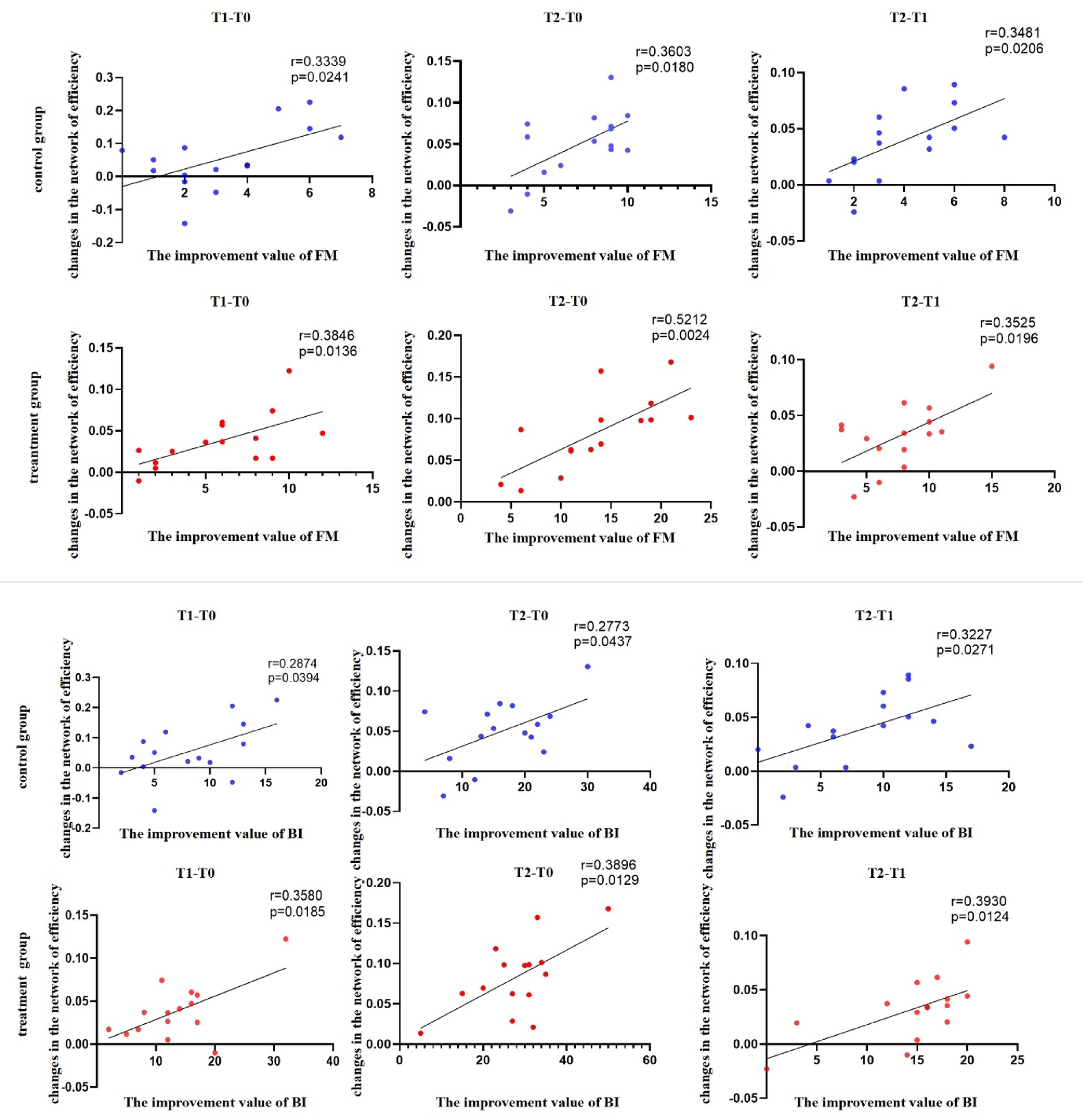
Fig. 5

Correlation between changes in network efficiency and functional improvement values at different time points before and after treatment in the two groups. Correlation between the improvement of Fugl-Meyer upper-limb function score and the improvement value of MBI score and the change in network efficiency.