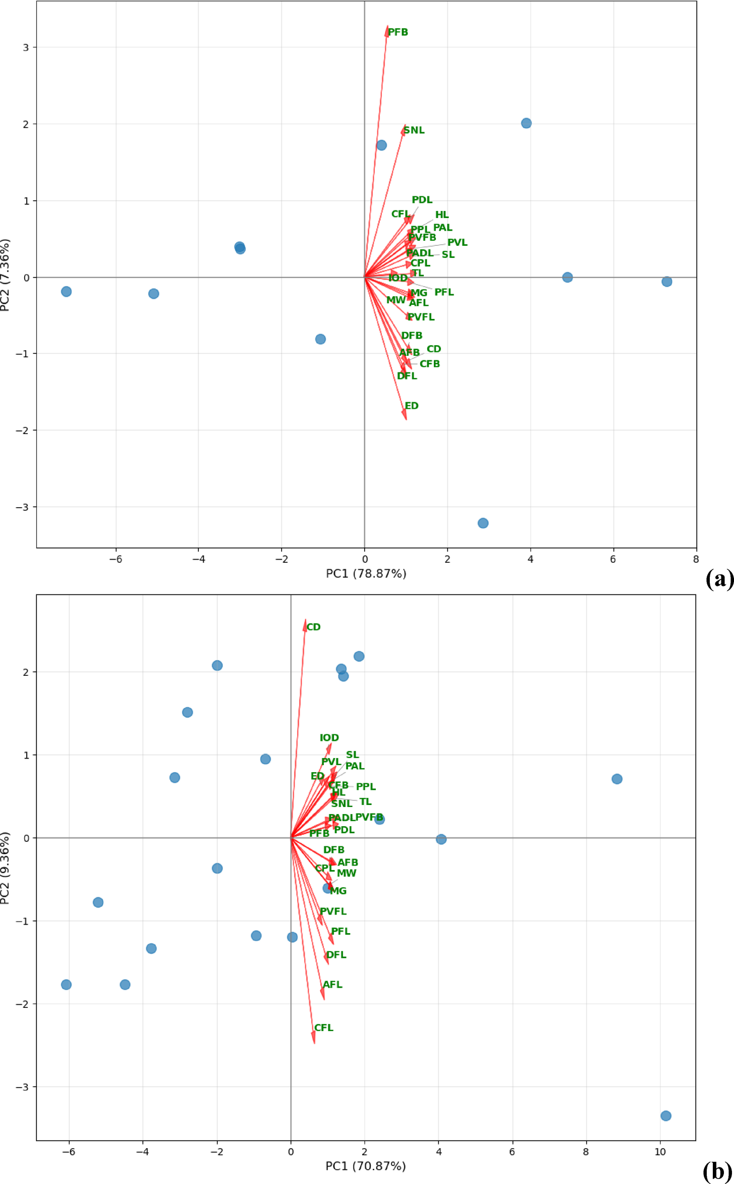
Fig. 5


(a) Principal component analysis of morphometric parameters in brown trout from Tirthan River (S4). (b) Principal component analysis of morphometric parameters in brown trout from Uhl River (S5). (c) Principal component analysis of morphometric parameters in brown trout from Parbati River (S6).