Abstract
Biometric analysis offered important information on growth patterns, population differentiation, and habitat effects in trout. The present study aimed to evaluate variations among diverse ecological conditions and growth patterns across three farm sites of rainbow trout (Oncorhynchus mykiss) and three river sites of brown trout (Salmo trutta) in Himachal Pradesh. Length weight relationship (LWR) was estimated via a log-transformed linear model (LM), unweighted nonlinear least squares (NLS), and weighted NLS (wNLS). Analysis of covariance (ANCOVA) was used to test differences among rivers and farms. Morphometric and meristic variables were measured, and principal component analysis (PCA) was used to assess shape variation among sites. Rainbow trout specimens demonstrated isometric and positive allometric growth across all samples, with ‘b’ values ranging from 2.992 to 3.15. The brown trout population exhibited more variable growth patterns; S6 showed negative allometric growth (b = 2.822–2.847), while others approached isometric growth (b = 2.936–2.993), which reflect differences in body form. PCA revealed that size-related traits explain most of the variation for PC1 (principal component 1), while shape and cranial traits variation contribute to PC2, distinguishing populations among different habitats. Length-length relationships (LLRs) also showed a strong correlation between total length and standard length (r2 ≥ 0.90). Meristic features varied slightly between the populations. These findings underscore the phenotypic plasticity of both species and highlight the significance of localized habitat conditions. The study provides baseline data that can inform future biological assessments, conservation planning, and the sustainable development of coldwater aquaculture.
Introduction
Trout includes various types of freshwater fish species within the Salmonidae family, predominantly classified under the genera Oncorhynchus, Salmo, and Salvelinus1,2,3. Among them, rainbow trout (Oncorhynchus mykiss) and brown trout (Salmo trutta) exhibit significant adaptation to the snow-fed rivers and aquaculture farms of Himachal Pradesh, respectively4. The rainbow trout is native to the coldwater rivers and lakes along the Pacific coasts of North America and Asia5, while the brown trout originated from the clear mountain waters of Western and Central Europe1,6. These species were introduced to India during the British colonial period—brown trout in 1860 and rainbow trout in 1909—primarily for recreational activities1,6,7. The transportation of eyed ova from Srinagar to Kullu Valley in 1909 marked a pivotal development in trout farming in Himachal Pradesh, establishing a foundation for the future of this promising aquaculture sector. The rapid growth, adaptability, and disease resistance of both species make them ideal for fish farming1,8.
The Tirthan River, Uhl River, and Parbati River, are major tributaries of the Beas River drainage system, originating from Hanskund Peak situated at an altitude of ~ 4100 m; Thamar Glacier at an altitude of ~ 5080 m; and Mantalai Glacier at an altitude of ~ 4150 m; respectively. Their purposes include agriculture, hydroelectric power generation, tourism, control flooding, and the supply of drinking water9. The Department of fisheries releases brown trout fingerlings every year in trout stretch of 600 km of riverine length in the snow-fed rivers of Himachal Pradesh to promote conservation and angling activities in rivers. The agro-climatic conditions of upper river stretch provide optimum environment for brown trout growth and development10. Despite the presence of trout in Himachal Pradesh for over a century, scientific knowledge of them is still insufficient.
Length-weight relationship (LWR) is a fundamental tool for determining the fish biomass, conservation status, and population abundance11,12. This analysis also helps in finding out the condition and health of fish, assuming that fish of a given length with higher weight are usually healthy in physiological conditions13,14. Notably, the biologically acceptable range for the LWR parameter ‘b’ is 2.5–3.515. LWR, even within the individuals of each species, is influenced by food availability, physiology, metabolism, and the population structure of aquatic animals in their habitat; consequently, it is affected by spatial-temporal factors, sex, ontogenic developmental stages, body size, and prevailing fishing pressure on both fish and their prey15,16. Using this basic data is also important for understanding genetic diversity and development rates of fish species, which help in sustainable management of genetic stocks and preservation of genetic variation during domestication17,18,19.
Morphometric and meristic characteristics are basic measurements crucially used to assess fish stocks and investigate evolutionary trends20,21,22. These characteristics play an important role in examining variations at the morphological level between geographically separated populations as well as provide information about their response to environmental changes, which helps in conservation and management practices19,23,24,25,26,27,28.
The Himachal Pradesh State Fisheries Department has made remarkable progress in trout production, generating significant revenue from trout fish sales throughout the nation. The region’s pristine snow-fed and glacier-fed streams, mountains, lakes, and springs provide ideal conditions for growing trout populations. However, there is currently a lack of comprehensive records encompassing the population characteristics based on the morphometric and meristic characteristics of these fish. This study aims to accurately assess the LWR and morphometric and meristic characteristics of brown trout and rainbow trout populations across six sites in Himachal Pradesh due to their considerable contribution to the coldwater fisheries along the north-western Himalayas.
Materials and methods
Study sites and sample collection
In the present study, rainbow trout and brown trout samples were collected between October 2023 and November 2024 across different sites in the Kullu, Mandi, and Kangra districts. Rainbow trout were collected from the: (S1) Trout fish farm Hamni, Banjar; (S2) Trout fish farm Barot, Mandi; and (S3) Trout fish farm Boh Valley, Kangra. Brown trout samples were collected from the following sites: (S4) Tirthan River, Banjar; (S5) Uhl River, Barot; and (S6) Parbati River, Kullu. (Fig. 1 & Table 1). The brown trout samples were collected randomly using cast nets (2.5 m; with mesh size: 1.0–5 cm), gill nets (5–10 cm; mesh size: 5–8 cm; height: 40–50 cm) and rod and lines with the assistance of licensed fishermen29. Rainbow trout were also collected randomly from aquaculture farms with the help of different sized hand nets. Following collection, the specimens were transported in an icebox maintained at approximately 4 °C to the laboratory. Standard taxonomic keys were employed for the classification and identification of the specimens30,31. A digital weighing balance with an accuracy of 0.1 g and a ruler with an accuracy of 0.1 cm were used for weight and length measurements.
Study area map showing different sampling sites.
Length weight relationship (LWR)
The length-weight relationship was calculated using an allometric equation, W = aLb, where W represents the total weight (g), L denotes total length (cm), ‘a’ is a constant (intercept), and ‘b’ is the slope (indicating the change in weight per unit change in length)15,32.
The parameters of LWR were calculated using three model methods, i.e., the log-transformed linear model (LM), nonlinear least squares (NLS, unweighted), and weighted nonlinear least squares (wNLS). In LM the data were log transformed and estimated with ordinary least squares (OLS): Log(W) = Log(a) + bLog(L) + Ɛ. The a and b estimates were back-transformed to the original scale to be interpreted. To ensure compatibility with NLSs, residuals were computed on the original weight scale. The NLS (unweighted) model, W = aLb, was fitted directly on the original scale; no weights were applied, assuming homoscedastic error variance. In the wNLS, a nonlinear model was fitted, but weights inversely proportional to fish weights (1/W) to account for potential heteroscedasticity (increasing variance with body size)33.
Standard errors (SE) of the parameter estimates were derived from the variance-covariance matrix. The student t-distribution was used to construct an approximately 95% confidence interval (CI). Model adequacy was evaluated in terms of information-theoretic criteria: Akaike information criterion (AIC) and Bayesian information criterion (BIC) (Burnham and Anderson, 2002). Lower AIC and BIC values indicate a better fit. The exponent b was compared with the theoretical cubic value (b = 3) to determine whether growth was isometric (b = 3) or allometric (b ≠ 3)15.
Analysis of covariance (ANCOVA)
ANCOVA was used to estimate the relationship between length and weight among fish populations in the three farms or river with fish weight as the dependent variable, length as covariate, and farms or river as the categorical variable. The model had interaction terms (length* farms or river) that were used to determine the significant difference between slopes of farms or river. All statistical analyses were conducted in Python (v3.11) using open-source libraries for data processing, analyses, and visualization.
Morphometric and meristic measurements
Morphometric parameters including total weight (TW), total length (TL), standard length (SL), head length (HL), snout length (SL), maximum width (MW), maximum girth (MG), eye diameter (ED), intra orbital distance (IOD), pre-dorsal length (PDL), pre-pectoral length (PPL), pre- pelvic length (PPVL), pre-adipose dorsal length (PADL), pre-anal length (PAL), caudal fin Length (CFL), caudal fin base (CFB), dorsal fin length (DFL), dorsal fin base (DFB), pectoral fin length (PFL), pectoral fin base (PFB), pelvic fin length (PVFL), pelvic fin base (PVFB), anal fin length (AFL), anal fin base (AFB), caudal depth (CD), and caudal penduncle length (CPL), were assessed using a digital calliper with an accuracy 0.01 mm, while meristic traits, including lateral line scales (LLS) pectoral fin rays (PFR), dorsal fin rays (DFR), anal fin rays (AFR), pelvic fin rays (PVFR), and caudal fin rays (CFR), were counted under a binocular magnifier21.
Principle component analysis (PCA)
PCA was used to lower the dimensionality of the morphometric dataset and determine which variables were most responsible for the variation among the samples taken from six sites. The StandardScaler (Python v3.10) was used to normalize all variables (zero mean, unit variance). The first two components (PC1 and PC2) were then extracted for visualization using the PCA module of Scikit-learn. Matplotlib was used to create a biplot, in which trait loadings are shown as vectors that indicate their contribution to the principle’s components, and sample scores are shown as scatter points. The percentage of total variance collected was assessed using the explained variance ratio for each major component.
LLRs
Length-length relationships (LLRs) were determined using the linear regression equation y = a + b*x, where TL (cm) serving as the dependent variable (y), and twenty-four morphometric features served as independent variables (x). The assessment of data was conducted through the coefficient of determination (r²), a crucial statistic in this analysis.
Result
In the study of the farm rainbow trout population, the length range was between 24.9 and 36.9 cm, and the weight range was between 93 and 488 g across all three sites (S1, S2, and S3). The LWR was assessed by using three models: LM, NLS (unweighted), and wNLS, with fitted parameters, standard errors, 95% CI, and performance indices summarized in Table 2. The model performance indicators AIC and BIC vary across sites, with the lowest observed for NLS (unweighted) in S2 (AIC = 110.723 and BIC = 113.654), indicating slightly better fit model among all three models. The regression coefficient showed that the ‘a’ value ranged from 0.006 to 0.011, while the allometric exponent ‘b’ values ranged from 2.992 to 3.15, indicating that weight increased at a disproportionately higher rate than length. The coefficient of determination (r2) was consistently high (r2 > 0.99), indicating strong length-weight relationships. All rainbow trout populations exhibited isometric and positive allometric growth pattern, with the most significant ‘b’ observed in samples from the S3 (b = 3.15). ANCOVA showed that the farm and length had a very significant effect on fish weight (F = 15.58, p < 0.001, r2 = 0.991) (Table 3). Weight increased significantly with length in all farms (p < 0.001), and there were significant interaction effects (farm×length), indicating that the LWR differed among farms. At the overall mean length of 28.87 cm, the adjusted mean weights were highest in S1 (314.07 g), followed by S2 (266.05 g) and S3 (256.72 g). These differences were confirmed by the fitted regression slopes: S1 had the steepest slope (33.70 g/cm); thus, S1 fish displayed a higher weight gain per length than the other farms (Fig. 2).
Analysis of covariance of length-weight relationships in rainbow trout across farms.
For wild brown trout populations, the length ranged between 19.7 and 35.7 cm, and the weight ranged between 93 and 488 g across all three sites (S4, S5, S6) (Table 4). The model comparison showed that the lowest AIC and BIC (160.446 and 163.610) were the unweighted NLS in S4, which indicated that it gave the best fit to the observed data (Table 4). The wNLS and LM in the log-transformed data gave nearly identical estimates with slightly large AIC/BIC values, indicating slightly low model adequacy. The regression coefficient ‘a’ in brown trout ranged from 0.011 to 0.020, and the allometric coefficient ‘b’ varied from 2.82 to 2.99. The r2 remains consistently high r2 > 0.99, signifying a strong relationship between length and weight across all sites. Growth pattern differs among the sites; specimens collected from S6 exhibited negative allometric growth (b = 2.82–2.84), whereas those from S4 and S5 approached positive allometric growth, which indicates that S6 fish becoming relatively slenderer with size. Although parameter ‘b’ values fall within biologically acceptable range of 2.5-3.515. The ANCOVA model explained a very large percentage of variance of fish body weight (r2 = 0.991, p < 0.001) (Table 5). The length (F = 8992.96, p < 0.001) and the interaction between length and river (F = 94.4, p < 0.001) were both significantly high, meaning that the slope of LWR varied across rivers. The main effect of the river is also significant (F = 44.5, p < 0.001). At an overall mean length of 25.95 cm, adjusted mean weights were 211.7 g (S6), 215.4 g (S4), and 191.8 g (S5). Despite S5 showing the steepest slope (28.17 g/cm), its fish had lower average weight at moderate length compared to S4 and S6 fish (Fig. 3).
Analysis of covariance of length-weight relationships in brown trout across rivers.
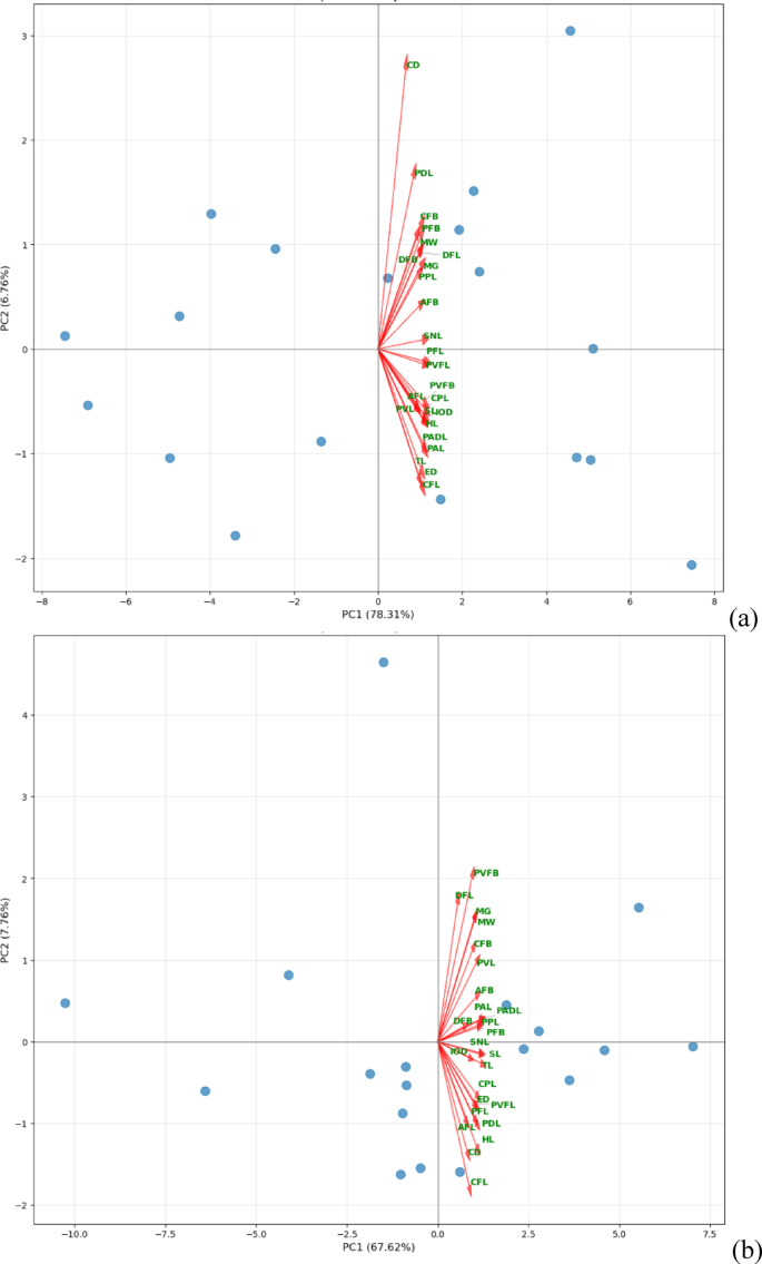
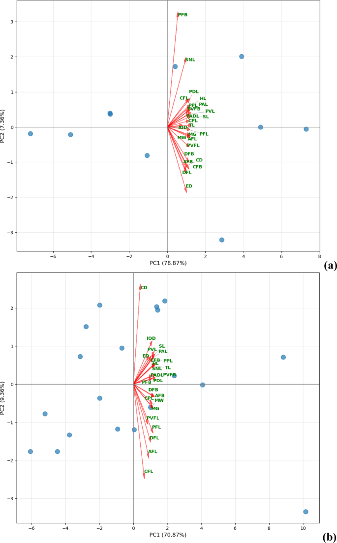
The morphometric and meristic traits among all three sites of rainbow trout are summarized with descriptive statistics (Tables 6, 7). The PCA consistently showed that the majority of variation in PC1 was due to size-related variables, while PC2 indicated some subtle finer shape-related variation. At S1, PC1 explained 78.31% of the total variance, corresponding to size traits and cranial traits like SL, TL, HL, PAL, PPL, PVFL, SNL, and CPL, reflecting a general allometric gradient that separates larger from smaller individuals. PC2 contributed 6.76% variance, and was associated with shape traits CD, PDL, DFL, MW, CFB, PFB, MG, and PPL and negatively with CFL and ED (Fig. 4a). This suggests that, beyond size, specimens vary along a secondary axis of locomotor versus visual adaptation, with some individuals emphasizing stability and others favouring fin extension and visual performance. In the case of S2, PC1 contributes 67.62% of variance and was primarily associated with SL, TL, PAL, PPL, HL, SNL, and CPL; this represents a general size gradient, separating larger from smaller individuals. PC2 though accounting for a smaller fraction of the variance (7.76%), revealed a functional trade-off between cranial measures and fin traits. Positive loadings were associated with MG, MW, PVFB, DFL, CFB, and PVL, while negative loadings were associated with AFL, CFL, ED, PFL, HL, and CD (Fig. 4b). This suggests ecological divergence, where some individuals emphasize cranial robustness and fin base development, while others invest in locomotor efficiency and visual adaptation. At S3, PC1 contributes 75.89% of the variance and is strongly associated with cranial and body length variables HL, SL, PPL, SNL, TL, PAL, AFL, and PFL, indicating general body size and allometry gradient. PC2 7.83% of variance, reflected a shape-based trade-off, associated positively with cranial traits and shape measures (IOD, CFB, CD, DFB, MW, MG) and negatively with CFL, PFL, and ED (Fig. 4c). This suggests functional divergence, where some individuals exhibit relatively broader heads while others invest in elongated fins and larger eyes, potentially corresponding to differences in feeding strategies, locomotor demands, or habitat specialization.
(a) Principal component analysis of morphometric parameters in Rainbow trout from Hamni trout Farm (S1). (b) Principal component analysis of morphometric parameters in Rainbow trout from Barot trout farm (S2). (c) Principal component analysis of morphometric parameters in Rainbow trout Boh valley trout farm (S3).
Descriptive statistics of morphometric and meristic traits among all three sites of wild brown trout are summarized in Tables 8 and 9. Across all sites, size-related features dominated PC1, indicating that body size is the primary cause of morphological variation (Fig. 5a, b, and c). However, PC2 differed significantly among sites, reflecting site-specific shape contributions. At S4, the first two principles component account for 86.23% of total variance (PC1 = 78.87%, PC2 = 7.36%). PC1 is dominated by cranial and body size traits (SL, TL, HL, PAL, PPL, CPL, PVFL), reflecting a strong allometric gradient that separates large- and small-bodied individuals. PC2 highlighted a functional trade-off, associated positively with PFB and SNL, while negative loadings were reflected with ED, DFL, CD, and CFB, suggesting that fish with broad pectoral fins and a long snout are better at making sharp turns and moving precisely. This helps them live in rocky or reef habitats, where they need to slip into tight spaces or pick food from cracks. At S5, PCA biplot revealed that the first two component account for 80.23% of total variance. PC1 was primarily associated with cranial and size traits (TL, PAL, SNL, PPL), consistent with the allometric scaling axis separating larger from smaller individuals. PC2 reflected a functional trade-off between cranial and fin traits, positively with CD, IOD, and ED and negatively with CFL, AFL, DFL, and PFL, suggesting divergent ecological or functional strategies among individuals. At S6, the first two PCs explained 87.2% of the total variance, PC1 primarily associated with overall body size and cranial traits (TL, HL, SL, PPL, PAL, and SNL), thus reflecting general allometric growth and separating individuals by size. PC2 accounted for a smaller fraction of the variance but highlighted a shape-based trade-off between positively with cranial traits (PFB, CFB, DFB, CD, ED) and negatively with fin elongation traits (PFL, CFL, AFL). This suggests potential ecological specialization, with some individual investing more heavily in cranial traits and others in locomotor traits. A heterogeneous population structure was indicated by S4 variance in size and shape. Size-driven variation is exclusive at S6, indicating a homogeneous population with little morphological variation. S5 dominated by size traits, revealed a stronger role for fin and caudal shape, indicating localized adaptations that may be influenced by ecological conditions.
(a) Principal component analysis of morphometric parameters in brown trout from Tirthan River (S4). (b) Principal component analysis of morphometric parameters in brown trout from Uhl River (S5). (c) Principal component analysis of morphometric parameters in brown trout from Parbati River (S6).
In LLR, a total of 24 linear regression equations were analyzed, revealing that nine parameters, including SL, HL, SNL, PDL, PPL, PVL, PADL, AFB, PAL, PFB, and CPL, demonstrated strong correlations with total length, as indicated by r2 values of ≥ 0.75 in rainbow trout samples (Table 10 and supplementary Figs. 1, 2 & 3). The brown trout linear regression analysis of total length versus SL, HL, SNL, PDL, PPL, PVL, PADL, AFB and PAL, revealed high r2 values of ≥ 0.75 (Table 11 and supplementary Figs. 4, 5 & 6). The most significant correlation was observed between total length and standard length, exhibiting the highest r2 values, which ranged from 0.995 to 0.996 in rainbow trout and 0.90 to 0.97 in brown trout.
Discussion
The present study demonstrated that LWRs of both rainbow trout and brown trout varied significantly among sites, underscoring the impact of ecological factors on growth patterns and morphological variations of these economically significant coldwater fish species.
All populations of rainbow trout exhibited isometric and positive allometric growth (b = 2.992–3.15); fish gained weight at a faster rate than they increased in length. According to Froese (2006) parameter b values fall within biologically acceptable range of 2.5-3.515. These results are consistent with global studies that reported similar or higher b-values, such as 3.3439, 3.06340, and 3.09641, suggesting that the species inherently exhibits a propensity for robust growth under controlled or enriched environments. S1 displayed the steepest regression slope and the highest adjusted mean weight, indicating effective energy allocation towards growth; conversely, fish from S2 and S3 had shallower slopes and relatively lower adjusted mean weights. Variations in LWR parameters among different habitats may be result from management or environmental factors, such as food availability, water quality, genetic differences, season, habitat, sex, and environmental pressures15,42.
The brown trout populations displayed site-specific variation of growth pattern. Trout from S5 displayed the steepest regression slope, suggesting a faster rate of weight gain per unit length; however, their adjusted mean body weight at the overall mean weight was lower than the other two rivers. This discrepancy suggested that although growth in length were faster, environmental constraints such as limited food resources or higher intraspecific competition may have restricted overall body mass accumulation43. By contrast, fish from S4 and S6 exhibited more moderate slopes but higher adjusted mean weights, suggesting that this habitat provided more stable growth opportunities at intermediate sizes. The negative allometric growth pattern observed in S6 indicated that fish there invested less in body weight relative to length, which may invest more energy in lengthwise growth than in body mass accumulation, possibly due to limited prey availability, higher current velocity, or increased competition44. These findings are consistent with those reported in previous studies, such as 2.89745 and 3.035 and 3.037-3.00046. Three potential models-wNLS, NLS (unweighted), and LM-were used in this study to assess the model performance for farmed rainbow trout and wild brown trout. The LWR in both farmed and wild trout populations was better fitted by NLS (unweighted), which consistently produced the lowest AIC and BIC values across all sites. This finding contrasts with the previous results33, who reported the poorest performance of NLS for marine fishes, where heteroscedasticity in LW data was more noticeable and wNLS or LM was preferred. These differences may have arisen from the narrower size ranges and more uniform variance structure in trout populations.
ANCOVA confirmed that both habitat and the interaction of habitat with length significantly had a substantial impact on body weight. It was found that LWR is shaped not only by intrinsic growth potential but also by extrinsic site conditions. These findings highlight that the growth responses in salmonids are highly habitat dependent, with different sites having different effects on somatic investment patterns47. The analysis of LWR yielded high coefficients of determination (r2 ≥ 0.99), indicating a strong relationship between body length and weight across both species and sampling sites48.
The morphometric analysis revealed size variability among populations, with rainbow trout specimens revealing a maximum total length of 37.1 cm-substantially larger than those previously reported from the Champawat farm (9.8–15 cm)21. The fin ray counts found were as follows: DFR 9–14, AFR 7–14, PVFR 9–15, PFR 12–16, and CFR 18–21. These results are consistent with earlier findings that documented DFR counts of 14 to 15, PFR counts from 13 to 15, PVFR counts from 10 to 11, AFR counts from 12 to 14, and CFR of around 2021. The LLR in rainbow trout indicated a strong correlation between TL and SL, HL, SNL, PAL, PPVL, PPL, PDL, PADL, and CPL, with r2 values exceeding 0.75. The results align with earlier research showing that the r2 values between TL and several measurements, such as FL, SL, HL, PDL, PPL, PPVL, PAL, GL, AL, and BD, were higher than 0.8348.
The brown trout specimens ranged from 19.7 cm to 35.7 cm, consistent with previous studies ranged from 12.8 cm to 48.0 cm43. Another study in Turkish streams recorded the largest specimen, measuring 38.7 cm in length and weighing 683.13 g49. These variations in body size reflect the result of interactions among genetic composition and environmental factors50,51,52. The LLR in brown trout specimens demonstrates a strong correlation (r2 > 0.75) between total length and SL, HL, SNL, PAL, PPVL, PPL, PDL, PADL, and CPL. These results are consistent with those of previous studies that showed strong relationships between TL and PPL (0.94), PVL (0.98), SL (0.99), HL (0.97), SNL (0.98), FL (0.99), CL (0.93), DL (0.98), AL (0.99), and MD (0.95)6, and SL (1.1178)46. These results indicated that the morphometric characteristics exhibited positive growth as the length of fish increased53.
In rainbow and brown trout populations, PCA of morphometric and meristic features revealed both site-specific and conserved variation. Body size is the primary determinant structuring morphological variation in both species, since PC1 consistently showed a size-related allometric gradient. According to earlier research on rainbow trout, rearing environment has less of an impact on morphological variance than genetically based ecotypic divergence54. Our findings, on the other hand, highlight how ecological plasticity shapes growth and morphology under aquaculture circumstances, with variance between farm sites reflecting habitat quality and management techniques. The site-specific variations in PC2 indicate that cranium and fin structures may be influenced by farm parameters such as water quality, stocking density, and feeding schedule. Fish from S1 prioritized body stability and cranial strength, while fish from S2 and S3 displayed more fin and eye development, suggesting that farm-level environmental factors may influence morphology55,56. However, in brown trout, PC2 revealed ecologically interpretable shape variation associated with habitat use. At S4, longer snouts and wider pectoral fins were linked to better hydrodynamic stability, indicating adaptation to turbulent and fast-flowing environments34,35,36,37. At S5, individuals diverged along head and fin traits, indicating distinct preferences for foraging strategies and habitat complexity44. The majority of variation is due to environmental factors like prey availability and flow conditions that promote shape adaptive plasticity55,56. The biological characteristics analyzed in this study help in determining the conservation status of fish, aquaculture practices, breeding, and fisheries management38.
Conclusion
This study presents the first assessment of biometric analysis of both exotic trout populations in Himachal Pradesh. The findings showed that both species exhibit adaptability for meeting the changing environmental conditions within their respective habitats. The rainbow trout population from all study sites showed isometric and positive allometric growth, highlighting different body forms, whereas brown trout populations displayed variable growth patterns, with Site 6 relatively become more slenderer with size, and also foregrounding a more significant correlation of length with weight and length with morphometric characteristics. The meristic counts exhibit little variation and were consistent in the population from different sites. PCA also showed that morphological variation is dominated by size-related features, while shape differences indicate rearing effects or site-specific adaptations. The biological characteristics analyzed in this study helps in determining the conservation status of fish, aquaculture practices, breeding, and fisheries management. To improve the understanding of fish dynamic patterns future research should incorporate long-term observation, seasonal variation, water quality parameters, food resources, and genetic variability.
Data availability
The data supporting the findings of this study are available from the corresponding author upon reasonable request.
References
Pushpa, T., Pankaj, G. & Kumar, S. V. Trout culture in Himachal pradesh: problems and prospects. Int. J. Life Sci. 6, 343–352 (2018).
Rehman, A. U. et al. Artificial breeding of rainbow trout (Oncorhynchus mykiss) at Madyan hatchery Swat, Khyber pakhtunkhwa, Pakistan. J. Entomol. Zool. Stud. 4, 1040–1043 (2016).
Wali, A. et al. Morphometry and length-weight relationship of rainbow trout Oncorhynchus Mykiss Walbaum, 1792 (Salmoniformes: Salmonidae) from Kashmir. J. Entomol. Zool. Stud. 7, 1653–1656 (2019).
Choudhary, M., Thakur, K., Brar, B., Kumar, S., Sharma, D., Kumar, R., & Mahajan, D. Status of fish assemblage structure in the Ganga and Indus riverine systems of the western Himalaya. World Water Policy. 9, 613–638 (2023).
Dutta, V., Bisht, H. C. S. & Khan, A. U. Histological studies of cold water fish, Rainbow-trout (Oncorhynchus mykiss) (Walbaum) ovaries in Balkhilariver in Bairangana district Chamoli, Uttarakhan. J. Kalash Sci. 7, 27–34 (2019).
Rawat, M. S., Bantwan, B., Singh, D. & Gusain, O. P. Status of brown trout (Salmo trutta Fario L.) in Garhwal himalaya with a note on it morphometric characteristics. Environ. Conserv. J. 12, 47–52 (2011).
Singh, A. K. & Lakra, W. S. Risk and benefit assessment of alien fish species of the aquaculture and aquarium trade into India. Reviews Aquaculture. 3, 3–18 (2011).
Kumar, A. Hydrological conditions of river Beas and its fish fauna in Kullu Valley, Himachal Pradesh, India. Environ. Conserv. J. 11, 7–10 (2010).
Mahajan, D., Thakur, K., Kumari, H. & Kumar, R. A. Comprehensive study of assessing water quality and phytoplankton communities in the river Ravi (India). Transylv. Rev. Systematical Ecol. Res. 26, 31–56 (2025).
Sharma, I. Status of trout fishes versus climate change in Himachal Pradesh, North Western himalaya. Int. J. Fisheries Aquat. Stud. 6, 424–426 (2018).
Azrita, A., Syandri, H. & Aryani, N. Length and Weight relationship, condition factor, and morphometric characteristics of eleven freshwater fish species in Koto Panjang Reservoir, Indonesia. Int. J. Zool. 2024, 9927705 (2024).
Guo, H., Zhang, Y., Tang, W., Liu, D. & Zhang, X. Length–weight relationships of ten fish species from the Jingjiang reach of the Yangtze River, China. J. Appl. Ichthyol. 36, 369–372 (2020).
Ahmad, I. & Ahmed, I. Length weight relationship and condition factor of cultured rainbow trout, Oncorhynchus mykiss (Walabum, 1792). J. Ecophysiol. Occup. Health 24–27 (2019).
Elliott, J. M. & Bagenal, T. B. Methods for assessment of fish production in fresh waters. J. Anim. Ecol. 48, 329 (1979).
Froese, R. Cube law, condition factor and weight-length relationships: history, meta-analysis and recommendations. J. Appl. Ichthyol. 22, 241–253 (2006).
Jisr, N., Younes, G., Sukhn, C. & El-Dakdouki, M. H. Length-weight relationships and relative condition factor of fish inhabiting the marine area of the Eastern mediterranean city, Tripoli-Lebanon. Egypt J. Aquat. Res. 44, 299–305 (2018).
Alam, M. M. et al. Length-length relationship, length-weight relationship and condition factor of freshwater fish species of Bangladesh. Aquaculture Aquarium Conserv. Legislation. 6, 498–509 (2013).
Dai, Y. et al. Length-Weight and Length‐Length Relations of 14 Freshwater Fish Species from the Qiantang River, China. J. Appl. Ichthyol. 2024, 4101501 (2024).
Umaru, J. A., Annune, P. A., Cheikyula, J. O. & Okomoda, V. T. Some biometric parameters of four selected fish species in Doma Dam, Nasarawa State, Nigeria. Int. J. Aquac. 5 (2015).
Ihssen, P. E. et al. Stock identification: materials and methods. Can. J. Fish. Aquat. Sci. 38, 1838–1855 (1981).
Vasave, S. & Saxena, A. Morphological and meristic studies of rainbow trout Oncorhynchus mykiss) and snow trout (Schizothorax richardsonii). Coll. Fisheries GB Pant Univ. Agric. Technol. 3, 1–6 (2013).
Thakur, K. et al. In Silico analysis of mitochondrial DNA genes: implication for conservation of Tor Putitora (Hamilton, 1822). Sci. Rep. 15 (2025).
AnvariFar, H. et al. Detection of morphometric differentiation between isolated up-and downstream populations of Siah Mahi (Capoeta Capoeta gracilis)(Pisces: Cyprinidae) in the Tajan river (Iran). Hydrobiologia 673, 41–52 (2011).
Bowering, W. R. An analysis of morphometric characters Northwest Atlantic using a multivariate analysis of covariance. Can. J. Fisher Aquat. Sci. 45, 580–585 (1998).
Liasko, R., Anastasiadou, C., Ntakis, A., Gkenas, C. & Leonardos, I. D. Morphological differentiation among native trout populations in North-Western Greece. J. Biol. Research-Thessaloniki. 17, 33–43 (2012).
Muchlisin, Z. A. Morphometric variations of Rasbora group (pisces: cyprinidae) in lake Laut Tawar, Aceh Province, Indonesia, based on truss character analysis. Hayati J. Biosci. 20, 138–143 (2013).
Rakhi, R. F. et al. Morpho-meristic analysis of the great Snakehead (Channa marulius) collected from the lowland ecosystem in Bangladesh and its future implications. Iran. J. Fisheries Sci. 23, 207–221 (2024).
Tudela, S. Morphological variability in a Mediterranean, genetically homogeneous population of the European anchovy, Engraulis encrasicolus. Fish. Res. 42, 229–243 (1999).
Singh, G. & Agarwal, N. K. Fishing methods in upper Ganga river system of central Himalaya, India. J. Fisheries. 2, 195–202 (2014).
Jayaram, K. C. The Freshwater Fishes of the Indian Region (1999).
Talwar, P. K. & Jhingran, A. G. Inland Fishes of India and Adjacent Countries, vol. 2 (CRC, 1991).
Froese, R. The Science In Fishbase (Cambridge University Press, 2011).
Dash, G. et al. Modeling framework for Establishing the power law between length and weight of fishes and a meta-analysis for validation of LWRs for six commercially important marine fishes from the Northwestern Bay of Bengal. Fish. Res. 257, 106496 (2023).
Kashyap, A., Awasthi, M. & Serajuddin, M. Phenotypic variation in freshwater Murrel, Channa punctatus (Bloch, 1793) from Northern and Eastern regions of India using truss analysis. Int. J. Zool. 2016, 1–6 (2016).
Mir, J. I., Mir, F. A., Chandra, S. & Patiyal, R. S. Pattern of morphological variations in Alghad snowtrout, Schizopyge Niger (Heckel 1838) from Kashmir himalaya using truss network analysis. Ichthyol. Res. 60, 256–262 (2013).
Motamedi, M., Madjdzadeh, S. M., Teimori, A., Esmaeili, H. R. & Mohsenzadeh, S. Morphological and molecular perspective on geographical differentiation of barbus populations (Actinopterygii; Cyprinidae) within Iranian freshwater drainages. Turkish J. Fisheries Aquat. Sci. 14, 339–351 (2014).
Poulet, N., Berrebi, P., Crivelli, A. J., Lek, S. & Argillier, C. Genetic and morphometric variations in the pikeperch (Sander Lucioperca L.) of a fragmented delta. Archiv. für. Hydrobiol. 159, 531–554 (2004).
Gonzalez-Martinez, A. et al. Usefulness of discriminant analysis in the morphometric differentiation of six native freshwater species from Ecuador. Animals 11, 111 (2021).
Sigler, W. F. The Rainbow Trout in Relation To the Other Fish in Fish Lake, vol. 358 (Utah Agricultural Experiment Station, 1953).
Van Woert, W. F. Time pattern of migration of adult salmon and Steelhead into the upper Sacramento river Steelhead during the 1956-57 season, and length-weight relationship of Sacramento river Steelhead. Calif. Inl Fish. Admin Rep. 57, 1–5 (1957).
Esmaeili, H. R. & Ebrahimi, M. Length-weight relationships of some freshwater fishes of Iran. J. Appl. Ichthyol. 22, 328–329 (2006).
TW, F. The rate of growth of fishes. Twenty-Second Annual Report 141–241 (1904).
Rawat, M. S., Bantwan, B., Singh, D. & Gusain, O. P. Length-weight relationship and condition factor of brown trout (Salmo trutta Fario L.) from river Asiganga, Uttarakhand (India). Environ. Conserv. J. 15, 41–46 (2014).
Koljonen, S., Huusko, A., Mäki-Petäys, A., Mykrä, H. & Muotka, T. Body mass and growth of overwintering brown trout in relation to stream habitat complexity. River Res. Apps. 28, 62–70 (2012).
Arslan, M., Aras, N. M. & Yıldırım, A. Cenker Çayı (Çoruh Havzası)’nda Yaflayan Salmo trutta labrax (Pallas, 1811)’ın populasyon yapısı ve büyüme özellikleri. Su Ürünleri Sempozyumu 20–22 (2000).
Arslan, M., Yıldırım, A. & Bektaş, S. Length-weight relationship of brown trout, Salmo trutta L., inhabiting Kan stream, Coruh Basin, north-eastern Turkey. Turk. J. Fish. Aquat. Sci. 4 (2004).
Nabi, N., Ahmed, I. & Wani, G. B. Delineating the growth stanzas of rainbow trout, Oncorhynchus Mykiss (Walbaum, 1792) reared at a major Himalayan trout hatchery. Proc. Natl. Acad. Sci. India Sect. B Biol. Sci. 95, 15–23 (2025).
Shah, T. H., Balkhi, M. H., Najar, A. M. & Asimi, O. A. Morphometry, length-weight relationship and condition factor of farmed female rainbow trout (Oncorhynchm Mykiss Walbaum) in Kashmir. Indian J. Fisheries. 58, 51–56 (2011).
Ozvarol, Z. A. B., Yildirim, A., Bektas, S., Ozvarol, Y. & Yilmaz, S. Intrabasin variation in growth and condition of brown trout (Salmo trutta) inhabited Coruh Basin, Turkey (2010).
Pinheiro, A., Teixeira, C. M., Rego, A. L., Marques, J. F. & Cabral, H. N. Genetic and morphological variation of Solea Lascaris (Risso, 1810) along the Portuguese Coast. Fish. Res. 73, 67–78 (2005).
Poulet, N., Berrebi, P., Crivelli, A. J., Lek, S. & Argillier, C. Genetic and morphometric variations in the pikeperch (Sander Lucioperca L.) of a fragmented delta. Archiv. für. Hydrobiol. 159, 531–554 (2004).
Swain, D. P. & Foote, C. J. Stocks and chameleons: the use of phenotypic variation in stock identification. Fish. Res. 43, 113–128 (1999).
Kamboj, N. & Kamboj, V. Morphometric and meristic study of four freshwater fish species of river Ganga. Indian J. Anim. Sci. 89, 470–473 (2019).
Keeley, E. R., Parkinson, E. A. & Taylor, E. B. The origins of ecotypic variation of rainbow trout: a test of environmental vs. genetically based differences in morphology. J. Evol. Biol. 20, 725–736 (2007).
Fenkes, M., Shiels, H. A. & Nudds, R. L. Body shape and robustness response to water flow during development of brown trout Salmo trutta Parr. J. Fish Biol. 93, 360–369 (2018).
Sánchez-González, J. R. & Nicieza, A. G. Phenotypic convergence of artificially reared and wild trout is mediated by shape plasticity. Ecol. Evol. 7, 5922–5929 (2017).
Acknowledgements
The authors sincerely thank the Department of Fisheries, Himachal Pradesh, for their valuable support and assistance in facilitating sample collection and providing field insights during this study. And authors also thank the Department of Animal Sciences, Central University of Himachal Pradesh for providing lab facilities for carrying further research work.
Author information
Authors and Affiliations
Contributions
R.K. and B.K.D., Conceptualization and Design; H.K., Writing Original Draft and Data Collection; H.K., and K.T. Analysis, and Interpretation; A.K.T., B.B., S.K., and D.M., Review and Editing.
Corresponding author
Ethics declarations
Competing interests
The authors declare no competing interests.
Ethical approval
This research did not involve any invasive procedures, and all necessary permissions for sample collection were obtained from the appropriate authorities. The institutional approval number is: IAEC/CUHP/2023/I-1.17 and the permission granted by the Department of Fisheries, Himachal Pradesh, for collecting the fish samples is the file No. FSH-F (2)-42/2004-ARC-IV-6478.
Additional information
Publisher’s note
Springer Nature remains neutral with regard to jurisdictional claims in published maps and institutional affiliations.
Supplementary Information
Below is the link to the electronic supplementary material.
Rights and permissions
Open Access This article is licensed under a Creative Commons Attribution-NonCommercial-NoDerivatives 4.0 International License, which permits any non-commercial use, sharing, distribution and reproduction in any medium or format, as long as you give appropriate credit to the original author(s) and the source, provide a link to the Creative Commons licence, and indicate if you modified the licensed material. You do not have permission under this licence to share adapted material derived from this article or parts of it. The images or other third party material in this article are included in the article’s Creative Commons licence, unless indicated otherwise in a credit line to the material. If material is not included in the article’s Creative Commons licence and your intended use is not permitted by statutory regulation or exceeds the permitted use, you will need to obtain permission directly from the copyright holder. To view a copy of this licence, visit http://creativecommons.org/licenses/by-nc-nd/4.0/.
About this article
Cite this article
Kumari, H., Mahajan, D., Thakur, K. et al. Biometric analysis of Oncorhynchus mykiss (Walbaum, 1792) and Salmo trutta, Linnaeus, 1758 from the different habitat in Himachal Pradesh. Sci Rep 15, 38817 (2025). https://doi.org/10.1038/s41598-025-22721-9
Received:
Accepted:
Published:
Version of record:
DOI: https://doi.org/10.1038/s41598-025-22721-9






