Abstract
Considering the rock creep effect can effectively improve the prediction accuracy of surface subsidence in goafs, which is particularly important for determining construction timing and ensuring the safe operation of surface structures. On basis of the time-dependent deformation characteristics of the overlying strata in mining areas, a nonlinear viscoelastic‒plastic (NVEP) model for accurately describing the three-stage creep behavior of rocks was established. The three-dimensional creep constitutive equations of this model were derived, and a secondary development of the creep model was implemented on the FLAC3D numerical simulation platform. A creep parameter inversion method for overlying strata in goaf areas was proposed by combining creep simulation analysis with a genetic algorithm. A specific project was selected as a case study, and the creep model and its related parameters were subsequently used to predict the long-term surface settlement behavior, providing a scientific basis for determining the appropriate construction timing for the surface railway in the goaf area of the region. The numerical simulation results indicate that the surface subsidence exhibits an exponential decay trend, which can be divided into three distinct stages: an initial rapid settlement phase (0–2 years), a transitional phase (2–3 years), and a long-term stabilization phase (beyond 4 years). On the basis of the railway construction specifications and the results of the numerical simulation analysis, the feasibility of constructing a railway on the goaf surface is assessed. The findings indicate that railway construction above the goaf in this area should be postponed for at least five years after the cessation of mining activities.
Introduction
As a major coal producer and consumer, China sources more than 80% of its coal from underground mining1,2. The underground caving methods used for coal extraction result in the formation of goaf areas after the coal has been mined, where the overlying strata gradually collapse3,4,5. This subsidence propagates to the surface, ultimately forming funnel-shaped settlement zones that extend from the goaf centers to the periphery6,7. Mining-induced surface subsidence not only damages surface infrastructure and building deformation but also lowers groundwater tables and contaminates soil and water8,9, which significantly limits sustainable mining development and remains an active frontier in mining engineering research.
Mining-induced surface subsidence involves a multidimensional dynamic problem that includes coal seam extraction, overburden strata movement, and surface deformation. Throughout this process, the geometric configuration of the rock strata has nonlinear time-dependent characteristics resulting from the coupling of multiple physical fields, including stress field redistribution and displacement field transmission. To elucidate surface deformation mechanisms, extensive studies have focused on the temporal evolution of goaf subsidence. Sun et al.10 proposed a new theoretical method to predict the strata movement boundary and surface subsidence caused by inclined coal seam mining, which considers the influence of key strata, rock quality and coal seam dip angle. Cheng et al.11 established an improved Knothe time function model on the basis of the inversion of creep curves and surface subsidence curves. The empirical model can predict the dynamic process of surface subsidence affected by coal mining well. Ding et al.12 integrated the Boltzmann function with a transformed normal distribution time function to establish a novel B-normal dynamic prediction model, which can accurately predict mining-induced surface displacement. Wang et al.13 developed novel time-function models for mining subsidence prediction via the probability integral method and with consideration of surface deformation features. Zhou et al.14 proposed a Morgan–Mercer–Flodin time function for predicting progressive surface subsidence caused by coal mining on the basis of model assumptions and formula derivations. Researchers have reported significant findings on the evolution of surface subsidence in goaf areas through time-function modeling. However, these methods rely on empirical or theoretical assumptions and disregard rock mass constitutive relationships and geological conditions, which limits insights into subsidence mechanisms and long-term deformation patterns.
The surface subsidence in mine-out areas is caused by the cumulative movement and deformation of the rock strata. Owing to the inability of time function models to account for the effect of rock strata properties on subsidence deformation, their predictive reliability significantly decreases under complex geological conditions. As a result, several researchers have extensively investigated surface subsidence caused by overburden displacement through numerical and physical simulations. Xu et al.15 investigated the movement laws of the overlying strata at the working face ends and assessed their effects on surface deformation via field monitoring as well as physical and numerical modeling. Chai et al.16 analyzed ground surface movement and deformation in deep and extra-thick coal seam mining under ultra-thick conglomerate at the Qianqiu Coal Mine via physical modeling. Liu et al.17 analyzed the surface subsidence of coal mines using a novel bonded block numerical method. Zhao and Konietzky18 proposed a numerical modeling strategy to predict uplift during the flooding process of an excavated coal mining area, which considers three phases: the virgin state before mining, the stage immediately after mine closure, and the flooding phase. Cheng et al.19 analyzed the whole strata movement process of the footwall induced by underground mining with the UDEC method. Fathi Salmi et al.20 analyzed the effects of underground mining on the stability of slopes via numerical modelling. Numerical simulations provide important technical support for analyzing the characteristics of strata movement and surface subsidence after coal mining. However, the majority of studies focus on analyzing the effect of strata fracture and collapse on surface subsidence after coal extraction and rely on elastoplastic theory, with minimal consideration given to the long-term effects of strata creep on surface subsidence.
Although initial subsidence due to rock stratum collapse during mining has been investigated extensively, the time-dependent settlement caused by strata creep after mining ends critically affects the safety of surface structures. Conventional prediction methods for surface subsidence, which often overlook the viscoelastic‒plastic creep behavior of rock masses, fail to accurately represent this prolonged deformation. As a result, design margins for critical infrastructure may be underestimated, potentially compromising long-term stability and safety. To address these limitations, first, this study established a nonlinear viscoelastic-plastic creep model for describing the three creep stages by adding threshold elements and a viscoplastic model to the Burgers model. Second, the creep equation of the model was derived, and the secondary development of the model was implemented on the FLAC3D platform. Third, the prediction and analysis of the surface subsidence in a mine was selected as a case study, the creep model parameters were inverted with field monitoring data, and the long-term surface subsidence pattern of the region was investigated through numerical simulation. Last, on the basis of numerical simulation results and relevant standards21,22, the optimal timing for railway construction in mining-affected areas was determined. These findings provide theoretical foundations and establish practical engineering benchmarks for the feasibility analysis of railway construction in mining areas.
Rock creep constitutive model of rock strata
Establishment of the nonlinear creep model
Previous studies have indicated that rock typically exhibits three stages of creep under high-stress conditions—decaying creep, steady-state creep, and accelerated creep— whereas rocks that have been damaged or fractured by mining activities are more susceptible to creep deformation23,24,25,26,27. Currently, classical creep models, such as the Burgers model, play significant roles in analyzing the time-dependent deformation behavior of geotechnical materials in underground engineering28,29,30. However, these classical models are not fully applicable to the analysis of surface subsidence induced by the time-dependent deformation of roof strata in coal seams for the following reasons. First, the significant differences in lithology and stress levels of the roof rock result in various creep behaviors among different rock layers. Second, the behaviors of roof rock collapse and continuous compaction after coal seam mining are related to the nonlinear characteristics of rock accelerated creep. Third, during coal mining, the stress field in roof strata continuously adjusts as the rock mass deforms, resulting in transient elastic, viscoelastic, and viscoplastic deformation behavior. On the basis of the time-dependent mechanical behavior of rock strata, a creep model that can describe the nonlinear viscoelastic‒plastic deformation characteristics of rocks is particularly critical for analyzing the long-term subsidence law of the surface behind roof collapse in goafs. In this study, a novel creep model (NVEP model) is established by connecting the nonlinear viscoplastic model in series with the Burgers model, the yield failure of which is governed by the Mohr‒Coulomb criterion. Moreover, the model characterizes the time-dependent deformation of roof strata under different stress levels by incorporating a stress-dependent creep threshold component. The nonlinear creep model is shown in Fig. 1.
This model reveals that the rock mass exhibits only transient elastic deformation at low stress levels (i.e. σ < σk), below the creep threshold. At this stage, rock strata deformation is time-independent; consequently, the creep model can be described by Hooke’s law as follows:
When stress levels exceed the creep threshold but remain below the long-term strength of the rock (i.e., σk ≤ σ < σs), the rock mass undergoes viscoelastic deformation. At this stage, the creep model can be described as follows:
According to Eq. (2), the constitutive equation for the creep model is derived as follows:
When the stress level remains constant at σ0, we obtain the following:
The creep equation is obtained by substituting Eq. (4) into Eq. (3):
When stress levels exceed the long-term strength of the rock (i.e., σ ≥ σs), the rock mass exhibits significant nonlinear viscoelastic‒plastic deformation. Previous studies have indicated that this nonlinear deformation during the accelerated creep stage results from a stress-induced reduction in the viscosity coefficient. Therefore, we replace the viscous component in the Saint-Venant body with a nonlinear component to characterize the mechanical response at this stage, which is expressed as follows:
where a (a > 0) represents the creep index, which is affected by stress levels and lithology, and controls the rheological rate of the rock during the accelerated creep stage. Consequently, the rheological model consists of the following system of equations:
The constitutive equation derived from Eq. (7) is then expressed as follows:
When the stress level remains constant at σ0, we obtain the creep equation as follows:
The one-dimensional creep equations for the novel nonlinear viscoelastic‒plastic creep model are expressed as follows:
In three-dimensional stress states, the spherical stress tensor controls volumetric deformation, whereas the deviatoric stress tensor controls shape distortion. Previous have indicated that these stress components control the creep process31,32. Consequently, the three-dimensional constitutive relations for the modified Burgers creep model can be expressed as follows:
where σm represents spherical stress tensor (σm = σii/3), sij denotes the deviatoric stress tensor, εm indicates the spherical strain tensor, and eij represents the deviatoric strain tensor.
The 3D Hooke’s law in the elastic state is expressed as follows:
where K represents the bulk modulus (K = E/2(1–2µ)) and G denotes the shear modulus (G = E/2(1 + µ)).
According to Eq. (11), the 3D nonlinear creep constitutive equations are expressed as follows:
where F denotes the yield function with F0 as its initial value; Q represents the plastic potential function, which is assumed to be identical to that in the Mohr‒Coulomb model; and ϕ indicates a power-law function whose exponent is typically 1 for rock materials.
Under conventional triaxial creep conditions (σ2 = σ3), the constitutive equations simplify from Eq. (12) to:
By substituting Eqs. (13) and (14) into Eq. (11), we obtain the 3D creep constitutive equations for the proposed nonlinear viscoelastic‒plastic model:
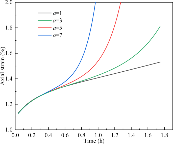
To confirm the advantages of the proposed creep model over the classical model in characterizing the accelerated creep stage of rock, the creep test data from Reference33 were used to fit the creep models. The creep model parameters obtained from the fitting are listed in Table 1. The comparison between the theoretical curves of creep models and the experimental data is shown in Fig. 2. In the initial stage of creep, the theoretical predictions of all three models exhibit reasonable agreement with the sandstone test results, indicating that each model can adequately capture the early-stage creep behavior of rock. However, as creep duration increases, discrepancies among the models and between the models and experimental observations become progressively more pronounced. Notably, the theoretical curve of the NVEP model demonstrates a consistently closer fit to the experimental data across the entire creep process, particularly during the later stages. Additionally, to investigate the influence of the creep index on creep behavior, theoretical creep curves under different creep index values (a = 1, 3, 5, 7) were analyzed. According to the parameters listed in Table 1; Fig. 3 presents the theoretical curves of the NVEP model for different creep indices. The results show that the creep index has a significant effect on the creep behavior. As the creep index increases, accelerated creep occurs earlier, and the nonlinear deformation characteristics during this stage become increasingly pronounced. It is crucial for accurately predicting the long-term deformation and stability of rock strata in engineering applications.
Comparison between the theoretical curves of creep models and the experimental data33.
Numerical implementation of the model
Numerical implementation of the theoretical model requires the derivation of 3D creep equations in the form of the finite difference method (FDM) and their integration into FLAC3D. The deviatoric behavior in the modified creep model is expressed as follows.
Specifically, the total strain rate is expressed as follows:
The elastic element is expressed as follows:
The viscoelastic element is expressed as follows:
The viscoplastic element is expressed as follows:
The total deviatoric strain increment is derived from Eq. (16):
In the incremental formulation, we use the following expression:
where the superscripts N and O represent new and old values, respectively, in the timestep procedure.
The FDM formulas from Eqs. (19) to (21) are expressed as follows:
where \(A=1+\frac{{{G_{\text{K}}}\Delta t}}{{2{\eta _{\text{K}}}}}\) and \(B=1 - \frac{{{G_{\text{K}}}\Delta t}}{{2{\eta _{\text{K}}}}}\).
The new deviatoric stress tensor is expressed as follows:
where \(a=\frac{1}{{2{G_{\text{M}}}}}+\frac{{{\text{\varvec{\Delta}}}t}}{4}\left( {\frac{1}{{{\eta _{\text{M}}}}}+\frac{1}{{A{\eta _{\text{K}}}}}} \right)\), \(b=\frac{1}{{2{G_{\text{M}}}}} - \frac{{{\text{\varvec{\Delta}}}t}}{4}\left( {\frac{1}{{{\eta _{\text{M}}}}}+\frac{1}{{A{\eta _{\text{K}}}}}} \right)\)
The FDM formula for spherical stress is expressed as follows:
During constitutive model implementation in FLAC3D, the new trial stress components are computed via Eqs. (25) and (26). The principal stresses are subsequently determined, enabling evaluation of the yield function F. If F < 0, the trial stress is updated to be valid. If F > 0, the stresses are corrected on the basis of the increase in viscoplastic strain. The stress components projected back to the principal axes are expressed as follows:
where \({\alpha _1}=K+\frac{2}{{3a}}\) and\({\alpha _2}=K - \frac{1}{{3a}}\).
For shear yielding:
For tensile yielding:
On the basis of the stress increment formulation of the aforementioned viscoelastic‒plastic model, the computational code was programmed in VC++. Through the UDM (user-defined model) interface of FLAC3D, the code was compiled into a “.dll” file, enabling secondary development of the constitutive model within FLAC3D.
Creep parameter inversion method at the engineering scale
The development of the creep model in a numerical calculation platform is the premise for achieving the transformation from a theoretical model to an engineering application, and the creep parameters must be determined at the engineering scale to obtain reliable simulation results. In long-term stability analyses of underground engineering, the identification of creep parameters on the basis of creep models and in-situ rock mass deformation monitoring data is considered relatively reliable. With the advancement of computer technology, information theory, system theory, genetic algorithms, and neural networks have become the common methods for parameter inversion analysis. Genetic algorithms (GAs) are widely used extensively in multi-parameter inversion because of their advantage of adaptive heuristic critical random global search optimization34. When the creep model is used to predict and analyze long-term surface settlement, the model parameters are identified via genetic algorithms. The identification process for the creep parameters of each rock stratum is presented as follows:
(1) Under actual geological engineering conditions, a three-dimensional numerical calculation model of working face mining is established. Static calculations of coal seam mining are performed to obtain surface settlement data without considering the time effect. These data are then compared with the monitoring data to modify the rock mass parameters used in the static calculation.
(2) According to the static analysis, the creep model parameters are initially set on the basis of the rock lithology, and creep simulations are conducted to determine the parameter range. The parameter ranges {x₁, x₂, and x₃} represent the Kelvin shear modulus, Kelvin viscosity, and Maxwell viscosity of the rock layers, respectively.
(3) On the basis of the initial parameters, a random method is used to generate 24 initial genetic chromosomes, A₁ to A₂₄, within the ranges [x₁/10, 10x₁], [x₂/10, 10x₂], and [x₃/10, 10x₃], to complete the initial population setup of the creep model parameters.
(4) The pre-developed creep model for computational execution is invoked, and the relative error between the same-generation simulation results and the on-site monitoring results is calculated via Eq. (30).
where f(Ai) denotes the error value at monitoring point i, xi represents the numerical simulation result at that time step, and xi, real denotes the field-measured displacement at the corresponding time step.
(5) For the sample set \({P_s}=\left\{ {{A_1},{A_2}, \cdots ,{A_{24}}} \right\}\), where each individual Ai has an error value f(Ai), the selection probability P(Ai) is determined via Eq. (31). The options with lower error values are easier to choose.
(6) Twenty-four offspring are selected as the new parameter population for simulation calculation by calling the gene mutation function. Steps (4) and (5) are repeated until the error is less than 0.01 to obtain the optimal solution and creep parameters.
A workflow diagram of the aforementioned methodology is presented in Fig. 4.
Engineering implementation
Project overview
A railway serving a coal mine will be constructed along the northern perimeter of the industrial park with a northeast–southwest alignment. According to the coal mine data, the mining of longwall faces 5–20109, 5–20110, 5–20111, 5–20112, and 5–20113 could impact railway construction, as shown in Fig. 5. To evaluate the effect of the mining of the above working face on the construction of the railway line and to provide guidance for the follow-up railway construction schedule, analysis of the long-term surface subsidence law of the goaf on the basis of the actual geological conditions is critical. Therefore, on the basis of the established nonlinear creep model, the surface settlement pattern and its influence range after mining near the railway line are analyzed, and the railway construction schedule is evaluated in accordance with railway construction specifications.
Creep parameters inversion
Currently, the working face near the railway line in Fig. 5 is still in the mining scheme demonstration phase, so no surface subsidence monitoring data is available for direct calibration of the numerical model parameters. To ensure the reliability of the long-term subsidence predictions, this study leverages surface subsidence data from a geologically similar working face in the same region, applying the method outlined in Sect. 2.3 to identify the strata creep parameters. The numerical simulation model shown in Fig. 6 was established on the basis of the borehole data from the area around the 5–20101 working face. The model is 500 m in length, 200 m in width, and 150 m in height. The model boundary conditions include a fixed base, normal stress constrained on all lateral boundaries, and a free surface at the top. The gravitational acceleration in the downward vertical direction was 10 m/s². The physical and mechanical properties of the distinct rock and soil strata are detailed in Table 2, and the interface properties were a normal stiffness of 10 GPa, a tangential stiffness of 10 GPa, a cohesion of 0.1 MPa, and a friction angle of 30°.
In addition, the tectonic stress is not significant in the shallow buried 5-2 coal seam. Consequently, the in-situ stress field is dominated by gravitational forces, with the vertical stress (σv) and horizontal stress (σh) calculated as follows:
where γ represents the unit weight of rock or soil, H represents the burial depth, and K0 represents the coefficient of lateral pressure.
After the three-dimensional model of numerical calculation is established, coal seam mining is conducted in timesteps of 4 m, and the surface settlement is analyzed. The vertical displacement contours of the overlying strata of the mine goaf are shown in Fig. 7. The results reveals that the maximum surface subsidence is 1521 mm after coal mining, which is almost consistent with the field-measured displacement of 1411 mm. Consequently, the results indicate that the mechanical parameters are suitable for static analysis. The creep constitutive model was activated after static analysis. The initial creep parameters for sandstone, mudstone, and coal were calibrated on the basis of previous studies35,36,37. The inversion of the creep parameters of the strata was determined by the workflow diagram in Fig. 4. During this process, error analysis was conducted by comparing field-monitored and simulation-monitored data. The monitored points are shown in Fig. 8. Based on the surface subsidence monitoring data from the three measurement points, the optimal creep parameters were ultimately determined by the GAs, and the results are listed in Table 3.
To evaluate the prediction accuracy of the proposed model, numerical simulation analyses were conducted using the developed creep model and the identified model parameters. The creep duration was set to 123 days. The comparison of surface subsidence between field-monitored and simulation data is shown in Fig. 9. It can be observed that the time-dependent surface subsidence patterns derived from the numerical simulations align well with field monitoring data, with a coefficient of determination (R²) exceeding 0.95 at all stage. As a result, the proposed creep model, along with the creep parameters obtained through GA-FDM coupling, demonstrates sound rationality in predicting goaf-related subsidence.
Numerical model for subsidence analysis
A numerical model was developed on the basis of geological data and the location of longwall faces 5–20109 to 5–20113. Given that consistent computational methods were applied to all the longwall face models, the surface subsidence was analyzed using a numerical model of longwall face 5–20109 as a representative case. FLAC3D software was used to construct the numerical model for subsidence analysis as shown in Fig. 10. On the basis of geological data, the model incorporates eight strata: diluvial soil, fine sand, loess, medium sandstone, mudstone, fine sandstone, siltstone, and coal seam. The model is 300 m in length, 300 m in width, and 150 m in height, comprising 139,400 grid points and 110,952 zones. The boundary conditions include a free surface at the top, normal displacement constraints on the lateral boundaries, and full fixation at the base. Interfaces between rock layers were assigned a normal/shear stiffness of 30 GPa, a cohesion of 0.02 MPa, and a friction angle of 25°.
During each simulation cycle, the longwall face advanced by 4 m, with 0.6 MPa of support pressure applied to the surrounding rock to simulate hydraulic shield resistance. After the mining of the working face is completed, the creep analysis mode in FLAC3D opened, the developed viscoelastic-plastic mechanical model is called, and its creep parameters are set according to Table 3 for the creep calculation. The creep analysis terminated after 15 years of surface subsidence were simulated. Additionally, to monitor the variation law of surface subsidence after the mining of the working face, six measuring points (A1 to A6) are arranged on the surface of the working face model along its mining direction. The horizontal distances between these measuring points and the center of the mining area are 50 m, 100 m, 150 m, 200 m, 250 m and 300 m, as shown in Fig. 11.
Analysis of the simulation results
Spatiotemporal evolution patterns of surface subsidence
The time-dependent surface subsidence curves along survey line A after the extraction of longwall face 5–20109 are shown in Fig. 12. These curves exhibit an S-type subsidence profile above the coal seam goaf. Notably, surface subsidence reaches a maximum value (1200 mm) in the zone extending more than 75 m behind the longwall termination line. The subsidence value decreases rapidly from 1200 mm to 500 mm between 75 m behind the line and 25 m in front of the line. The subsidence value decreases to 0 within the range of more than 125 m in front of the line. Within four years after-mining, surface subsidence within 125 m of the goaf periphery, particularly within 100 m, persistently increases at a decelerating rate. Within four years after-mining, subsidence stabilized as the overburden reached dynamic equilibrium.
Historical surface subsidence at different monitoring points along line A is shown in Fig. 13. The results indicate that subsidence along line A follows as exponential decay pattern for the post-mining years. According to the simulation results and corresponding fitting curves, the variation in the subsidence along line A is negligible four years after-mining.
Spatiotemporal evolution patterns of surface horizontal displacement
The time-dependent curves of the surface horizontal displacement along line A after the extraction of longwall face 5–20109 are shown in Fig. 14, which reveals that the surface horizontal displacement above the goaf generally exhibits a double-trough distribution pattern. Notably, the first trough occurs above the goaf, whose maximum displacement, ranging from 150 to 310 mm, is 75 m behind the termination line. The second trough occurs on the outer side of the goaf, where the maximum displacement is 150 m in front of the termination line. From the maximum displacement point of the second tough extending 150 m in front of the goaf, the displacement value gradually decreases to 0 mm. Moreover, the horizontal displacement fluctuates significantly near the double troughs within four years after-mining, whereas the fluctuation amplitude is less than 1.0 mm within four years after-mining, indicating that the deformation of the overlayers has no effect on railway construction.
The time-dependent curves of the surface horizontal displacement along line A after the extraction of longwall face 5–20109 are shown in Fig. 14, which reveals that the horizontal displacement above the goaf exhibits a double-trough distribution pattern. Notably, the first trough occurs within the goaf area, where the maximum displacement (ranging from 150 to 310 mm) is located 75 m behind the termination line. The second trough develops outside the goaf boundary, with its peak displacement 150 m in front of the termination line. From this second peak which extends 150 m beyond the goaf, the displacement values gradually decrease to 0 mm. Moreover, significant displacement fluctuations occur near both troughs within four years after-mining, whereas the amplitudes decrease below 1.0 mm thereafter, indicating that overburden deformation has a negligible effect on railway construction.
The monitored horizontal displacement at points along Line A are shown in Fig. 15. The results indicate rapid displacement changes during the third year, a gradual decrease from years 3 to 4, and near-zero values after year 4 at positions less than 125 m from the goaf edge. Moreover, the horizontal displacement amplitudes are negligible beyond 125 m from the goaf boundary.
Feasibility assessment for railway construction
The railway construction over the goaf needs to comply with the relevant provisions in the Code for Coal Pillar Retention and Underwater, Building, Railway and Main Shaft Coal Mining (hereinafter referred to as the Code)21 and the Maintenance Rules for Conventional Railway Lines (hereinafter referred to as the Rules)22. Given that the passenger and freight traffic volume of this coal mine railway is less than 10 MT but more than 5 MT, the proposed railway is a class III railway according to the classification of railway protection grades in the Code. For class III railways, the main parameters of track deformation after track laying are clearly specified in the rules and code. The critical parameters for track deformation, including track gauge, alignment, cross level, and longitudinal level, are shown in Fig. 16. The Code specifies allowable deformations of 5.74 mm for the track gauge, 8.61 mm for the cross level, and 40 mm for the alignment, whereas the Rules defines a track gauge tolerance of + 6/−2 mm, with uniform 4 mm limits for the cross level, longitudinal level, and alignment. On the basis of the numerical simulation results, the linear difference method is used to calculate the static geometric irregularity deviation values of the borehole locations around the railway line shown in Fig. 4, and the potential deformation of the railway track for different post-mining years is analyzed (see Fig. 17).
It should be pointed out that due to the lack of on-site monitoring data, the feasibility analysis results of railway construction are based solely on numerical simulation studies, which means that the evaluation of the construction waiting period can only be conducted on an annual basis. As shown in Fig. 17, surface subsidence evolves through three consecutive phases: an initial rapid settlement period (0–2 years), a transitional phase (2–3 years), and a long-term stable period (beyond 4 years). During the rapid settlement stage, all the parameters decrease significantly: the longitudinal level decreases by 39.5%, from 24.12 mm to 14.6 mm, and the alignment deviation decreases by 28.3%, from 17.64 mm to 12.64 mm. In the transitional phase, the subsidence rate subsequently decreases markedly. The longitudinal level deviation further decreases by 37.3%, from 14.6 mm to 9.16 mm, whereas the track gauge deviation decreases by 60.5%, from 3.8 mm to 1.5 mm. During the stable period, all the deviations approach zero with annual changes of less than 1 mm, indicating that the surface deformation has effectively stabilized. In addition, according to the data in Fig. 17, after five years of mining, the deviations in the gauge, level, height, and axial direction are 0.4 mm, 0.6 mm, 0.8 mm, and 0.64 mm respectively, which meet the requirements for track deformation specified in the specifications and regulations.
For practical engineering, the continuous and slow surface subsidence will not only affect the structural safety and operational stability of the railway but also force enterprises to set a long “waiting period” to wait for the stabilization of surface subsidence before starting railway construction, which directly conflicts with enterprise production and operational efficiency. To address this contradiction, targeted control measures for long-term surface subsidence must be formulated based on the specific geological conditions of the mining area—especially the occurrence conditions of coal seams (e.g., seam thickness, burial depth, dip angle, and lithology of the overlying strata). Combined with the characteristics of thick coal seams and shallow burial depth in the mine, two technical schemes are recommended: (1) By filling the goaf with backfill materials, the collapse and deformation of the overlying strata can be inhibited at the source, thereby effectively controlling the transmission of mining-induced deformation to the surface and reducing the magnitude and duration of long-term surface subsidence; (2) By controlling the single-mining thickness of the coal seam, the degree of disturbance to the overlying strata is reduced, avoiding large-scale and long-term surface subsidence caused by excessive mining intensity. Whereas the implementation of the final plan requires establishing a quantitative indicator system across three dimensions—technical effectiveness, economic viability, and engineering feasibility—and applying a weighted scoring method for comprehensive evaluation.
Conclusions
In this study, a nonlinear viscoelastoplastic creep model was established, and corresponding creep functions were derived on the basis of the time-dependent deformation characteristics of roof strata. The novel creep model was used for simulation through a user-defined model in FLAC3D. A method for inverse analysis of the creep parameters of the rock in goaf areas is proposed, combining creep simulation with genetic algorithms. A specific engineering project is selected as a background, and the temporal–spatial evolution law of surface movement and deformation in the goaf area is analyzed. The feasibility recommendations for constructing railways around goaf areas are provided in accordance with relevant railway construction specifications. The main conclusion are as follows:
(1) A novel nonlinear viscoelastoplastic creep model that can characterize deformation features across all stages of rock creep curves was developed. The 1D and 3D creep equations under constant stress were derived. A critical parameter sensitivity analysis indicates that with increasing creep exponent a, the nonlinear characteristics of the rock accelerated creep stage become more distinct, whereas the time required to reach this stage is significantly reduced. These findings validate the ability of the model to assess the complex nonlinear behavior of rocks during the accelerated creep stage.
(2) The novel viscoelastoplastic creep model was embedded into FLAC3D via a user-defined module. A method for the inverse analysis of creep parameters in goaf areas was proposed, combining creep simulation with genetic algorithms. In a case study conducted at a specific coal mine, the creep parameters of the goaf rock mass were successfully calibrated. The simulation results strongly correlated with the in-situ surface subsidence monitoring data, confirming the applicability of both the novel creep model and the inversion method.
(3) The time-dependent surface displacement was analyzed, and the results indicate that subsidence at monitoring points exhibits an exponential decay pattern in the post-mining years, whereas horizontal displacements above the goaf exhibit a double-trough distribution. Surface subsidence progresses through three postmining phases: an initial rapid settlement period (0–2 years), a transitional phase (2–3 years), and a long-term stable period (beyond 4 years). According to the relevant railway construction specifications, the deviations in the gauge, level, height, and axial direction are all meet the requirements for track deformation after five years mining. To minimize the waiting period prior to railway construction, it is advisable to implement filling mining or limited-thickness mining methods.
Data availability
The datasets used and analyzed during the current study available from the corresponding author on reasonable request.
References
Geng, W. et al. Research on spatial and temporal distribution of primary energy in China. Adv. Mater. Res. 524, 3134–3138 (2012).
Wang, X. Y. et al. Estimates of energy consumption in China using a self-adaptive multi-verse optimizer-based support vector machine with rolling cross-validation. Energy 152, 539–548 (2018).
Behera, S. K. et al. Utilization of mill tailings, fly Ash and slag as mine paste backfill material: review and future perspective. Constr. Build. Mater. 309, 125120 (2021).
Zhu, C. et al. Analysis of slope deformation caused by subsidence of Goaf on Tonglushan ancient mine relics. Geotech. Geol. Eng. 37, 2861–2871 (2019).
Zhang, T. & Yang, Y. L. Occurrence characteristics and treatment technologies of mine Goaf in china: a comprehensive review. Environ. Earth Sci. 83, 441 (2024).
Gu, Y. Y. et al. Study on subsidence monitoring technology using terrestrial 3d laser scanning without a target in a mining area: an example of Wangjiata coal mine, China. Bull. Eng. Geol. Environ. 79, 3575–3583 (2020).
Zhou, D. W. et al. Field research on mining subsidence based on terrestrial 3d laser scanning technology and RTK. International Conference on Information Engineering and Computer Science. IEEE, https://doi.org/10.1109/ICIECS.2010.5678211(2010).
Chen, Y. J. et al. Modeling and analysis of mining subsidence disaster chains based on stochastic petri Nets. Nat. Hazards. 92, 19–41 (2018).
Zheng, M. N. et al. Surface subsidence disasters over Xuzhou city, China 2014–2018 revealed by InSAR and Peck model. Environ. Earth Sci. 82, 264 (2023).
Sun, Y. J. et al. A new theoretical method to predict strata movement and surface subsidence due to inclined coal seam mining. Rock Mech. Rock Eng. 54, 2723–2740 (2021).
Cheng, H. et al. A new dynamic prediction model for underground mining subsidence based on inverse function of unstable creep. Adv. Civil Eng. 2021, 9922136 (2021).
Ding, X. M. et al. Dynamic prediction of displacement and deformation of any point on mining surface based on B-normal model. Environ. Sci. Pollut. Res. 30, 78569–78597 (2023).
Wang, Z., Dai, H. & Yan, Y. Application of the time function model for dynamic deformation prediction in mining areas under characteristic constraints. Sustainability 15, 14719 (2023).
Zhou, B., Yan, Y. G. & Kang, J. R. Dynamic prediction model for progressive surface subsidence based on MMF time function. Appl. Sci. 13 (14), 8066 (2023).
Xu, J. M., Juan, P. & Zhu, W. B. Movement laws of the overlying strata at the working face ends and their effects on the surface deformation. Minerals 12 (12), 1485 (2022).
Chai, J. et al. Experimental study on distributed optical fiber sensing monitoring for ground surface deformation in extra-thick coal seam mining under ultra-thick conglomerate. Opt. Fiber Technol. 53, 102006. https://doi.org/10.1016/j.yofte.2019.102006 (2019).
Liu, X. R. et al. Modelling surface subsidence of coal mines using a bonded block numerical method. Geomatics Nat. Hazards Risk. 15, 2336017 (2024).
Zhao, J. & Konietzky, H. Numerical analysis and prediction of ground surface movement induced by coal mining and subsequent groundwater flooding. Int. J. Coal Geol. 229, 103565 (2020).
Cheng, G. W. et al. Numerical modelling of strata movement at footwall induced by underground mining. Int. J. Rock Mech. Min. Sci. 108, 142–156 (2018).
Fathi Salmi, E., Nazem, M. & Karakus, M. Numerical analysis of a large landslide induced by coal mining subsidence. Eng. Geol. 217, 141–152 (2017).
STATE Administration of Work Safety (State Administration of Coal Mine Safety). Code for Coal Pillar Retention and Underwater, Building, Railway and Main Shaft Coal Mining [S] (Coal Industry, 2017).
CHINA State Railway Group Co. Ltd. Maintenance Rules for Conventional Railway Lines: TG/GW102-2019 [S] (China Railway Publishing House, 2019).
Niu, S. J. et al. Experimental study of uniaxial creep characteristics of damaged fractured sandstone. Rock. Soil. Mech. 37(5), 1249–1258 (2016).
Li, X. Z., Qu, X. L., Qi, C. Z. & Shao, Z. S. A unified analytical method calculating brittle rocks deformation induced by crack growth. Int. J. Rock Mech. Min. Sci. 113, 134–141 (2019).
Li, X. Z. & Shao, Z. S. Investigation of macroscopic brittle creep failure caused by microcrack growth under step loading and unloading in rocks[J]. Rock Mech. Rock Eng. 49 (7), 2581–2593 (2016).
Li, X. Z., Li, L. J. & Qi, C. Z. A true triaxial compression-induced microcracking model for evaluating short-term progressive and long-term creep failures of brittle rock. Int. J. Rock Mech. Min. Sci. 175, 105669 (2024).
Hou, R. B. et al. A Nonlinear Creep Damage Coupled Model for Rock Considering the Effect of Initial Damage521275–1285 (Rock Mechanics and Rock Engineering, 2019).
Hou, R. B. et al. A new elasto-visco-plastic damage model and numerical simulation method used for time-dependent behavior prediction of deep tunnel. Comput. Geotech. 168, 106129 (2024).
Zhao, Y. L., Zhang, L. Y., Wang, A. S. C. E. M., Wan, W. J. & Ma, W. Separation of elastoviscoplastic strains of rock and a nonlinear creep model. Int. J. Geomech. 18 (1), 04017129 (2018).
Zheng, Z. M., Yang, Y. & Pan, C. A modified creep model for rock considering hardening and damage. Mech. Time-Dependent Mater. 28 (1), 289–301 (2024).
Zhao, Y. L. et al. Creep behavior of intact and cracked limestone under multi-level loading and unloading cycles. Rock Mech. Rock Eng. 50 (6), 1409–1424 (2017).
Hou, R. B. et al. A nonlinear visco-elasto-plastic creep model for sandstone considering creep initiation conditions and experimental verification. Mech. Time-Dependent Mater. 29, 6 (2024).
Wei, Y. & Peng, H. Creep tests and fractional creep damage model of saturated frozen sandstone. Water 17, 2492 (2025).
Li, P. X. et al. Study of probability integration method parameter inversion by the genetic algorithm. Int. J. Min. Sci. Technol. 27 (6), 1073–1079 (2017).
Huang, P. et al. A fractional order viscoelastic-plastic creep model for coal sample considering initial damage accumulation. Alexandria Eng. J. 60 (4), 3921–3930 (2021).
Song, Y. et al. Nonlinear creep model and parameter identification of mudstone based on a modified fractional viscous body. Environ. Geol. 78 (20), 607 (2019).
Niu, S. J. et al. Experimental study on the mechanical properties of short-term creep in post-peak rupture damaged sandstone. Mech. Time-Dependent Mater. 25 (1), 61–83 (2021).
Acknowledgements
This research was funded by the Open-end Research Fund of State Key Laboratory of Intelligent Construction and Healthy Operation and Maintenance of Deep Underground Engineering (No. SDGZK2410).
Funding
This research was funded by the Open-end Research Fund of State Key Laboratory of Intelligent Construction and Healthy Operation and Maintenance of Deep Underground Engineering (No. SDGZK2410).
Author information
Authors and Affiliations
Contributions
Liang Z.Y. wrote the main manuscript text; Yang X. R. contributed to data analysis, experiments and figures preparation; Liu Y.J. and Zhang B.Y. contributed to the conception of the study. All authors reviewed the manuscript.
Corresponding author
Ethics declarations
Competing interests
The authors declare no competing interests.
Additional information
Publisher’s note
Springer Nature remains neutral with regard to jurisdictional claims in published maps and institutional affiliations.
Rights and permissions
Open Access This article is licensed under a Creative Commons Attribution-NonCommercial-NoDerivatives 4.0 International License, which permits any non-commercial use, sharing, distribution and reproduction in any medium or format, as long as you give appropriate credit to the original author(s) and the source, provide a link to the Creative Commons licence, and indicate if you modified the licensed material. You do not have permission under this licence to share adapted material derived from this article or parts of it. The images or other third party material in this article are included in the article’s Creative Commons licence, unless indicated otherwise in a credit line to the material. If material is not included in the article’s Creative Commons licence and your intended use is not permitted by statutory regulation or exceeds the permitted use, you will need to obtain permission directly from the copyright holder. To view a copy of this licence, visit http://creativecommons.org/licenses/by-nc-nd/4.0/.
About this article
Cite this article
Liang, Z., Yang, X., Liu, Y. et al. A prediction method for long-term surface subsidence considering the mining-induced stratum creep effect and its application. Sci Rep 15, 38968 (2025). https://doi.org/10.1038/s41598-025-22801-w
Received:
Accepted:
Published:
Version of record:
DOI: https://doi.org/10.1038/s41598-025-22801-w
















