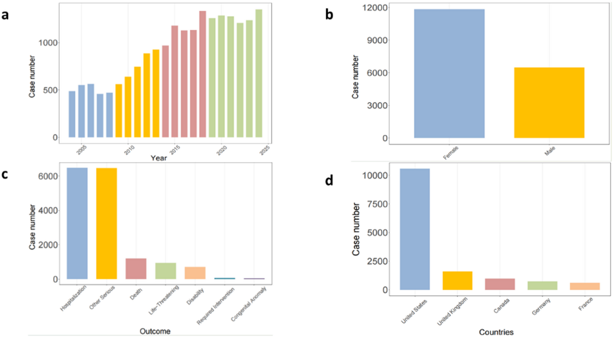
Fig. 2

Relevant information from drug-induced UI reports. (a) Drug-induced UI reports by year; (b) Gender differences in drug-induced UI; (c) Adverse reactions’ outcome with drug-induced UI; (d) Countries reporting drug-induced UI. UI urinary incontinence.