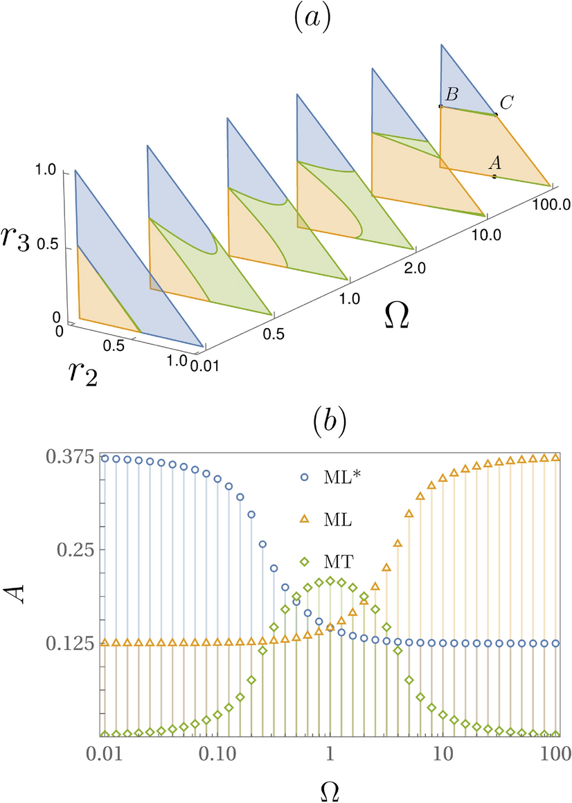
Fig. 4

Panel (a): Regions in the plane \((r_2,r_3)\), at different values of \(\Omega\), colored according to the bound that determines \(\tau _{\text {qsl}}\) (blue: \(\tau _{\text {qsl}}=\tau _{\text {ML*}}\), orange: \(\tau _{\text {qsl}}=\tau _{\text {ML}}\), and green: \(\tau _{\text {qsl}}=\tau _{\text {MT}}\)). Panel (b): Area of each of the three regions of panel (a) as a function of \(\Omega\) (semi-logarithmic scale).