AD, Lewy body dementia, and progressive supranuclear palsy, with reported AUC values exceeding 0.79 for FTD vs. AD and over 0.9 for FTD vs. controls30,31,32. In contrast to AD, where the “A/T/N” framework (amyloid-beta, phosphorylated tau, and NfL) provides a robust diagnostic model, FTD currently lacks comparable protein markers. TDP-43, a major pathological protein in FTD, shows only modest reductions in plasma compared to healthy controls33.The development of assays targeting pathological (truncated or phosphorylated) forms of TDP-43 may enhance disease specificity and enable a framework akin to A/T/N for FTD.
Despite the strong diagnostic performance of NfL and GFAP, both lack disease specificity. NfL, in particular, is a general marker of axonal injury and is elevated across a range of unrelated conditions, including multiple sclerosis, traumatic brain injury, stroke, and Creutzfeldt-Jakob disease34 (reviewed in35). Furthermore, plasma levels of NfL and GFAP are influenced by various demographic and physiological factors, such as age, sex, body mass index, and ethnicity36. Nonetheless, the detection of these brain-derived proteins in blood marks a critical step toward minimally invasive biomarker development for FTD. It highlights the feasibility of detecting central nervous system pathology from peripheral biofluids and paves the way for expanding into nucleic acid-based biomarkers, where a wealth of disease-relevant signals may reside.
There are several limitations of this study that deserve note. Although C9orf72-positive cases were excluded, we cannot rule out the presence of other, less common genetic mutations associated with bvFTD. The cohort was heterogeneous, with plasma sample processing influenced by site-specific biobanking protocols, potentially impacting cfDNA yields and concentrations. Due to limited amounts of cfDNA, the full panel (n = 33) of brain-derived cfDNA assays previously described37 was reduced to 17 targets. Additionally, the 17 targeted sites in the cfDNA methylome, represent only 0.000035% of the possible information. Only cross-sectional data were available in the current study, precluding the ability to assess temporal relationships between cfDNA levels and disease progression. Correlations to more acute changes (stress, inflammation, etc.) may have more relevance to brain-derived cfDNA than long-term neurodegeneration, as suggested in18. While the AUC was moderate, it is plausible that other cfDNA fragments carry superior discriminatory information. Future studies should prioritize unbiased cfDNA assessments to comprehensively evaluate its diagnostic potential.
Methods
Cohort
This study is part of the DIPPA research program using its retrospective cohort of samples38. Patient plasma samples (102 PPD and 179 bvFTD; n = 281) were obtained with ethical approval from sites in Germany (n = 48), the Netherlands (n = 94), Italy (n = 35), and Australia (n = 104). Because the samples were a retrospective collection, they were collected and stored following site-specific blood processing protocols (described below). All samples were shipped on dry ice at -80 °C to the Australian site for processing, library preparation, and sequencing. All subjects were screened for the presence of C9orf72 repeat expansions using the methods described in39 and none screened positive for the gene expansion. Demographic and laboratory characteristics of the 281 participants by diagnosis and by site are outlined in Table 1 and Supplementary Table 1.
Inclusion and exclusion criteria
A detailed description of the inclusion and exclusion criteria is available in38. Briefly, participants in the DIPPA-FTD study presented with late-onset behavioral changes after age 45 and met either Rascovsky criteria for possible/probable bvFTD or DSM-V criteria for major psychiatric disorders. Ambiguous cases not fully meeting criteria were retained and categorised based on likely etiology. Individuals with a mild, unrelated psychiatric history before age 45 were eligible. All participants underwent standardised diagnostic screening to exclude neurological conditions, including Alzheimer’s disease, and provided detailed family history. Inclusion was contingent on negative screening for C9orf72. Cases with a Goldman score40 of 2 or Wood score41 of ‘Medium’ were included if negative for mutations GRN and MAPT. Individuals with a Goldman score of 1 or a Wood score of ‘High’ were excluded. Other exclusion criteria included MMSE < 18, CDR ≥ 2, positive Alzheimer’s biomarkers, language barriers, absence of an informant, or presence of a pathogenic FTD mutation.
Sample collection and storage
Australia – Blood samples were collected in lithium heparin tubes and centrifuged at 3100×g for 10 min at 4 °C to separate plasma. Plasma was aliquoted (300 µL) and stored at − 80 °C. Two aliquots were used for cfDNA extraction (below).
Germany - Blood samples were collected in EDTA tubes and centrifuged at 1900×g for 15 min at room temperature (15–25 °C). Plasma was pipetted into a 15mL falcon tube and centrifuged at 3000×g for 10 min at room temperature. Plasma was aliquoted into 1.2 ml cryovial at 1mL/tube and stored at -80 C.
Italy – Blood samples were collected in EDTA tubes and centrifuged at 2500×g for 15 min at room temperature. Plasma was aliquoted (500 µL) and stored at − 80 °C. One aliquot was used for cfDNA extraction (below).
Netherlands – Blood samples were collected in EDTA tubes and centrifuged at 1800×g for 10 min at room temperature. Plasma was aliquoted (500 µL) and stored at − 80 °C. One aliquot was used for cfDNA extraction (below).
Sample preparation and CfDNA extraction
Plasma samples were processed using the Analytik Jena PME cfDNA extraction kit, using only the SE/SBS system, then eluted twice in aliquots of 25 µL using pre-warmed elution buffer. The amount of cfDNA for each sample was quantified using the QuBit High Sensitivity kit, using 2 µL for each sample (out of 2 × 25 µL = 50 µL total).
Bisulfite conversion and next-generation sequencing
Lambda DNA was added to each sample as a spike-in at 0.5% w/w prior to bisulfite conversion, as a measure of bisulfite conversion efficiency. Bisulfite conversion of each sample was conducted using the Invitrogen MethylCode Bisulfite Conversion kit following the manufacturer’s protocols. Bisulfite-converted samples were amplified via PCR using assays and methods previously described37, and amplicons were pooled. Samples were transposase-tagged using the Nextera transpose enzyme supplied within the Illumina Nextera DNA Sample Preparation Kit, barcoded via PCR, and quantified by KAPA qPCR. Libraries were denatured following Illumina protocols and sequenced using the Illumina NovaSeq 6000 (2 × 150 bp) sequencer.
Data processing and quality assessment
Raw sequencing data was processed and trimmed of adapters using TrimGalore version 0.4.2 (https://www.bioinformatics.babraham.ac.uk/projects/trim_galore/), including default quality filtration at a Phred score threshold of 20. Quality assessment was conducted using FastQC version 0.11.8 (https://www.bioinformatics.babraham.ac.uk/projects/fastqc/), with results collated using MultiQC version 1.742. Bisulfite conversion efficiency was calculated by alignment to the reference tNGBS genome augmented with the Lambda genome using Bismark version 0.18.243.
Detection and quantification of glial and neuronal CfDNA
The amount of glial and neuronal cfDNA contained in each sample was calculated using methylK37. Briefly, trimmed and filtered paired-end reads were assigned as glial or neuronal in origin by hash table lookup of DNA methylation k-mers using kallisto version 0.43.144, with a k-mer size of 31. Reads assigned uniquely to Glia or Neuron were filtered using signal-to-noise thresholds and expressed as a fraction of total reads. These fractions were then adjusted for known assay biases, e.g., 0.9% efficiency for pure neuron DNA assignment, as previously described37. Due to limited detectable counts of Glia and Neuron-cfDNA (1/281 and 0/281 respectively) the Transcript Per Million (TPM) values (kallisto), interpreted as Fragments Per Million (FPM), were instead used for analysis.
Brain derived protein data
As part of the DIPPA research program38, we recently assessed neurofilament light (NfL) and glial fibrillary acidic protein (GFAP) within 275 bvFTD and PPD subjects of which full methods are described in14. From this cohort, 133 subjects (81 bvFTD and 52 PPD) overlapped with those assessed for cfDNA. Briefly, non-fasted serum was collected via venipuncture during patients first visit, processed within 2 h, centrifuged, aliquoted into 0.5 mL portions, and stored at -80 °C and transported on dry ice at -80° to the Neurochemistry Laboratory Amsterdam from the sites described above in the cohort section. Before analysis, samples were thawed, centrifuged, and analyzed for NfL and GFAP levels using the Simoa HDx analyzer and Neurology 4-plex E Kit.
Statistical analyses
All statistical analyses were performed using R (version 4.3.1). To evaluate the association between clinical and molecular features and diagnostic group, we performed a multivariable logistic regression analysis using a binary outcome variable (Diagnosis). Independent variables and results are outlined in Table 1. The model was fitted using the glm() function in R with (family = binomial). Model coefficients, standard errors, and p-values were exported using the stargazer package for structured reporting. In addition, an independent model using the time interval between age at disease onset and age at blood draw (i.e., time since onset) in place of age at blood draw revealed no significant differences between bvFTD and PPD groups. And no significant correlations were observed between the time interval and any Neuron-cfDNA, Glia-cfDNA, or the NGR in either bvFTD or PPD.
To evaluate whether clinical and molecular variables differed by collection site, we performed one-way analysis of variance (ANOVA) for each variable. For each variable of interest, a linear model was fitted with site as the independent variable and the continuous measurement (e.g., age at onset, cfDNA concentration etc.) as the dependent variable. ANOVA was then applied to assess the overall effect of site on the distribution of the variable. Analyses were conducted separately within each diagnostic group to account for potential disease-specific site effects.
Mann–Whitney U tests were used to assess sex differences between bvFTD and PPD subjects. Pearson’s product–moment correlations were conducted to examine associations between cfDNA levels and both subject age at the time of blood draw and protein biomarkers (NfL and GFAP). Student’s t-tests were used to assess differences in the number of trimmed sequencing reads between samples.
To classify bvFTD and PPD subjects, we evaluated five commonly used machine learning models using 10-fold cross-validation: random forest, generalized linear model (GLM), GLM with likelihood-based boosting (glmboost), k-nearest neighbors, and linear discriminant analysis. Among these, the glmboost model (family = “binomial”) demonstrated the highest classification accuracy (Supplementary Fig. 4) and was selected for further analysis. This model included age of onset (which was significantly greater in bvFTD) and NGR as independent variables.
To assess the additional diagnostic utility of cfDNA measures, we reproduced the generalized linear model previously described by14, which included NfL, GFAP, sex, and age as covariates. We then extended this model by incorporating cfDNA measurements (NGR). Receiver operating characteristic (ROC) curves and corresponding AUC values were computed for each model. DeLong’s test was used to compare the AUCs and determine the statistical significance of differences in model performance.
Data availability
The datasets used in this study are available from the corresponding author upon reasonable request.
References
Woolley, J. D., Khan, B. K., Murthy, N. K., Miller, B. L. & Rankin, K. P. The diagnostic challenge of psychiatric symptoms in neurodegenerative disease: rates of and risk factors for prior psychiatric diagnosis in patients with early neurodegenerative disease. J. Clin. Psychiatry. 72, 126–133. https://doi.org/10.4088/JCP.10m06382oli (2011).
Krudop, W. A. et al. The pitfall of behavioral variant frontotemporal dementia mimics despite multidisciplinary application of the FTDC criteria. J. Alzheimers Dis. 60, 959–975. https://doi.org/10.3233/jad-170608 (2017).
Mendez, M. F. & Perryman, K. M. Neuropsychiatric features of frontotemporal dementia. J. Neuropsychiatry Clin. Neurosci. 14, 424–429. https://doi.org/10.1176/jnp.14.4.424 (2002).
de Boer, S. C. M. et al. Diagnostic instability over time in the Late-Onset frontal lobe syndrome: when can we say it’s FTD? Am. J. Geriatric Psychiatry. 31, 679–690. https://doi.org/10.1016/j.jagp.2023.02.006 (2023).
Leroy, M. et al. Characteristics and progression of patients with frontotemporal dementia in a regional memory clinic network. Alzheimers Res. Ther. 13, 19. https://doi.org/10.1186/s13195-020-00753-9 (2021).
Tsoukra, P. et al. The diagnostic challenge of Young-Onset dementia syndromes and primary psychiatric diseases: results from a retrospective 20-Year Cross-Sectional study. J. Neuropsychiatry Clin. Neurosci. 34, 44–52. https://doi.org/10.1176/appi.neuropsych.20100266 (2022).
Rohrer, J. et al. The heritability and genetics of frontotemporal Lobar degeneration. Neurology 73, 1451–1456 (2009).
Moore, K. M. et al. Age at symptom onset and death and disease duration in genetic frontotemporal dementia: an international retrospective cohort study. Lancet Neurol. 19, 145–156. https://doi.org/10.1016/S1474-4422(19)30394-1 (2020).
Mol, M. O. et al. Underlying genetic variation in Familial frontotemporal dementia: sequencing of 198 patients. Neurobiol. Aging. 97, 148e149. https://doi.org/10.1016/j.neurobiolaging.2020.07.014 (2021). 148.e116.
Heuer, H. W. et al. Comparison of sporadic and Familial behavioral variant frontotemporal dementia (FTD) in a North American cohort. Alzheimers Dement. 16, 60–70. https://doi.org/10.1002/alz.12046 (2020).
Heuer, H. W. et al. Comparison of sporadic and Familial behavioral variant frontotemporal dementia (FTD) in a North American cohort. Alzheimer’s Dement. J. Alzheimer’s Assoc. 16, 60–70. https://doi.org/10.1002/alz.12046 (2020).
Fieldhouse, J. L. P. et al. A caregiver’s perspective on clinically relevant symptoms in behavioural variant frontotemporal dementia: tools for disease management and trial design. Psychogeriatrics 23, 11–22. https://doi.org/10.1111/psyg.12898 (2023).
Ducharme, S. et al. Recommendations to distinguish behavioural variant frontotemporal dementia from psychiatric disorders. Brain 143, 1632–1650. https://doi.org/10.1093/brain/awaa018 (2020).
de Boer, S. A. O. et al. Serum Neurofilament Light Is Superior To Glial Fibrillary Acidic Protein To Distinguish Sporadic Frontotemporal Dementia from late-onset Primary Psychiatric Disorders: a retrospective DIPPA-FTD study.
Lo, Y. M. et al. Quantitative analysis of fetal DNA in maternal plasma and serum: implications for noninvasive prenatal diagnosis. Am. J. Hum. Genet. 62, 768–775. https://doi.org/10.1086/301800 (1998).
Salkeni, M. A. et al. Detection of EGFRvIII mutant DNA in the peripheral blood of brain tumor patients. Journal of neuro-oncology 115, 27–35 (2013). https://doi.org/10.1007/s11060-013-1209-0
Chatterton, Z. et al. Bisulfite amplicon sequencing can detect glia and neuron Cell-Free DNA in blood plasma. Front. Mol. Neurosci. 14 https://doi.org/10.3389/fnmol.2021.672614 (2021).
Veltri, A. et al. Plasma Brain-Derived Neurotrophic Factor (BDNF) Levels and BDNF Promoters’ DNA Methylation in Workers Exposed to Occupational Stress and Suffering from Psychiatric Disorders. Brain Sci. 14 https://doi.org/10.3390/brainsci14111106 (2024).
Melamud, M. M., Buneva, V. N. & Ermakov, E. A. Circulating Cell-Free DNA levels in psychiatric diseases: A systematic review and Meta-Analysis. Int. J. Mol. Sci. 24 https://doi.org/10.3390/ijms24043402 (2023).
Lubotzky, A. et al. Elevated brain-derived cell-free DNA among patients with first psychotic episode - a proof-of-concept study. Elife 11 https://doi.org/10.7554/eLife.76391 (2022).
Thijssen, E. H. et al. Differential diagnostic performance of a panel of plasma biomarkers for different types of dementia. Alzheimers Dement. (Amst). 14, e12285. https://doi.org/10.1002/dad2.12285 (2022).
Ishiki, A. et al. Glial fibrillar acidic protein in the cerebrospinal fluid of alzheimer’s disease, dementia with lewy bodies, and frontotemporal Lobar degeneration. J. Neurochem. 136, 258–261 (2016).
Vijverberg, E. G. et al. Cerebrospinal fluid biomarker examination as a tool to discriminate behavioral variant frontotemporal dementia from primary psychiatric disorders. Alzheimers Dement. (Amst). 7, 99–106. https://doi.org/10.1016/j.dadm.2017.01.009 (2017).
Katisko, K. et al. Serum neurofilament light chain is a discriminative biomarker between frontotemporal Lobar degeneration and primary psychiatric disorders. J. Neurol. 267, 162–167. https://doi.org/10.1007/s00415-019-09567-8 (2020).
Eratne, D. et al. Cerebrospinal fluid neurofilament light chain differentiates behavioural variant frontotemporal dementia progressors from non-progressors. J. Neurol. Sci. 442, 120439. https://doi.org/10.1016/j.jns.2022.120439 (2022).
Eratne, D. et al. Plasma neurofilament light in behavioural variant frontotemporal dementia compared to mood and psychotic disorders. Aust N Z. J. Psychiatry. 48674231187312 https://doi.org/10.1177/00048674231187312 (2023).
Al Shweiki, M. H. D. R. et al. Neurofilament light chain as a blood biomarker to differentiate psychiatric disorders from behavioural variant frontotemporal dementia. J. Psychiatr. Res. 113, 137–140. https://doi.org/10.1016/j.jpsychires.2019.03.019 (2019).
Katisko, K. et al. GFAP as a biomarker in frontotemporal dementia and primary psychiatric disorders: diagnostic and prognostic performance. J. Neurol. Neurosurg. Psychiatry. 92, 1305–1312. https://doi.org/10.1136/jnnp-2021-326487 (2021).
Zhu, N. et al. Plasma glial fibrillary acidic protein and neurofilament light chain for the diagnostic and prognostic evaluation of frontotemporal dementia. Transl Neurodegener. 10, 50. https://doi.org/10.1186/s40035-021-00275-w (2021).
Chouliaras, L. et al. Differential levels of plasma biomarkers of neurodegeneration in lewy body dementia, alzheimer’s disease, frontotemporal dementia and progressive supranuclear palsy. J. Neurol. Neurosurg. Psychiatry. 93, 651–658. https://doi.org/10.1136/jnnp-2021-327788 (2022).
Baiardi, S. et al. Diagnostic value of plasma p-tau181, NfL, and GFAP in a clinical setting cohort of prevalent neurodegenerative dementias. Alzheimers Res. Ther. 14, 153. https://doi.org/10.1186/s13195-022-01093-6 (2022).
Sarto, J. et al. Diagnostic performance and clinical applicability of Blood-Based biomarkers in a prospective memory clinic cohort. Neurology 100, e860–e873. https://doi.org/10.1212/WNL.0000000000201597 (2023).
Katisko, K. et al. Serum total TDP-43 levels are decreased in frontotemporal dementia patients with C9orf72 repeat expansion or concomitant motoneuron disease phenotype. Alzheimers Res. Ther. 14, 151. https://doi.org/10.1186/s13195-022-01091-8 (2022).
Bentivenga, G. M. et al. Diagnostic and prognostic value of plasma GFAP in sporadic Creutzfeldt-Jakob disease in the clinical setting of rapidly progressive dementia. Int. J. Mol. Sci. 25 https://doi.org/10.3390/ijms25105106 (2024).
Barro, C., Chitnis, T. & Weiner, H. L. Blood neurofilament light: a critical review of its application to neurologic disease. Ann. Clin. Transl Neurol. 7, 2508–2523. https://doi.org/10.1002/acn3.51234 (2020).
Wang, X., Shi, Z., Qiu, Y., Sun, D. & Zhou, H. Peripheral GFAP and NfL as early biomarkers for dementia: longitudinal insights from the UK biobank. BMC Med. 22, 192. https://doi.org/10.1186/s12916-024-03418-8 (2024).
Chatterton, Z. et al. Bisulfite amplicon sequencing can detect glia and neuron Cell-Free DNA in blood plasma. Front. Mol. Neurosci. 14, 672614. https://doi.org/10.3389/fnmol.2021.672614 (2021).
de Boer, S. C. M. et al. Rationale and design of the diagnostic and prognostic precision algorithm for behavioral variant frontotemporal dementia (DIPPA-FTD) study: A study aiming to distinguish early stage sporadic FTD from Late-Onset primary psychiatric disorders. J. Alzheimers Dis. 97, 963–973. https://doi.org/10.3233/JAD-230829 (2024).
Cleary, E. M. et al. Improved PCR based methods for detecting C9orf72 hexanucleotide repeat expansions. Mol. Cell. Probes. 30, 218–224. https://doi.org/10.1016/j.mcp.2016.06.001 (2016).
Goldman, J. S. et al. An algorithm for genetic testing of frontotemporal Lobar degeneration. Neurology 76, 475–483. https://doi.org/10.1212/WNL.0b013e31820a0d13 (2011).
Wood, E. M. et al. Development and validation of pedigree classification criteria for frontotemporal Lobar degeneration. JAMA Neurol. 70, 1411–1417. https://doi.org/10.1001/jamaneurol.2013.3956 (2013).
Ewels, P., Magnusson, M., Lundin, S. & Kaller, M. MultiQC: summarize analysis results for multiple tools and samples in a single report. Bioinformatics 32, 3047–3048. https://doi.org/10.1093/bioinformatics/btw354 (2016).
Krueger, F. & Andrews, S. R. Bismark: a flexible aligner and methylation caller for Bisulfite-Seq applications. Bioinformatics 27, 1571–1572. https://doi.org/10.1093/bioinformatics/btr167 (2011).
Bray, N. L., Pimentel, H., Melsted, P. & Pachter, L. Near-optimal probabilistic RNA-seq quantification. Nat. Biotechnol. 34, 525–527. https://doi.org/10.1038/nbt.3519 (2016).
Acknowledgements
We thank the study participants and their families for their valuable contribution to the DIPPA-FTD study. We also thank Nicole Mueller and the dedicated laboratory staff at Frontier for their work in sample coordination.
Funding
The study was funded by JPND/JPco-fuND 2 (#825664). OP is supported in part by an NHMRC Leadership Fellowship (GNT2008020). RLR is supported by an NHRMC Emerging Leadership (GNT2010064).
Author information
Authors and Affiliations
Contributions
Z.C. designed the study, performed the primary analysis, and wrote the main manuscript text. S.C.M.d.B., L.R., C.F., D.G., A.A., S.S., J.D.-S., S.D., Y.A.L.P., O.P., S.M., D.S., R.L.-R. and G.H. contributed clinical samples and phenotypic data. S.M. and D.S. assisted with sample processing and data management. All authors reviewed and approved the final manuscript.
Corresponding author
Ethics declarations
Competing interests
The authors declare no competing interests.
Ethics declarations
All methods were carried out in accordance with relevant guidelines and regulations. The retrospective DIPPA-FTD study was approved by the institutional review boards or ethics committees at each participating center, including the Alzheimer Center Amsterdam (Amsterdam UMC), Brain and Mind Centre at the University of Sydney, Douglas Mental Health University Institute at McGill University, Fondazione Ca’ Granda IRCCS Ospedale Maggiore Policlinico (Milan), and the Technical University of Munich. Informed consent was obtained from all participants and/or their legal guardians prior to inclusion in the DIPPA-FTD study and use of biological samples. The study conformed to the principles of the Declaration of Helsinki and all local regulations for research involving human subjects.
Additional information
Publisher’s note
Springer Nature remains neutral with regard to jurisdictional claims in published maps and institutional affiliations.
Supplementary Information
Below is the link to the electronic supplementary material.
Rights and permissions
Open Access This article is licensed under a Creative Commons Attribution-NonCommercial-NoDerivatives 4.0 International License, which permits any non-commercial use, sharing, distribution and reproduction in any medium or format, as long as you give appropriate credit to the original author(s) and the source, provide a link to the Creative Commons licence, and indicate if you modified the licensed material. You do not have permission under this licence to share adapted material derived from this article or parts of it. The images or other third party material in this article are included in the article’s Creative Commons licence, unless indicated otherwise in a credit line to the material. If material is not included in the article’s Creative Commons licence and your intended use is not permitted by statutory regulation or exceeds the permitted use, you will need to obtain permission directly from the copyright holder. To view a copy of this licence, visit http://creativecommons.org/licenses/by-nc-nd/4.0/.
About this article
Cite this article
Chatterton, Z., de Boer, S.C.M., Riedl, L. et al. Glial and neuronal cell-free DNA in plasma of sporadic bvFTD and late onset primary psychiatric disease patients. Sci Rep 15, 38844 (2025). https://doi.org/10.1038/s41598-025-22667-y
Received:
Accepted:
Published:
Version of record:
DOI: https://doi.org/10.1038/s41598-025-22667-y
Keywords
This article is cited by
-
Depression and apathy in frontotemporal dementia: a short assessment of facts and outlook
Journal of Neural Transmission (2026)


