Abstract
The speed of evolution between perfectly distinguishable states is thoroughly analyzed in a closed three-level (qutrit) quantum system. Considering an evolution under an arbitrary time-independent Hamiltonian, we fully characterize the relevant parameters according to whether the corresponding quantum speed limit is given by the Mandelstam-Tamm, the Margolus-Levitin, or the Ness-Alberti-Sagi (dual) bound, thereby elucidating their hierarchy and relative importance. We revisit the necessary and sufficient conditions that guarantee the evolution of the initial state towards an orthogonal one in a finite time, and pay special attention to the full characterization of the speed of evolution, offering a speed map in parameter space that highlights regions associated with faster or slower dynamics. The general analysis is applied to concrete physical settings, particularly a pair of bosons governed by an extended Bose-Hubbard Hamiltonian, and a single particle in a triple-well potential. Our findings provide a framework to explore how the energetic resources and the initial configurations shape the pace of the dynamics in higher-dimensional systems.
Similar content being viewed by others
Introduction
The fundamental limits on the time required for a quantum state to evolve to an orthogonal one have been a subject of intense study, leading to a whole research field known as Quantum Speed Limit (QSL)1,2. In its original context, the QSL determines the minimal time, imposed by the system’s energetic resources, to continuously transit between orthogonal states. It establishes a naturally intrinsic time-scale of the dynamics, characterizes the evolution rate of the system, and stands as a central quantity for many processes in quantum computation.
For pure states \(\left| {\psi }\right\rangle\) evolving under a time-independent Hamiltonian \(\hat{ H }\), three lower bounds have been established that limit the orthogonality time \(\tau\), required to actually reach an orthogonal state. The first bound is based on a time-energy uncertainty relation, rigorously formulated by Mandelstam and Tamm (MT)3, who showed that \(\tau\) is bounded from below by the inverse of the system’s energy dispersion \(\sigma _{\hat{ H }}\), giving rise to the MT bound, \(\tau _{\text {MT}}=\pi \hbar /(2\sigma _{\hat{ H }})\). The second bound was put forward by Margolus and Levitin (ML)4 and is given by \(\tau _{\text {ML}}=\pi \hbar /(2\mathcal E)\). It stands out by exhibiting that the mean energy \(\mathcal E\), referred to the minimal energy \(E_{\min }\) that contributes to \(\left| {\psi }\right\rangle\) (when expressed in the energy representation), determines a lower bound to \(\tau\). More recently, Ness, Alberti and Sagi found a bound, dual to the ML one and given by \(\tau _{\text {ML*}}=\pi \hbar /(2\mathcal E^*)\)5, which restricts the orthogonality time in terms of \(\mathcal E^*\), the mean energy referred to the energy of the highest occupied eigenstate.
The intrinsic limitations on the temporal evolution of quantum systems have been approached from different fronts and extended to different trends1,2,6,7,8,9,10,11,12,13,14. Distinct theoretical frameworks have been introduced for the analysis of the QSL in pure states considering the evolution towards orthogonal states15,16,17, or towards pure states with a given finite fidelity18,19,20,21,22. Important advances on the study of the QSL for mixed states have been obtained23,24,25,26,27,28,29, and similarly for open quantum systems30,31,32,33,34. Further, different quantum speed limits have been introduced for non-Hermitian35,36 and perturbed37 systems. Other generalizations of speed limits consider the speed of evolution of transformation implementations38,39, and of different quantum resources40,41,42,43,44,45.
The experimental verification of the QSL has been challenging and recent progress has been made in this direction. A seminal experimental proposal to measure the QSL in a system of ultracold atoms confined in a time-dependent harmonic trap was presented in Ref. 46 while more recent proposals have realized the QSL in different systems47,48,49.
Despite all the advances achieved in the study of quantum speed limits, the identification of the set of states that actually attain an orthogonal state, along with the states that do it faster, stands as an open and challenging problem that deserves attention10. Indeed, such analysis acquires relevance in determining the specific type of evolution (optical control theory50) and preparation of the states that favor a faster evolution into an orthogonal state. For isolated two-level (qubit) systems, a distinguishable state is attained irrespectively of the time-independent evolution Hamiltonian, provided the initial state decomposes as an equally weighted superposition of two (non-degenerate) energy eigenstates51. In this case the evolution is the fastest one allowed by the QSL. Three-level (qutrit) systems are therefore the simplest ones in which the conditions that guarantee the transit between distinguishable states becomes non-trivial. Qutrit systems constitute a relevant platform for many quantum tasks as in: quantum computation with trapped ions52,53, quantum information transfer54, the implementations of specific quantum channels55,56, and have also been engineered in quantum optical systems57 and in ultracold atom systems58.
A first step for studying the speed of evolution towards a distinguishable state in qutrit systems was initiated in59,60. In Ref. 59 the orthogonality condition was exactly solved considering a (time-independent) Hamiltonian evolution, and a complete characterization of the relevant parameters was advanced. Yet, the analysis involved only the MT and the ML bounds (leaving out the recently found dual bound ML*), and left open the problem of determining the actual speed of evolution between distinguishable states. In the present work we consider all three bounds on equal footing, with the double purpose of: i) fully characterize the QSL by identifying the regions (in the parameters space) in which either bound becomes dominant, and ii) thoroughly analyse the speed of evolution towards an orthogonal state, enabling the identification of the conditions, both on the preparation state and the Hamiltonian spectrum, that distinguish slower from faster states.
In Section "Quantum speed limit" we revisit the notion of quantum speed limit as the unified bound involving the MT, the ML, and the dual bound, and introduce suitable quantities that define the QSL in a qutrit system. Then, in Section "The QSL map of a qutrit system", regions in the parameter space are identified according to the specific bound that determines the QSL, and a map of the QSL in qutrit systems is depicted. In Section "Attaining orthogonality in the qutrit system" we revisit the set of initial states that reach a distinguishable one in a finite time and compute the actual orthogonality time. By comparison of the latter with the corresponding QSL we analyse the speed of evolution in Section "Map of speeds", and construct a comprehensive map of evolution speed across the parameter space, thereby identifying the initial state configurations and the system energetic resources that lead to faster, or slower, evolution. In Section "Analysis of a concrete physical system" we apply the results of our analysis to concrete physical systems, particularly to a pair of bosons considering an extended Bose-Hubbard model.
Quantum speed limit
By consideration of the MT, ML and \(\text {ML}^*\) bounds, the quantum speed limit for a pure state \(\left| {\psi }\right\rangle\) evolving under a time-independent Hamiltonian \(\hat{H}\) is given by the unified generalized bound5
where \(\sigma _{\hat{ H }}=\sqrt{\langle {\hat{ H }^{2}}\rangle -\langle {\hat{ H }}\rangle ^{2}}\), \(\mathcal {E}=\langle {\hat{ H }}\rangle -E_{\min }\), and \(\mathcal {E}^*=E_{\max }-\langle {\hat{ H }}\rangle\), with \(E_{\min (\max )}\) the minimal(maximal) energy that contributes to \(\left| {\psi }\right\rangle\), when the state is expanded in the Hamiltonian eigenbasis.
Clearly the QSL is completely determined by the ratios
in such a way that
The Bhatia-Davis inequality61, namely \(\sigma _{\hat{ H }}^2\le \mathcal {E}\mathcal {E}^*\), can be written straightforwardly in terms of \(\alpha\) and \(\beta\) as \(0\le \alpha \beta \le 1\). The corresponding region in the space \((\alpha ,\beta )\) is depicted in Fig. 1, with the colors indicating the zones in which the QSL is given by either one of the bounds MT, ML or ML*. The star highlights the single point (\(\alpha =\beta =1\)) at which the three bounds coincide, and corresponds to states \(\left| {\psi }\right\rangle\) that decompose as an equally-weighted superposition of only two non-degenerate energy eigenstates51. The dashed line (\(\alpha \beta =1\)) contains the unbalanced superpositions of two non-degenerate energy eigenstates, whence effective qubit states lie along the boundary of the colored regions in Fig. 1. For such systems, only two bounds become relevant, ML and ML*. Therefore, as has been previously pointed out in5, a higher dimensional Hilbert space is required for the three bounds to become non-trivially determined.
In the following sections we will thoroughly explore the map of the QSL in the relevant parameters space, considering the simplest non-trivial scenario, namely a three-level (qutrit) system, which has been realized experimentally in optical and ultracold atoms systems58.
Region in the space \((\alpha ,\beta )\) that is consistent with the Bhatia-Davis inequality decomposes into three (colored) regions, each one delimited according to (3), thus determining the QSL as either one of the bounds \(\tau _{\text {MT}}\), \(\tau _{\text {ML}}\), and \(\tau _{\text {MT*}}\).
\(\alpha\) and \(\beta\) in a qutrit system
The initial qutrit pure state under consideration decomposes as
where \(0\le \varphi _{i}\le 2\pi\), \(0\le r_i\le 1\), \(\sum _{i=1}^{3}r_{i}=1\), and \(\{\left| {E_i}\right\rangle \}\) stands for a set of Hamiltonian eigenstates such that \(\hat{H}\left| {E_{i}}\right\rangle =E_{i}\left| {E_{i}}\right\rangle\). The energy spacing defines the transition frequencies according to \(\omega _{ij}=-\omega _{ji}=(E_i-E_j)/\hbar\). Direct calculation gives
If \(r_j=0\) for some j, the vector (4) becomes an effective two-level state. Similarly, in presence of energy degeneracy such that \(E_j=E_k\) for \(j\ne k\), \(\left| {\psi _0}\right\rangle\) reduces to
with \(\left| {E_{jk}}\right\rangle\) the normalized state
with corresponding energy eigenvalue \(E_j=E_k\). Thus, if degeneracy is present among the states \(\{\left| {E_i}\right\rangle \}\) in Eq. (4) we end up again with an effective qubit state. In such case, Eq. (5) lead to: \(\mathcal {E}=\hbar \omega (1-r_i)\), \(\mathcal {E}^*=\hbar \omega r_i\) and \(\sigma _{\hat{ H }}^2=\hbar ^2\omega ^2 r_i(1-r_i)\), with \(r_i\ne 0,1\) and \(\omega\) the single relevant transition frequency. This verifies that qubits saturate the Bhatia-Davis inequality. Further, for an equally weighted qubit state (\(r_i=\frac{1}{2}\)) we have \(\alpha =\beta = 1\), and the three bounds coincide (star symbol in Fig. 1).
Based on the previous discussion, and with the purpose of analyzing systems with three (non-degenerate) accessible states we will assume, unless otherwise stated, that all three \(\{r_i\}\) are nonzero, and that no degeneracies exist so that \(E_1<E_2<E_3\). In this case, Eq. (5) give (after elimination of \(r_1\) due to the normalization condition)
where we introduced the ratio
that measures the relative energy separation level. Substitution of Eqs. (8) into Eq. (2) gives
We observe that when expressed in terms of the parameters \(\{r_i\}\) and \(\Omega\), the Bhatia-Davis inequality is trivially satisfied, since \(0\le \alpha \beta \le 1\) is equivalent to \(0\le \frac{1}{1+\Omega }\le 1\).
The QSL map of a qutrit system
It is clear from Eqs. (3) and (10) that the bound that determines the QSL depends on both the Hamiltonian (via the relative energy spacing \(\Omega\)), and the initial state (via the probability distribution \(\{r_i\}\)). The set of all triads \((r_1,r_2,r_3)\) that conform a probability distribution lie on the plane \(r_1+r_2+r_3=1\), denoted as \(\mathcal P\) in Fig. 2. Each initial state of the form (4) is thus in correspondence with a point on this plane. The gray shadowed region delimited by the vertices \(A=(\tfrac{1}{2},\tfrac{1}{2},0)\), \(B=(\tfrac{1}{2},0,\tfrac{1}{2})\), and \(C=(0,\tfrac{1}{2},\tfrac{1}{2})\), will be of particular interest below, and is denoted with \(\Pi\). The projections of \(\mathcal {P}\) and \(\Pi\) on the plane \((r_2,r_3)\) are also displayed for future purposes.
All (normalized) initial states \(\left| {\psi _0}\right\rangle\) given by Eq. (4) are mapped to the region \(\mathcal P\), conformed by the points \((r_1,r_2,r_3)\) that define a probability distribution. The projections on the plane \((r_2,r_3)\) are also shown.
In what follows we elucidate the QSL of the states associated to each point in \(\mathcal {P}\), given a class of Hamiltonians determined by \(\Omega\).
Edges of \(\Pi\)
We start considering the points along the edges of \(\Pi\), parametrized according to:
a. Points along the edge \(\overline{AB}\) give
and
Therefore \(\beta<1<\alpha\) for all \(\Omega\), and from Eq. (3) it follows that
b. Points along the edge \(\overline{BC}\) correspond to
and
hence \(\alpha<1<\beta\) for all \(\Omega\), and Eq. (3) imply that
c. Points along the edge \(\overline{CA}\) correspond to
and
As argued in the Information, the quantum speed limit along the edge \(\overline{CA}\) is thus given by:
Figure 3 shows the three different regions in the space \((\Omega ,r_3=\frac{1}{2}-r)\), according to the bound that gives the QSL in line with Eq. (17). We observe that for \(\Omega <1\) only the ML* and the MT bounds become relevant. In the equally-spaced case, with \(\Omega =1\), the quantum speed limit is always given by \(\tau _{\text {MT}}\), whereas for \(\Omega >1\) either the MT or the ML bound dominates. For \(\Omega \rightarrow 0\) the QSL is given by \(\tau _{\text {ML*}}\), while it is given by \(\tau _{\text {ML}}\) for \(\Omega \rightarrow \infty\).
Region \(\mathcal P\)
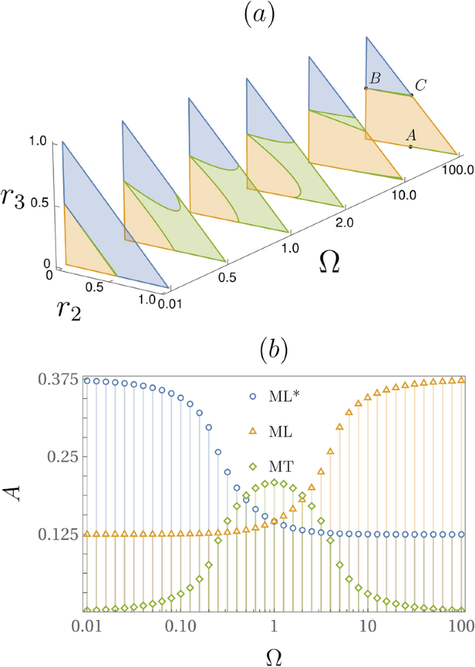
As for the rest of points conforming the set \(\mathcal P\), we resort to Eqs. (3) and (10) to determine the regions in the space \((r_2,r_3)\) in which \(\tau _{\text {qsl}}\) is determined either by \(\tau _{\text {ML}}\) (orange), \(\tau _{\text {MT}}\) (green), or \(\tau _{\text {ML*}}\) (blue). Such regions are connected sets and are continuously transformed as a function of \(\Omega\), as shown in Fig. 4(a).
At the extreme values \(\Omega \rightarrow 0\) and \(\Omega \rightarrow \infty\), \(\mathcal {P}\) is divided into two simply connected regions separated by \(\overline{AB}\) in the first case, and by \(\overline{BC}\) in the second one, and the QSL is given either by the ML or the ML* bound. These limiting situations correspond to an energy degeneracy: For \(\Omega =(\omega _{32}/\omega _{21})\rightarrow 0\) the system tends to the degenerate case \(E_2=E_3\) , whereas for \(\Omega \rightarrow \infty\) the effective degeneracy is \(E_1=E_2\). In these cases, as discussed above, the state becomes an effective two level system when expressed in the basis of non-degenerate energy eigenstates. These states saturate the Bhatia-Davis inequality, thus lie along the dashed line in Fig. 1.
Panel (a): Regions in the plane \((r_2,r_3)\), at different values of \(\Omega\), colored according to the bound that determines \(\tau _{\text {qsl}}\) (blue: \(\tau _{\text {qsl}}=\tau _{\text {ML*}}\), orange: \(\tau _{\text {qsl}}=\tau _{\text {ML}}\), and green: \(\tau _{\text {qsl}}=\tau _{\text {MT}}\)). Panel (b): Area of each of the three regions of panel (a) as a function of \(\Omega\) (semi-logarithmic scale).
For intermediate values of \(\Omega\), the (green) area where the QSL is given by the MT is non-negligible. As \(\Omega \rightarrow 1\), this region and the orange one (ML) grow at the expenses of the blue (ML*) area. At \(\Omega =1\) the MT region reaches its maximum extension, approximately given by 0.20833, and starts to diminish monotonically for \(\Omega >1\), while the ML area keeps growing until it reaches 3/4 of the total size of \(\mathcal {P}\). Figure 4(b) shows the area of the three regions as a function of \(\Omega\) (in logarithmic scale), thus verifying that indeed the equidistant-energy-level case (\(\Omega =1\)) gives the largest area for MT. Notice that areas for ML* and ML vary symmetrically with respect to the value \(\Omega =1\).
Attaining orthogonality in the qutrit system
An initial state (4) reaches an orthogonal one in a finite time \(\tau\), only if certain conditions among the transitions frequencies \(\omega _{ij}\) and the probability distribution \(\{r_i\}\) are met. The analysis of such general and sufficient conditions has been advanced in Ref.59 and are revisited here for completeness, but now resorting to elementary geometrical reasonings. In addition, knowing the orthogonality times is useful for many information tasks, so the determination of such times in terms of the relevant parameters is desirable.
After a time t, the initial state \(\left| {\psi _0}\right\rangle\) evolves into
and attains an orthogonal (perfectly distinguishable) state at time \(t=\tau\) provided
This orthogonality condition is equivalent to the vector equation
where \(\varvec{r}_i\) is a vector in \(\mathbb R_2\) defined as \(\varvec{r}_i(t)=r_i(\cos \omega _{i1}t,\sin \omega _{i1}t)\). Equation (20) states that an orthogonal state is reached at time \(\tau\) provided the three vectors \(\varvec{r}_i(\tau )\) form the edges of a triangle of sides \(r_1\), \(r_2\) and \(r_3\), as depicted in Fig. 5.
Triangle formed by the three vectors \(\varvec{r}_i(\tau )\) satisfying the condition (20), indicating that an orthogonal state has been reached.
From this simple geometric representation it follows that for the vectors \(\varvec{r}_i(\tau )\) to form a triangle, it is necessary that the lengths \(r_1,r_2,r_3\) comply with the triangle inequality, \(r_i\le r_j+r_k\). This constriction, together with the normalization condition \(\sum _ir_i=1\), imply that for the triangle to be actually formed, it must necessarily hold that \(r_i\le r_j+r_k=1-r_i\), so
for all i. Points lying outside the region \(\Pi\) in Fig. 2 do not comply with this condition, whence we conclude that any initial state that is mapped outside the \(\Pi\) region will not attain an orthogonal state, irrespective of the Hamiltonian.
A second conclusion that ensues from purely geometric considerations is that initial states that are mapped into points inside the region \(\Pi\) [satisfying equation (21)] can reach an orthogonal state only for specific Hamiltonians. Indeed, once such initial state is determined, the length of the triangle sides is fixed. Thus, it is readily seen from Fig. (5) that the orthogonality condition can only hold for some time \(\tau\), provided that the angles \(\theta _{ij}(\tau )\) between pairs of vectors \(\varvec{r}_i(\tau ),\varvec{r}_j(\tau )\) add up to \(\pi\). The fact that the angles \(\theta _{ij}(\tau )\) [in Fig. 5: \(\theta _{12}(\tau )=a\), \(\theta _{23}(\tau )=b\), \(\theta _{31}(\tau )=c\)] depend on the transition frequencies \(\omega _{ij}\) (the relative angular velocity at which each vector rotates), makes evident that only for certain values of such frequencies, i.e., only for specific Hamiltonians, the orthogonality condition can be satisfied. This observation will be rigorously stated below.
The orthogonality condition (19) allows for many (in fact infinite) solutions for \(\tau\), so the system evolves between orthogonal states recurrently. We will refer to the time it takes the state to transform into an orthogonal state for the first time as the first orthogonality time, defined as \(\tau _{1}=\min \{\tau \,|\,\langle {\psi (\tau )}|{\psi (0)}\rangle =0\}\).
By inspection of Fig. 5, the internal angles of the triangle are given in terms of \(\tau _1\) and the transition frequencies as follows
The well-known relations between the internal angles of a triangle and its sides relate \(\omega _{21}\), \(\omega _{32}\) and \(\tau _1\) with the coefficients \(\{r_i\}\) according to:
Orthogonality times
As we have just seen, whether an initial state represented by a point in the \(\Pi\) region in Fig. 2 attains or not an orthogonal state will depend on the specific Hamiltonian via the transition frequencies, \(\omega _{21}\), \(\omega _{32}\), since these must satisfy Eq. (22) consistently with Eq. (23) (see also Eq. (27) below). Now, when the necessary conditions for evolving towards an orthogonal state are met, a fundamental question is to determine the precise time at which this occurs. In what follows we briefly review the resulting orthogonality times in different regions of the \(\Pi\) region, previously reported in59.
In59 it was verified that the vertices A, B and C, corresponding each to an equally weighted qubit state, reach an orthogonal state for all Hamiltonians (i.e., irrespective of \(\{\omega _{ij}\}\)). These states are also the fastest, complying with \(\tau _1=\tau _\text {qsl}=\tau _\text {ML}=\tau _\text {ML*}=\tau _\text {MT}\)51. The orthogonality times of states represented by these vertices are
with \(l=0,1,\dots\), and \(\omega\) the frequency connecting the two energy eigenstates contributing to \(\left| {\psi }\right\rangle\). The last equation indicates that the system visits the orthogonal state at odd multiples of \(\tau _1\).
In was also demonstrated in59 that points along the edges \(\overline{AB}\), \(\overline{BC}\) and \(\overline{CA}\) correspond to states that reach an orthogonal one provided the transition frequencies are commensurable. Specifically, orthogonality is reached whenever
with n, m positive integers such that: \(n=2(l'+1)\) and \(m=2l+1\) for the segment \(\overline{AB}\); \(n=2l'+1\) and \(m=2(l+1)\) for the segment \(\overline{BC}\); \(n=2l'+1\) and \(m=2l+1\) for the segment \(\overline{CA}\), with \(l,l'=0,1,\dots \). The orthogonality times in all cases are
For the points inside the region \(\Pi \) in Fig. 2, the orthogonality time, the probabilities \(\{r_i\}\) and the energy-level separations are related in a more involved way. Their relation is determined by the law of sines applied to the triangle in Fig. 5, namely
which gives59
where the indices (i, j, k) are taken in a cyclic permutation of (1, 2, 3). In this case, orthogonality is reached for a very particular Hamiltonian (or set \(\{\omega _{ij}\}\)) once the initial state (the point \((r_1,r_2,r_3)\)) is fixed. Similarly, for a given Hamiltonian, a point \((r_1,r_2,r_3)\in \Pi \) can be found such that an orthogonal state is attained at some \(\tau \).
Equation (28) is, however, not useful for determining the first orthogonality time, \(\tau _1\). The latter can be obtained by combining Eqs. (22) and (23), which give, after elimination of \(r_1\):
For a given Hamiltonian (fixed \(\omega _{21}\) and \(\Omega\)), the above expressions establish a system of equations [from the third line in (22) it follows that only two of the equations in (29) are independent] whose solutions \(r_2,r_3\) determine a curve on the projected region \(\Pi\), representing the initial states that evolve towards a distinguishable one at \(t=\tau _1\). Below we show such curves for different values of the transition frequencies.
Map of speeds
Having identified the quantum speed limit and the first orthogonality time in the different regions of the parameter space, we now proceed to analyze the speed of evolution of qutrit systems that evolve into distinguishable states. With that purpose we focus on the ratio
This figure of merit quantifies the (dimensionless) speed of evolution by comparison of the speed at which a first orthogonal state is reached (as measured by \(\tau ^{-1}_{1}\)), relative to the maximum speed permitted by the quantum speed limit (as measured by \(\tau ^{-1}_{\text {qsl}}\)). Since \(\tau _{1}\) is bounded according to \(0<\tau _{\text {qsl}}\le \tau _{1}\), s lies in the interval (0, 1]. In line with the definition of s, a system state is said to evolve faster (or to have a higher speed of evolution) if the time it takes to firstly reach an orthogonal state is closer to the minimal possible time \(\tau _{\text {qsl}}\), determined by the system’s own energetic resources. The fastest evolution, for which orthogonality is attained in the least possible time, corresponds to \(\tau _{1}=\tau _{\text {qsl}}\) and \(s=1\), whereas the slowest evolution occurs when the initial state does not transform into an orthogonal one at all, so \(\tau _{1}\rightarrow \infty\), resulting in \(s\rightarrow 0\).
As stated above, for initial states mapped into the vertices A, B and C it holds that \(s=1\). The speed of any other point in the region \(\Pi\) (containing the points that can reach an orthogonal state in finite time) will be analyzed in what follows.
Speed along the edges
a. For points along the edge \(\overline{AB}\), we resort to Eq. (26) to determine \(\tau _1\), and to Eq. (13) giving the QSL along this edge, and obtain
where the discreteness of \(\Omega\) ensues from the restrictions on n and m that guarantee the orthogonality, discussed below Eq. (25). The speed (31) is a decreasing function of \(r\in (0,\frac{1}{2})\), and is bounded as
This implies that for initial states mapped into the segment \(\overline{AB}\), the fastest configuration corresponds to Hamiltonians such that \(\Omega =2\), with speeds \(s\in (\tfrac{1}{3},1)\) [see Fig. 6(a)].
Speed towards orthogonality of points (states) lying along the edges \(\overline{AB}\) (panel a), \(\overline{BC}\) (panel b), and \(\overline{CA}\) (panel c). Solid lines correspond to \(\tau _{\text {qsl}}=\tau _{\text {ML}}\), dashed lines to \(\tau _{\text {qsl}}=\tau _{\text {ML*}}\), and dotted lines to \(\tau _{\text {qsl}}=\tau _{\text {MT}}\).
b. Analogously, for points along the edge \(\overline{BC}\), Eqs. (26) and (15) result in
where again the restriction on \(\Omega\) ensues from Eq. (25) and the conditions established just below it. Now s is an increasing function of r, bounded as
The optimal \(\Omega\), the one that gives the highest speed along the segment \(\overline{BC}\), is thus \(\Omega =1/2\). This gives \(\tfrac{1}{3}<s<1\), as in the previous case [see Fig. 6(b)].
c. For points along the edge \(\overline{CA}\), Eq. (26) gives \(\tau _1=\pi /\omega _{21}\), provided \(\Omega =1,3,5,\dots\). From here and resorting to Eq. (17) we see that the quantum speed limit is either given by \(\tau _{\text {MT}}\) or \(\tau _{\text {ML}}\), but never by \(\tau _{\text {ML*}}\). The relative evolution speed is thus given by
In this case s reaches its maximum value (\(s=1\)) as r approaches \(\frac{1}{2}\) regardless of \(\Omega\), and attains the minimal value of \(s = \frac{1}{\sqrt{1+\Omega ^2}}\) at \(r = \frac{1}{2(1+\Omega )}\). Therefore, the fastest configuration along this segment correspond to \(\Omega = 1\), giving \(\frac{1}{\sqrt{2}}< s < 1\) [see Fig. 6(c)].
In Fig. 6 the speed s for each of the edges is shown as r is varied in the interval \((0,\frac{1}{2})\), for different values of \(\Omega\). Solid, dashed and dotted lines indicate that the corresponding QSL is given by \(\tau _{\text {ML}}\), \(\tau _{\text {ML*}}\), and \(\tau _{\text {MT}}\), respectively. Recall that for all vertices it holds \(s=1\), so the curves in Fig. 6 have a discontinuity at the points indicating the vertices B and C.
Speed within the region \(\Pi\)
In order to compute \(s=\tau _{\text {qsl}}/\tau _1\) for points inside the central triangle \(\Pi\) in Fig. 2, we need to identify \(\tau _{\text {qsl}}\) with either one of the bounds ML, MT, or ML*, for each point in \(\Pi\). To this aim, we make the following
Assertion
The quantum speed limit for states with \(r_i<1/2\) that do reach orthogonality is always given by \(\tau _{\text {MT}}\).
To prove this, we resort to Eq. (28) to write the solutions \(r_i\) in terms of \(\Omega\) and the dimensionless first orthogonality time \(\tilde{\tau }_1\equiv \omega _{21}\tau _1\), obtaining
and \(r_1=1-r_2-r_3\).
Further, imposing the condition that all a, b and c in Eq. (22) lie between 0 and \(\pi\) gives the following equations: \(0<\tilde{\tau }_1<\pi\), \(0<\tilde{\tau }_1<\frac{\pi }{\Omega }\), and \(\frac{\pi }{1+\Omega }<\tilde{\tau }_1<\frac{2\pi }{1+\Omega }\). This leads directly to
In the allowed interval for \(\tilde{\tau }_1\) it can be verified that \(\alpha\) and \(\beta\) in Eq. (10), with \(r_2,r_3\) given by (36), are both less than unity, whence \(\tau _{\text {qsl}}=\tau _{\text {MT}}\). \(\blacksquare\)
This means, in particular, that if a point in \(\Pi\) reaches orthogonality, then it must be found in the (green) region dominated by the MT bound in Fig. 4(a).
Now that we have identified \(\tau _{\text {qsl}}=\tau _{\text {MT}}\) for points in \(\Pi\) attaining an orthogonal state, we can determine the speed of evolution (30). The quantum speed limit \(\tau _\text {MT}=\pi \hbar /2\sigma _{\hat{H}}\) is directly computed from Eq. (5b) with \(\{r_i\}\) determined by (29); then s is obtained resorting to any of the (equivalent) expressions for \(\tau _1\) in (29). From the numerical solution of equations (29) we find that:
Assertion
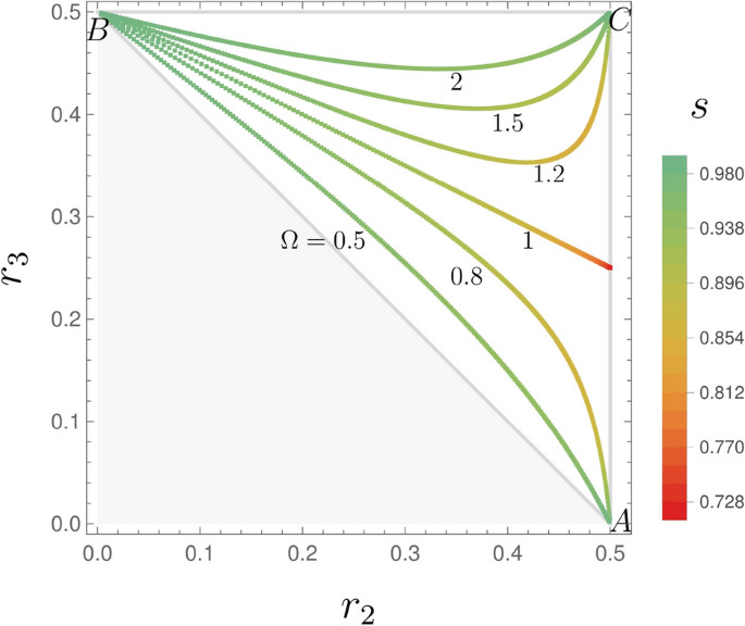
For a given \(\Omega\), the set of solutions \(\{r_i\}\) of Eq. (29) draws a curve within the region \(\Pi\) that goes from a vicinity of vertex B towards a vicinity of vertex A whenever \(\Omega <1\), and towards vertex C whenever \(\Omega >1\). For \(\Omega =1\) the curve ends at \((\frac{1}{4},\frac{1}{2},\frac{1}{4})\), the middle point of the edge \(\overline{CA}\).
Figure 7 depicts the resulting speed s (color scale) along the curves consistent with the orthogonality condition [points \((r_2,r_3)\) that solve Eq. (29)], for different values of \(\Omega\).
For fixed \(\Omega\) (here we considered the values 0.5, 0.8, 1, 1.2, 1.5 and 2) the points in the space \((r_2,r_3)\) corresponding to distributions \(\{r_i\}\) that reach an orthogonal state in a finite time are displayed. The color scale indicates the associated speed s, given by Eq. (30).
We observe that in line with the above assertion, for arbitrary \(\Omega <1\) there exists a family of initial states that transform into an orthogonal one in a finite time, and continuously connect the qubit state \(\left| {q_{B}}\right\rangle =\tfrac{1}{\sqrt{2}}(\left| {E_1}\right\rangle +e^{\text {i}\varphi _3}\left| {E_3}\right\rangle )\) (corresponding to the vertex B) with the qubit \(\left| {q_{A}}\right\rangle =\tfrac{1}{\sqrt{2}}(\left| {E_1}\right\rangle +e^{\text {i}\varphi _2}\left| {E_2}\right\rangle )\) (corresponding to the vertex A). Analogously, for arbitrary \(\Omega >1\) there exists a family of initial states that evolve into an orthogonal one, continuously connecting the qubit states \(\left| {q_{B}}\right\rangle\) and \(\left| {q_{C}}\right\rangle =\tfrac{1}{\sqrt{2}}(\left| {E_2}\right\rangle +e^{\text {i}\varphi _3}\left| {E_3}\right\rangle )\) (corresponding to the vertex C).
Interestingly, the speeds in Fig. 7 are relatively high in general (no less than \(\approx\) 72% of the maximum speed allowed by the QSL).
Analysis of a concrete physical system
The results obtained in the previous sections are now applied to a system of two interacting bosons that can hop between two sites62. The dynamics under consideration is governed by the Hamiltonian
Here \(J>0\) and \(K>0\) denotes the energy due to the transport of one and two bosons, respectively, that transit between the two sites, and \(U>0\) stands for the intensity of the repulsive on-site energy. Further, \(\hat{ a }^\dagger _\mu\) and \(\hat{ a }_\mu\) are the creation and annihilation operators of bosons in site \(\mu =0,1\), and \(\hat{ n }_\mu =\hat{ a }^\dagger _\mu \hat{ a }_\mu\) is the number operator that gives the number of bosons in site \(\mu\).
The system’s Hilbert space has dimension 3, and is spanned by the Fock basis
where \(\left| {n'}\right\rangle _{\mu }\) is the state with \(n'\) particles in the site \(\mu\) (and is eigenstate of the number operator \(\hat{ n }_\mu\)), and \(\left| {\text {vac}}\right\rangle\) is the two-mode vacuum state. The basis (39) reads explicitly
and corresponds to states in which the number of bosons is conserved (so while there are \(n'=0,1,2\) bosons in one site, the other one contains the remaining \(2-n'\) particles).
The Hamiltonian matrix in the basis (40) reads
After direct diagonalization the following (ordered) eigenvalues are obtained:
From here \(\Omega\) can be written explicitly in terms of J, K and U as
The condition \(J^2=2K(U+K)\) indicates a crossing of energy levels (for which \(\Omega =0\)), and divides the surface \(\Omega (J/U,K/U)\) into two regions as shown in Fig. 8, separated by the white line (indicating the condition of vanishing \(\Omega\)). Since, as seen in section "\(\alpha\) and \(\beta\) in a qutrit system", this corresponds to an effective qubit state, we will pay no attention to this case and assume that \(J^2\ne 2K(U+K)\).
The level curves \(\Omega (J/U,K/U)=\Omega _0\) (with \(\Omega _0\) constant) determine the values of J/U and K/U that, together with \(r_2\) and \(r_3\), give rise to maps of QSL according to Fig. 4(a). As has been pointed out there, \(\Omega =1\) separates two distinct physical situations, one for which the ML* or the MT bound specifies the QSL for the majority of states in \(\mathcal {P}\) (\(0<\Omega <1\)), and the other one (\(\Omega >1\)) in which the the role of ML and ML* are symmetrically exchanged. For the particular physical system considered here, the manifold \(\Omega (J/U,K/U)\) defined by Eq. (43) splits into a manifold for which \(0<\Omega <1\) for \(J^2>2K(U+K)\) (rightmost region in Fig. 8), and into another one for which \(\Omega\) is unbounded, when \(J^2<2K(U+K)\) (leftmost region in Fig. 8).
As shown in the previous section, the states that reach an orthogonal one in a finite time are contained either in the set \(\Pi\), each having a QSL given by the MT bound, or on its edges for specific values of \(\Omega\), with different QSL according to the analysis of Sect. "Speed along the edges". Thus, for the rightmost region of Fig. 8 orthogonality can only be reached for points inside the region \(\Pi\) (area contained between the edge \(\overline{AB}\) and the line \(\Omega =1\) in Fig. 7), or along the edge \(\overline{BC}\) provided \(\Omega =1/2\) (with QSL given by \(\tau _{\text {ML*}}\), as seen in Fig. 6(b)). The blue level curve in Fig. 8 indicates the case with \(\Omega =1/2\). Notice that the standard Bose-Hubbard Hamiltonian (corresponding to \(K=0\) and thus trivially located at the rightmost region) leads to \(\Omega =1/2\) whenever \(J=\sqrt{2}U\). Thus, when this condition is met and the initial state has \(r_3=1/2\) (so the associate point lies in \(\overline{BC}\)), the evolution towards an orthogonal state is guaranteed, with the maximal speed \(s=\tau _{\text {ML*}}/\tau _1\) corresponding to the green dashed line in Fig. 6(b).
Relative energy separation level \(\Omega\) [Eq. (9)] as a function of J/U and K/U for the (generalized) Bose-Hubbard Hamiltonian (41). The blue level curve corresponds to \(\Omega =1/2\), the orange one to \(\Omega =1\), and the red one to \(\Omega =2\). These correspond to the values of \(\Omega\) that maximize the speed s along the edges \(\overline{BC}\), \(\overline{CA}\), and \(\overline{AB}\) (see Fig. 6).
For the leftmost region of Fig. 8, \(\Omega\) is unbounded, thus in this manifold the whole set \(\Pi\) in Fig. 7 is available for points \((r_2,r_3)\) to reach orthogonality, as well as points along the edges \(\overline{BC}\), \(\overline{CA}\) and \(\overline{AB}\), provided \(\Omega\) is semi-integer, odd and even, respectively. The corresponding (blue, orange, and red) level curves are shown in Fig. 8.
For \(U=0\) the relative energy separation level \(\Omega (J,K)\) is depicted in Fig. 9. Again two regions appear, depending on whether \(J^2>2K^2\) (rightmost surface) or \(J^2<2K^2\) (leftmost surface), divided by the line \(J^2=2K^2\), for which \(\Omega =0\).
Relative energy separation level \(\Omega\) as a function of J and K for the Hamiltonian (41) with \(U=0\).
In contrast with the case \(U\ne 0\), now \(0\le \Omega \le 1\) for all J, K. Therefore the quantum speed limit for \(U=0\) is either \(\tau _{\text {MT}}\), for points within \(\Pi\), or \(\tau _{\text {ML*}}\), for points along \(\overline{BC}\) provided \(\Omega =1/2\).
For \(U=0\) the matrix (41) takes the form
with \(h_1=-\sqrt{2}J\), and \(h_2=-2K\). The Hamiltonian matrix (44) has an structure that serves also to describe other physical systems, such as a single particle that can hope among the wells of a 3-well potential. The energetic cost of the tunneling is \(h_1\) if the transition connects adjacent wells (\(1\leftrightarrow 2\), or \(2\leftrightarrow 3\)), and \(h_2\) if the transition involves the farthest apart sites (\(1\leftrightarrow 3\)). If the three wells form a ring array and all transitions between first neighbours are equivalent, then \(h_1=h_2\), meaning \(J=\sqrt{2}K\), and the resulting \(\Omega\) vanishes (degenerate case). These last observations show that the previous analysis may be of use in a wide range of physical scenarios.
Final remarks
We have presented a comprehensive analysis of the quantum speed limit in a closed system of three levels that evolves unitarily under an arbitrary time-independent Hamiltonian.
For a fixed ratio of the energy-level separations \(\Omega\), we found the explicit partition of the set of energy-probability distributions \(\{r_i\}\) into the subsets \(\{r_i\}_\text {MT}\), \(\{r_i\}_\text {ML}\) and \(\{r_i\}_\text {ML*}\), whose elements define pure states with quantum speed limit given by the Mandelstam-Tamm, the Margolus-Levitin and by the recently established dual bound, respectively. Such partition induces the color map, depicted in Fig. 4(a), which graphically identifies each of the bounds’ domain, determined by the preparation of the initial states. This finds application, for example, in systems of ultracold atoms, where many parameters can be adjusted to control the initial state as well as the dynamics of the system63.
The role of the probability of the lowest (highest)-energy state in determining the QSL of \(\left| {\psi _0}\right\rangle\) was elucidated for an arbitrary Hamiltonian. When the lowest (highest) energy state is the most probable one, i.e., \(r_1\ge 1/2\) (\(r_3\ge 1/2\)), the ML (ML dual) bound governs the system’s evolution speed. However, the identification of the quantum speed limit is highly non-trivial in the region for which \(r_1<1/2\) (equivalently \(r_2+r_3>1/2\)) and \(r_3<1/2\), since the QSL depends now on \(\Omega\), as shown in Fig. 4(a).
We proved that only for \(r_{1,2,3}<1/2\) (states mapped into the interior of the central triangle \(\Pi\)) orthogonality can be reached in a finite time for an appropriate set of transition frequencies, in which case \(\tau _{\text {qsl}}\) is given by the Mandelstam-Tamm bound. These results provide a criterion to discern whether an initial configuration may result in a transit between distinguishable states and, together with the area distribution in Fig. 4(b), indicate that the number of such configurations increases as the energy levels tend to be equally-spaced. The observation that the Mandelstam-Tamm bound is the dominant one in qutrit systems that reach an orthogonal state, endows \(\tau _\text {MT}\) with a prominent role over the ML and its dual bounds.
For configurations that attain an orthogonal state, we computed a detailed map of the evolution speed, identifying continuously connected families of initial states represented by the curves in Fig. 7, whose orthogonality time is no less than 72\(\%\) of the QSL. The speed of evolution was also elucidated for the edges of \(\Pi\) (see Fig. 6). In this case we found that the speed increases as the relative energy separation level \(\Omega\) decreases.
A qualitative graphical summary of the resulting characterization in the space \((r_1,r_2,r_3)\) is depicted in Fig. 10. The solid magenta lines enclosing the big triangle correspond to effective qubit states. Magenta dots (vertices A, B and C) point out the only qubit states that reach an orthogonal state, irrespective of the Hamiltonian and with the maximal evolution speed (\(s=1\)). Dotted lines, connecting the vertices A, B and C, distinguish states that transform into an orthogonal one only for certain commensurable transition frequencies [see Eq. (25)]. Points lying outside the inner triangle ABC (that defines the region \(\Pi\)) correspond to initial states that do not reach an orthogonal one irrespective of the Hamiltonian, while points inside it may attain orthogonality only for specific values of \(\Omega =\omega _{32}/\omega _{21}\).
The color indicates the quantum speed limit, \(\tau _{\text {qsl}}=\tau _{\text {MT}}\) in the green region, \(\tau _{\text {qsl}}=\tau _{\text {ML}}\) in the orange region, and \(\tau _{\text {qsl}}=\tau _{\text {ML*}}\) in the blue one. The color map changes as the Hamiltonian varies (i.e., is \(\Omega\) dependent) only inside the parallelogram delimited by the vertices A, B, C and the point (0, 1, 0). The QSL map inside this region in Fig. 10 schematizes the case \(\Omega =2\) [see the fourth slice in Fig. 4(a)], and the solid black line represents the set of initial states that evolve towards a distinguishable one for that value of \(\Omega\) [see the upper curve in Fig. 7 for the precise form of the curve and its corresponding speed].
Extensions of the problem considered here to larger systems is of clear interest, since high-dimensional systems provide a larger space to store and process information. An extension of the present geometrical approach in this direction is thus desirable. In brief, the generalization to n dimensions of the region \(\mathcal {P}\) in Fig. 2 corresponds to the \((n-1)\)-dimensional simplex \(\mathcal {P}_n\) [the set of n-tuples \((r_1,\ldots ,r_n)\) that satisfy \(0\le r_i\le 1\) and \(\sum _{i=1}^n r_i=1\)]. We expect that the corresponding generalization of the \(\Pi\) region would correspond to an embedded \((n-1)\)-dimensional manifold containing the n-tuples associated with the states that reach orthogonality in a finite time, given appropriate Hamiltonian parameters, strongly restricted. Regarding the determination of these latter states, the vector equation (20) (directly generalizable to the n-dimensional case), implies that the n vectors \(\varvec{r}_{i}(\tau )\) form a n-sided polygon (irregular in general). This imposes constrains on the values of the \(n-1\) frequencies \(\omega _{i1}\), and consequently on the Hamiltonian for which orthogonality can be attained. For those frequencies that satisfy such constriction, we expect a manifold of dimension \(n-2\) that contains states that eventually evolve into an orthogonal one, for a fixed Hamiltonian. Whether the Mandelstam-Tamm bound continues to dominate over such manifold is a conjecture that deserves future exploration. Indeed, the complete identification of the regions where \(\tau _\text {qsl}\) is determined either by \(\tau _\text {MT}\), \(\tau _\text {ML}\) or \(\tau _{\text {ML}^*}\), is foreseeably highly nontrivial, and will be presented elsewhere.
Our theoretical analysis is general enough and does not depend on the peculiarities of the physical system, thus offering guidance for determining the conditions under which a specific transformation may induce transitions between perfectly distinguishable states. We have made explicit predictions for particular three-level systems amenable to experimental verification: a system of two interacting bosons in two accessible sites, governed by an extended Bose-Hubbard Hamiltonian, and a single particle capable of hopping between wells in a three-well potential. For the former case, we found that the possibility of having two bosons hopping between wells (as opposed to the standard Bose-Hubbard Hamiltonian in which \(K=0\)), broadens the regions in the parameters space in which an evolution towards an orthogonal state is possible, and either one of three the bounds \(\tau _{\text {MT}}, \tau _{\text {ML}}\), and \(\tau _{\text {ML*}}\) can be identified with the quantum speed limit, for appropriate values of the parameters.
In summary, we offered a thorough characterization of the quantum speed limit in qutrit systems, contributing to a deeper understanding of the intrinsic time scales governing quantum unitary evolutions, and of the hierarchy and relevance of the MT, ML and dual bounds. Our approach paves the way for further investigations considering more complex quantum systems, providing a framework to explore how energetic resources and initial state configurations shape the dynamics of quantum evolution.
Data availability
Data is provided within the manuscript.
References
Deffner, S. & Campbell, S. Quantum speed limits: from Heisenberg’s uncertainty principle to optimal quantum control. J. Phys. A: Math. Theor. 50, 453001 (2017).
Frey, M. R. Quantum speed limits–primer, perspectives, and potential future directions. Quantum Inf. Process. 15, 3919–3950 (2016).
Mandelstam, L. & Tamm, I. The Uncertainty Relation Between Energy and Time in Non-relativistic Quantum Mechanics, 115–123 (Springer, Berlin Heidelberg, 1991).
Margolus, N. & Levitin, L. B. The maximum speed of dynamical evolution. Phys. D: Nonlinear Phenom. 120, 188–195 (1998).
Ness, G., Alberti, A. & Sagi, Y. Quantum speed limit for states with a bounded energy spectrum. Phys. Rev. Lett. 129, 140403 (2022).
Pires, D. P., Cianciaruso, M., Céleri, L. C., Adesso, G. & Soares-Pinto, D. O. Generalized geometric quantum speed limits. Phys. Rev. X 6, 021031 (2016).
Okuyama, M. & Ohzeki, M. Quantum speed limit is not quantum. Phys. Rev. Lett. 120, 070402 (2018).
Mohan, B. & Pati, A. K. Quantum speed limits for observables. Phys. Rev. A 106, 042436 (2022).
Wang, Q., Zhu, Z.-R., Zou, J. & Shao, B. Orthogonality catastrophe and the speed of quantum evolution in a qubit-spin-bath system. Commun. Theor. Phys. 74, 115102 (2022).
Zhang, M., Yu, H.-M. & Liu, J. Quantum speed limit for complex dynamics. npj Quantum Inf. 9, 97 (2023).
Wu, W. & An, J.-H. Quantum speed limit from a quantum-state-diffusion method. Phys. Rev. A 108, 012204 (2023).
Johnsson, M. T., van Luijk, L. & Burgarth, D. Exact and lower bounds for the quantum speed limit in finite-dimensional systems. Phys. Rev. A 108, 052403 (2023).
Carabba, N. Quantum Speed Limits to Operator Growth, XV, 137 (Springer Cham, 2024).
Chau, H. F. & Zeng, W. A unifying quantum speed limit for time-independent Hamiltonian evolution. J. Phys. A: Math. Theor. 57, 235304 (2024).
Anandan, J. & Aharonov, Y. Geometry of quantum evolution. Phys. Rev. Lett. 65, 1697 (1990).
Vaidman, L. Minimum time for the evolution to an orthogonal quantum state. Am. J. Phys. 60, 182–183 (1992).
Söderholm, J., Björk, G., Tsegaye, T. & Trifonov, A. States that minimize the evolution time to become an orthogonal state. Phys. Rev. A 59, 1788 (1999).
Giovannetti, V., Lloyd, S. & Maccone, L. Quantum limits to dynamical evolution. Phys. Rev. A 67, 052109 (2003).
Hegde, S. S., Zhang, J. & Suter, D. Toward the speed limit of high-fidelity two-qubit gates. Phys. Rev. Lett. 128, 230502 (2022).
Hörnedal, N. & Sönnerborn, O. Margolus-Levitin quantum speed limit for an arbitrary fidelity. Phys. Rev. Res. 5, 043234 (2023).
Andrzejewski, K., Bolonek-Lasoń, K. & Kosiński, P. Note on the Margolus-Levitin quantum speed limit for arbitrary fidelity. Quantum Inf. Process. 23, 167 (2024).
Osán, T. M., Álvarez, Y., Portesi, M. & Lamberti, P. W. Unifying inequalities bounding quantum speed limits. Preprint at https://arxiv.org/abs/2509.04283 (2025).
Deffner, S. & Lutz, E. Energy–time uncertainty relation for driven quantum systems. J. Phys. A: Math. Theor. 46, 335302 (2013).
Zhang, Y.-J., Han, W., Xia, Y.-J., Cao, J.-P. & Fan, H. Quantum speed limit for arbitrary initial states. Sci. Rep. 4, 4890 (2014).
Mondal, D., Datta, C. & Sazim, S. Quantum coherence sets the quantum speed limit for mixed states. Phys. Lett. A 380, 689 (2016).
Mondal, D. & Pati, A. K. Quantum speed limit for mixed states using an experimentally realizable metric. Phys. Lett. A 380, 1395 (2016).
Campaioli, F., Pollock, F. A., Binder, F. C. & Modi, K. Tightening quantum speed limits for almost all states Phys. Rev. Lett. 120, 060409 (2018).
Hörnedal, N., Allan, D. & Sönnerborn, O. Extensions of the Mandelstam-Tamm quantum speed limit to systems in mixed states. New J. Phys. 24, 055004 (2022).
Bagchi, S., Thakuria, D. & Pati, A. K. Stronger quantum speed limit for mixed quantum states. Entropy 25, 1046 (2023).
Taddei, M. M., Escher, B. M., Davidovich, L. & de Matos Filho, R. L. Quantum speed limit for physical processes. Phys. Rev. Lett. 110, 050402 (2013).
Deffner, S. & Lutz, E. Quantum speed limit for non-Markovian dynamics. Phys. Rev. Lett. 111, 010402 (2013).
del Campo, A., Egusquiza, I. L., Plenio, M. B. & Huelga, S. F. Quantum speed limits in open system dynamics. Phys. Rev. Lett. 110, 050403 (2013).
Sun, Z., Liu, J., Ma, J. & Wang, X. Quantum speed limits in open systems: Non-Markovian dynamics without rotating-wave approximation. Sci. Rep. 5, 8444 (2015).
Campaioli, F., Pollock, F. A. & Modi, K. Tight, robust, and feasible quantum speed limits for open dynamics. Quantum 3, 168 (2019).
Bender, C. M., Brody, D. C., Jones, H. F. & Meister, B. K. Faster than hermitian quantum mechanics. Phys. Rev. Lett. 98, 040403 (2007).
Sun, S., Peng, Y., Hu, X. & Zheng, Y. Quantum speed limit quantified by the changing rate of phase. Phys. Rev. Lett. 127, 100404 (2021).
Yadin, B., Imai, S. & Gühne, O. Quantum speed limit for states and observables of perturbed open systems. Phys. Rev. Lett. 132, 230404 (2024).
Poggi, P. M. Geometric quantum speed limits and short-time accessibility to unitary operations. Phys. Rev. A 99, 042116 (2019).
Farmanian, A. & Karimipour, V. Quantum speed limits for implementation of unitary transformations. Phys. Rev. A 110, 042611 (2024).
Marvian, I., Spekkens, R. W. & Zanardi, P. Quantum speed limits, coherence, and asymmetry. Phys. Rev. A 93, 052331 (2016).
Campaioli, F., Yu, C.-S., Pollock, F. A. & Modi, K. Resource speed limits: maximal rate of resource variation. New J. Phys. 24, 065001 (2022).
Mohan, B., Das, S. & Pati, A. K. Quantum speed limits for information and coherence. New J. Phys. 24, 065003 (2022).
(Anthony) Chen, C.-F., Lucas, A. & Yin, C. Speed limits and locality in many-body quantum dynamics. Rep. Prog. Phys. 86 116001 (2023).
Herb, K. & Degen, C. L. Quantum speed limit in quantum sensing. Phys. Rev. Lett. 133, 210802 (2024).
Naseri, M., Macchiavello, C., Bruß, D., Horodecki, P. & Streltsov, A. Quantum speed limits for change of basis. New J. Phys. 26, 023052 (2024).
del Campo, A. Probing quantum speed limits with ultracold gases. Phys. Rev. Lett. 126, 180603 (2021).
Pires, D. P., deAzevedo, E. R., Soares-Pinto, D. O., Brito, F. & Filgueiras, J. G. Experimental investigation of geometric quantum speed limits in an open quantum system. Commun. Phys. 7, 142 (2024).
Wu, Y. et al. Testing the unified bounds of the quantum speed limit. Phys. Rev. A 110, 042215 (2024).
Zhu, Z. et al. Observation of minimal and maximal speed limits for few and many-body states. Nat. Commun. 16, 1255 (2025).
Caneva, T. et al. Optimal control at the quantum speed limit. Phys. Rev. Lett. 103, 240501 (2009).
Levitin, L. B. & Toffoli, T. Fundamental limit on the rate of quantum dynamics: The unified bound is tight. Phys. Rev. Lett. 103, 160502 (2009).
Klimov, A. B., Guzmán, R., Retamal, J. C. & Saavedra, C. Qutrit quantum computer with trapped ions. Phys. Rev. A 67, 062313 (2003).
Mc Hugh, D. & Twamley, J. Trapped-ion qutrit spin molecule quantum computer. New J. Phys. 7, 174 (2005).
Delgado, A., Saavedra, C. & Retamal, J. Quantum information and entanglement transfer for qutrits. Phys. Lett. A 370, 22 (2007).
Vitanov, N. V. Synthesis of arbitrary SU(3) transformations of atomic qutrits. Phys. Rev. A 85, 032331 (2012).
Yurtalan, M. A., Shi, J., Kononenko, M., Lupascu, A. & Ashhab, S. Implementation of a Walsh-Hadamard gate in a superconducting qutrit. Phys. Rev. Lett. 125, 180504 (2020).
Bogdanov, Y. I. et al. Qutrit state engineering with biphotons. Phys. Rev. Lett. 93, 230503 (2004).
Lindon, J., Tashchilina, A., Cooke, L. W. & LeBlanc, L. J. Complete unitary qutrit control in ultracold atoms. Phys. Rev. Appl. 19, 034089 (2023).
Sevilla, F. J., Valdés-Hernández, A. & Barrios, A. J. The underlying order induced by orthogonality and the quantum speed limit. Quantum Rep. 3, 376–388 (2021).
Khan, F. & Dajka, J. Geometric speed limit of neutrino oscillation. Quantum Inf. Process. 20, 193 (2021).
Bhatia, R. & Davis, C. A better bound on the variance. Am. Math. Mon. 107, 353–357 (2000).
Barrios, A. J., Valdés-Hernández, A. & Sevilla, F. J. Dynamics of mode entanglement induced by particle-tunneling in the extended Bose-Hubbard dimer model. Physica A Stat. Mech. Appl. 600, 127566 (2022).
Gross, C. & Bloch, I. Quantum simulations with ultracold atoms in optical lattices. Science 357, 995–1001 (2017).
Funding
This work was supported by projects UNAM-PAPIIT IN112723 and UNAM-PAPIIT IN112623. J.E.G acknowledges SECIHTI through funding for graduate studies.
Author information
Authors and Affiliations
Contributions
J.E.G: Writing, review & editing, visualization, validation, methodology, investigation, analysis. F.J.S and A.V.H: Writing, review & editing, visualization, validation, methodology, investigation, analysis, conceptualization, supervision, funding acquisition.
Corresponding author
Ethics declarations
Competing interests
The authors declare no competing interests.
Additional information
Publisher’s note
Springer Nature remains neutral with regard to jurisdictional claims in published maps and institutional affiliations.
Supplementary Information
Rights and permissions
Open Access This article is licensed under a Creative Commons Attribution-NonCommercial-NoDerivatives 4.0 International License, which permits any non-commercial use, sharing, distribution and reproduction in any medium or format, as long as you give appropriate credit to the original author(s) and the source, provide a link to the Creative Commons licence, and indicate if you modified the licensed material. You do not have permission under this licence to share adapted material derived from this article or parts of it. The images or other third party material in this article are included in the article’s Creative Commons licence, unless indicated otherwise in a credit line to the material. If material is not included in the article’s Creative Commons licence and your intended use is not permitted by statutory regulation or exceeds the permitted use, you will need to obtain permission directly from the copyright holder. To view a copy of this licence, visit http://creativecommons.org/licenses/by-nc-nd/4.0/.
About this article
Cite this article
Espino-González, J., Sevilla, F.J. & Valdés-Hernández, A. Speed of evolution in qutrit systems. Sci Rep 15, 39623 (2025). https://doi.org/10.1038/s41598-025-23193-7
Received:
Accepted:
Published:
Version of record:
DOI: https://doi.org/10.1038/s41598-025-23193-7












