Abstract
Existing research is limited, and evidence suggests that urinary incontinence may be induced by certain medications, highlighting the urgent need for systematic studies. This study uses the reporting odds ratio (ROR) to evaluate the reports of drug-induced urinary incontinence in the FAERS database from the first quarter of 2004 to the fourth quarter of 2024.Univariate analysis, LASSO regression, and multivariate regression analysis were conducted to further explore the risk factors for drug-induced urinary incontinence. Bonferroni correction was applied to the results of the multiple comparisons. Additionally, the Weibull distribution test was used to assess the temporal characteristics of drug-induced urinary incontinence. Multivariate regression analysis ultimately identified 19 medications as independent risk factors for drug-induced urinary incontinence, including neuropsychiatric drugs (13/19), gastrointestinal and metabolic drugs (2/19), musculoskeletal system drugs (2/19), cardiovascular drugs (1/19), and urogenital and sex hormone drugs (1/19). Over half (57.12%) of the cases of drug-induced urinary incontinence occurred within 30 days after the initiation of medication. This study provides important insights for clinicians in preventing drug-induced urinary incontinence. However, future mechanistic studies and randomized controlled trials are needed to further elucidate and validate these findings.
Introduction
The joint report of the joint report from the International Urogynecological Association/International Continence Society defines urinary incontinence as any involuntary leakage of urine1. The global prevalence of urinary incontinence (UI) is estimated to be 8.7%2. In terms of population, more than 421 million people are affected by urinary incontinence, exceeding the total population of the United States (329 million)2. If considered as a country, its population size would rank third in the world, after India and China. With the continuous increase in global life expectancy, the prevalence of urinary incontinence is expected to rise further in the future. In the United States, the number of women with urinary incontinence is projected to increase from 18.3 million in 2010 to 28.4 million in 20503. Urinary incontinence is closely associated with increased levels of depression, reduced sleep quality, impaired sexual function, and decreased work productivity4. Among elderly women, urinary incontinence may not only lead to rejection by family members but also serve as an important factor in the decision to enter a nursing home5. In addition, urinary incontinence imposes a significant economic burden. For example, in Sweden, annual expenditures on urinary incontinence account for approximately 2% of the national healthcare budget6.
The potential causes of urinary incontinence often overlap and include detrusor or pelvic floor muscle dysfunction, abnormalities in the neural control of bladder storage and voiding, and disturbances in the local bladder environment4. Clinically, urinary incontinence is mainly classified into two types: stress urinary incontinence and urgency urinary incontinence4. Stress urinary incontinence refers to the leakage of urine during coughing, sneezing, or physical activities7. Its primary cause is dysfunction of the urethral closure mechanism, which is often associated with the loss of anatomical support structures7. Common risk factors include vaginal delivery, obesity, and repeated increases in intra-abdominal pressure caused by conditions such as chronic constipation, heavy lifting, or strenuous exercise7. Urgency urinary incontinence is characterized by involuntary urine leakage accompanied by a sudden, strong, and difficult-to-control urge to urinate. This type is more common in patients with systemic neurological disorders, such as Parkinson’s disease, multiple sclerosis, and pelvic or spinal cord nerve injuries7. Both stress and urgency urinary incontinence are common and often coexist, a condition referred to as mixed urinary incontinence7. Overflow urinary incontinence is related to incomplete bladder emptying and is frequently observed in patients with anatomical abnormalities such as urethral obstruction7.
Urinary incontinence may also result from iatrogenic factors8. Drugs and their metabolites are excreted in the urine, which can readily affect the lower urinary tract9. The complexity of bladder control mechanisms and the presence of multiple pharmacological receptors contribute to the potential of many drugs to interfere with bladder storage and voiding functions9. Limited studies have suggested a possible association between urinary incontinence and the use of certain medications. For example, α-adrenergic receptor antagonists, antipsychotics, benzodiazepines, antidepressants, hormone replacement therapy, and diuretics8. However, systematic research on drug-induced urinary incontinence remains limited and requires further investigation. The FDA Adverse Event Reporting System (FAERS) is a comprehensive and informative pharmacovigilance database that collects spontaneous reports of adverse drug events related to medical products. As a key tool for drug safety surveillance, FAERS(FDA Adverse Event Reporting System) provides essential data support for epidemiological research on adverse drug reactions and post-marketing monitoring. Based on large-scale real-world data, this study systematically evaluated the occurrence of drug-induced urinary incontinence, providing new scientific evidence and practical insights for its prevention.
Materials and methods
Research design
This study is a retrospective observational pharmacovigilance analysis based on the FAERS database. The study procedures and interpretation of results were conducted with reference to FDA Adverse Event Reporting System (FAERS) Essentials: A Guide to Understanding, Applying, and Interpreting Adverse Event Data Reported to FAERS10. The FAERS database is publicly accessible, and all patient information is anonymized. Therefore, ethical approval and informed consent were not required. The detailed workflow of this study is presented in Fig. 1. All statistical analyses were performed using R software (version 4.3.0).
Data extraction and processing
The FAERS data files consist of seven datasets: demographic and administrative information (DEMO), drug information (DRUG), adverse drug reaction information (REAC), patient outcome information (OUTC), report source information (RPSR), therapy start and end dates for reported drugs (THER), and drug indication information (INDI). Data from the first quarter of 2004 to the fourth quarter of 2024 were downloaded for analysis. Data processing included the removal of duplicate reports and the standardization of adverse event terminology. For reports with the same case identifier (CASEID), only the report with the most recent FDA receipt date (FDA_DT) was retained. If both CASEID and FDA_DT values were identical, the report with the highest PRIMARYID (the unique identifier assigned to each report) was retained. Adverse events were standardized using the MedDRA(Medical Dictionary for Regulatory Activities) dictionary (version 27.1), thereby improving the reliability of statistical analyses. We focused on adverse event reports related to urinary incontinence. At the PT level, the corresponding terms included Urinary Incontinence, Stress Urinary Incontinence, Urge Incontinence, and Mixed Incontinence. Considering the limitations of FAERS, adverse event reports were excluded from the analysis if the indication involved urinary incontinence or diseases that could predispose to incontinence. At the HLT level, the corresponding terms for these diseases included: Myoneurogenic Bladder Disorders, Multiple Sclerosis Acute and Progressive, Urinary Tract Infections, Prostatic Neoplasms and Hypertrophy, Prostatic Neoplasms Malignant, and Prostatic Neoplasms Benign. In addition, reports were excluded from the analysis if the suspected primary drug was indicated for urinary incontinence or related conditions, as determined by reviewing drug labels. In an adverse event report, the listed indications generally provided a comprehensive reflection of the patient’s clinical condition. Drugs associated with the adverse events were assigned different roles: primary suspected drug, secondary suspected drug, concomitant drug, and interacting drug. The primary suspected drug was considered the main focus, whereas the other drugs reflected the patient’s concomitant medication profile.
Statistical analysis
Disproportionality analysis
A 2 × 2 contingency table was constructed (Supplementary Table 1). Disproportionality analysis was performed using the reporting odds ratio (ROR) and 95% confidence interval (CI) to evaluate the association between urinary incontinence and the primary suspected drugs. A risk signal was considered when the ROR and the lower limit of the corresponding 95% CI was > 1, a > 3. The calculation formula is as follows:
P-adjust was the p-value after Fisher’s exact test and Bonferroni correction. Subsequently, the primary suspected drugs that met the positive ROR criteria were classified according to the Anatomical Therapeutic Chemical (ATC) classification system approved by the World Health Organization (WHO)11. For drugs lacking a definitive ATC code, classification was based on the indications and active ingredients listed on their drug labels.
Regression analysis
Reports containing complete patient information on sex, age, and weight were extracted from the FAERS database for the period between the first quarter of 2004 and the fourth quarter of 2024. Reports indicating an age greater than 120 years or a weight exceeding 400 kg were considered outliers and excluded from the analysis. Univariate analyses were conducted for variables meeting the following criteria: a lower bound of the 95% confidence interval of the ROR greater than 1, occurrence frequency exceeding 100 with an adjusted p-value less than 0.01, and the top 10 indications and top 10 concomitant medications by frequency. Variables with p-values less than 0.01 in the univariate analyses were entered into least absolute shrinkage and selection operator (LASSO) regression. Variables selected by the LASSO method, together with patient demographic information (sex, age, and weight), were included as independent variables in multivariate logistic regression analyses to examine potential risk factors for drug-induced urinary incontinence.
Time-to-onset analysis
The time-to-onset (TTO) of Drug-induced UI was defined as the interval between the drug administration start date (START_DT) and the ADE occurrence date (EVENT_DT). Cases with missing dates or with UI onset prior to the start of drug therapy were excluded. In addition, cases with a time-to-onset (TTO) of 0 days were replaced with 0.001 to indicate an almost immediate occurrence. The overall characteristics of TTO were comprehensively assessed using medians, interquartile ranges, and Weibull distribution tests. The Weibull distribution test characterizes the temporal risk pattern of adverse events using the scale parameter (α) and the shape parameter (β). Specifically, when β < 1 and its 95% confidence interval (CI) is also below 1, the risk of adverse events is considered to decrease over time (early failure pattern). Conversely, if β ≈ 1 and the 95% CI includes 1, the risk is considered to remain constant over time (random failure pattern). Finally, if β > 1 and the 95% CI does not include 1, the risk is interpreted as increasing over time (wear-out failure pattern). Cumulative incidence curves were used to illustrate the cumulative probability of drug-induced UI.
Results
Descriptive analysis
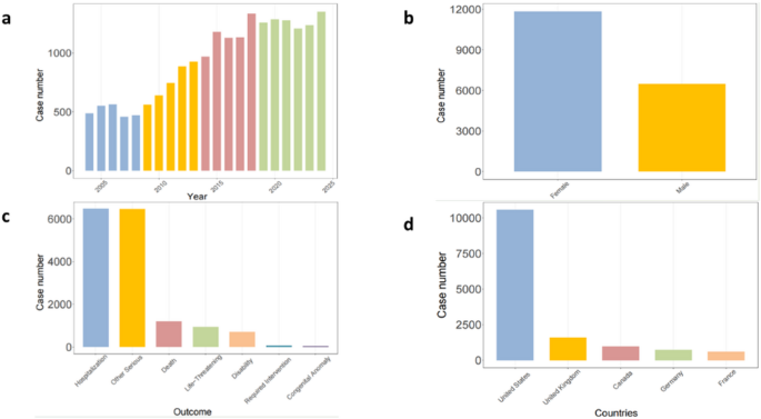
The detailed baseline characteristics of drug-induced urinary incontinence are presented in Table 1; Fig. 2. A total of 19,653 adverse event reports related to urinary incontinence were included in this study. The number of reports showed an overall increasing trend over the years (Fig. 2a). Cases reported by healthcare professionals accounted for the majority (50.63%). More than half of the urinary incontinence cases (53.78%) originated from the United States (Fig. 2d). Notably, female patients accounted for 60.21% of the cases, a higher proportion than that of male patients (32.92%) (Fig. 2b). The median age of these patients was 62 years (IQR 47–73), and the median weight was 73 kg (IQR 61–89). Regarding clinical outcomes, prolonged hospitalization was the most common (32.91%) among patients with urinary incontinence, and 6.14% of the cases resulted in death (Fig. 2c). In terms of indications, urinary incontinence most frequently occurred in patients with osteoporosis, depression, and diabetes (Supplementary Table 2). The most common concomitant medications were acetylsalicylic acid, levothyroxine, and paracetamol (Supplementary Table 3).
Drugs associated with UI
A total of 136 primary suspected drugs met the positive ROR criteria (Supplementary Table 4). These drugs were categorized into 11 classes according to the Anatomical Therapeutic Chemical (ATC) classification system. The top five categories were: drugs for the nervous system (69/136), cardiovascular system (19/136), alimentary tract and metabolism (16/136), antineoplastic and immunomodulating agents (16/136), and musculoskeletal system (5/136).
Risk factors for drug-induced UI
Following univariate analysis and variable selection using LASSO regression (Fig. 3), 19 primary suspected drugs and 6 indications were identified. These variables, together with patients’ sex, age, and body weight, were included in a multivariate logistic regression analysis. The results demonstrated that female patients, older age, higher body weight, and comorbidities such as Parkinson’s disease, seizure, osteoporosis, depression, schizophrenia, or gastroesophageal reflux disease were significantly associated with an increased risk of urinary incontinence (Fig. 4). This study identified 19 drugs as independent risk factors for drug-induced urinary incontinence (Fig. 4). These drugs were categorized into nervous system drugs (13/19), alimentary tract and metabolism drugs (2/19), musculoskeletal system drugs (2/19), cardiovascular system drugs (1/19), and genitourinary system and sex hormone drugs (1/19).
Results of the LASSO regression analysis. (a) Displays the distribution of regression coefficients across a sequence of log(λ) values, with non-zero coefficients corresponding to the optimal λ. (b) The factor selection process of the LASSO regression model. The left dashed line indicates the optimal λ value (λ_min), while the right dashed line represents the λ value within one standard error of the minimum (λ_1se). LASSO, least absolute shrinkage and selection operator.
Time interval between drug use and the onset of UI
A total of 6,059 cases with complete time-to-onset records were included (Table 2). The median latency period for drug-induced urinary incontinence was 15 days (IQR 0.001–159.5), with more than half of the reported cases (57.12%) occurring within one month after treatment initiation (Fig. 5a). The Weibull distribution analysis indicated an early failure pattern (Table 2). The cumulative incidence curve of drug-induced urinary incontinence is shown in Fig. 5b.
Time to onset of drug-induced UI. (a) Illustrates the time-to-onset distribution of drug-induced UI. The Y-axis represents the time to onset, defined as the interval between drug administration and the onset of adverse events. Yellow bars indicate the number of cases, while blue bars represent the percentage of cases within the total. (b) Displays the cumulative incidence of drug-induced UI.
Discussion
We identified several risk factors associated with urinary incontinence using large-scale real-world data from the FAERS database, with particular attention to drug-induced triggers. The number of reported adverse events related to urinary incontinence has shown a consistent upward trend over the years, which not only aligns with the increasing global incidence of urinary incontinence12 but also reflects the gradual improvement of the FAERS database as well as the heightened awareness and reporting activity of healthcare professionals. Although FAERS primarily records drug-induced adverse reactions, their occurrence is also influenced by multiple factors, including demographic characteristics and therapeutic indications. Therefore, these factors were incorporated as confounding variables in our analysis, thereby providing valuable insights for identifying the primary triggers of drug-induced urinary incontinence.
We found significant sex differences in drug-induced urinary incontinence, as female patients were more likely to experience this adverse reaction. This may be related to risk factors unique to women, such as pregnancy and childbirth13. The risk of drug-induced urinary incontinence increased progressively with age. This finding may be explained by age-related alterations in the lower urinary tract, including reduced bladder capacity, impaired detrusor function, and decreased detrusor contractility12, as well as slower drug metabolism in older adults. In this study, an increase in body weight was significantly correlated with drug-induced urinary incontinence. Previous studies have demonstrated that an increase in body weight is closely related to elevated intra-abdominal and venous pressure14, a mechanism that may increase susceptibility to urinary incontinence.
Regarding indications, patients with Parkinson’s disease, seizure, depression, and schizophrenia exhibited a higher risk of urinary incontinence, which is consistent with previous findings15,16,17,18. In addition, we identified two conditions that have received relatively little attention but may be associated with urinary incontinence, namely osteoporosis and gastroesophageal reflux disease (GERD). One study reported that approximately 67% of women with osteoporosis or osteopenia reported symptoms of urinary incontinence19. Another retrospective cohort study demonstrated that women with osteoporosis had 1.69 times the risk of stress urinary incontinence compared with those without osteoporosis20. Researchers speculated that spinal curvature caused by osteoporosis may increase intra-abdominal pressure20, thereby placing additional stress on the pelvic floor muscles. Case reports have also suggested that GERD may contribute to stress urinary incontinence21. Researchers believe that this association may be related to chronic cough induced by GERD, leading to elevated intra-abdominal pressure. However, this association needs to be further validated by large-scale, prospective randomized controlled trials.
While accounting for multiple confounding factors, we identified 19 drugs linked to drug-induced urinary incontinence. Among them, nervous system agents (13/19) were the most frequently implicated, followed by agents targeting the alimentary tract and metabolism (2/19), musculoskeletal system (2/19), cardiovascular system (1/19), and the genitourinary system and sex hormones (1/19).
This study identified six atypical antipsychotics (clozapine, risperidone, aripiprazole, quetiapine, olanzapine, and paliperidone) as risk factors for urinary incontinence associated with medication use. Harrison Woolrych et al. reported that approximately 20% of patients aged 15–64 experienced enuresis while undergoing clozapine therapy22. The incidence of enuresis associated with risperidone (6.2%), olanzapine (9.6%), and quetiapine (6.7%) exceeded the baseline prevalence of nocturnal enuresis in the general adult population (0.5%)22. A recent comparative study demonstrated that, among 100 women treated with antipsychotics (88 of whom received atypical antipsychotics), 29% reported urinary incontinence, compared with 13% in the control group (P < 0.005)23. The mechanisms underlying urinary control are complex, with some pathways potentially disrupted by antipsychotic medications. Anticholinergic effects can suppress detrusor muscle contractions, leading to urinary retention and overflow incontinence, whereas antiadrenergic effects may decrease bladder sphincter tone. For example, clozapine, due to its pronounced anticholinergic properties, is considered a primary cause of urinary retention, overflow incontinence, and nocturnal enuresis24. Risperidone, aripiprazole, and clozapine may contribute to urinary incontinence through the blockade of α1-adrenergic receptors25. In addition, olanzapine and risperidone may also interfere with the pudendal nerve reflex by blocking 5-HT2 and 5-HT3 receptors25, ultimately resulting in loss of bladder control. Another factor of concern is that the sedative effects of antipsychotics and their potential to induce diabetes may further increase the likelihood of incontinence25. Most previous evidence has been limited to isolated case reports or small observational studies, whereas the present study utilized the FAERS database to generate more robust statistical evidence, thereby enriching and extending the existing knowledge base. Urinary incontinence, as a disabling adverse effect that severely compromises adherence and recovery in patients with schizophrenia, highlights the importance of vigilance among clinicians when prescribing atypical antipsychotics.
Multivariate logistic regression analysis identified three antiepileptic drugs (gabapentin, pregabalin, and valproic acid) as independent risk factors for urinary incontinence. Isolated case reports have suggested that gabapentinoids (gabapentin and pregabalin) may induce urinary incontinence26,27. Kibar et al. proposed that gabapentin may cause excessive relaxation of the external sphincter through overstimulation of GABA B receptors26, thereby leading to urinary incontinence. However, a randomized, double-blind, placebo-controlled clinical trial demonstrated that, compared with the tolterodine extended-release and placebo groups, the pregabalin monotherapy group showed significantly greater improvements in mean voided volume (MVV) and urinary frequency28. These agents may reduce detrusor overactivity by inhibiting the release of excitatory neurotransmitters in the spinal cord and brainstem, thereby reducing the activation of C-fibers and Aδ-fibers29. The modulatory effects of gabapentinoids on urinary control are complex and may influence micturition through multiple pathways, sometimes producing paradoxical outcomes and therefore requiring further investigation. Consistent with our findings, previous researchers have also reported that valproic acid has, albeit rarely, been reported to induce urinary incontinence30, possibly by enhancing cholinergic system sensitivity. In conclusion, when treating epilepsy patients presenting with urinary incontinence, clinicians should not only consider disease-related factors but also remain vigilant about possible drug-induced adverse effects.
This study identified two drugs used for the treatment of Alzheimer’s disease, namely memantine and rivastigmine. Memantine is a non-competitive N-methyl-D-aspartate (NMDA) glutamate receptor antagonist that has been approved for the treatment of moderate-to-severe Alzheimer’s disease31. Consistent with the present findings, a placebo-controlled trial conducted by Tariot et al. reported that among patients with moderate-to-severe dementia receiving memantine in combination with donepezil, the incidence of urinary incontinence was higher in the memantine group (5%) than in the placebo group (3%)32. In contrast, in a rat model of detrusor overactivity following spinal cord injury, memantine treatment significantly reduced detrusor pressure (MP)33. Therefore, further randomized controlled trials are warranted to clarify the actual risks and potential benefits of memantine in different clinical contexts. Because muscarinic receptors play a key role in bladder detrusor contraction, rivastigmine, as a cholinesterase inhibitor, may induce or exacerbate urge incontinence. This partly explains our findings. However, an observational study involving 3,358 Dutch patients did not identify a significant association between rivastigmine treatment and the occurrence of urinary incontinence34. In comparison, the present study was based on a larger sample size, which makes its findings more robust. Clinicians should be aware of the potential risk of urinary incontinence when prescribing cholinesterase inhibitors. Moreover, larger prospective randomized controlled trials are needed to validate these findings.
This study identified sertraline as an independent risk factor for urinary incontinence. Previous case reports have described sertraline-induced urinary incontinence; moreover, a large retrospective cohort study found that patients using selective serotonin reuptake inhibitors (SSRIs) had nearly twice the risk of urinary incontinence compared with non-users35. Compared with other SSRIs, sertraline was associated with the highest risk of urinary incontinence35, further supporting the conclusions of this study. Evidence suggests that SSRIs may enhance cholinergic neuromuscular transmission in the detrusor muscle by activating 5-HT4 receptors36. This study also indicated that sodium oxybate may increase the risk of urinary incontinence, which we speculate may be related to muscle relaxation caused by its inhibitory effects on the central nervous system37.
This study also identified a potential risk of urinary incontinence associated with estrogen. A previous large-scale randomized controlled trial demonstrated that estrogen use may increase the risk of urinary incontinence38, which is consistent with our findings. However, a meta-analysis including 28 clinical studies concluded that estrogen exerted a therapeutic effect on urinary incontinence symptoms39. In light of the present findings, we recommend a reevaluation of the preventive use of estrogen in the treatment of urinary incontinence, as it may exacerbate the condition. This phenomenon may be associated with estrogen-induced reductions in collagen surrounding the urethral tissues40.
Two sodium-glucose cotransporter 2 inhibitors (empagliflozin and dapagliflozin) have been identified as independent risk factors for urinary incontinence. Consistent with our study, a recent large-scale observational study found that compared to other antidiabetic drugs, patients using these inhibitors had higher urology referral rates and increased symptoms of urinary incontinence41. Although studies have suggested that these drugs do not exacerbate lower urinary tract symptoms such as urinary frequency, their sample size is limited, with only 72 participants included42. These drugs reduce passive water reabsorption by inhibiting the reabsorption of glucose and sodium43, a mechanism that may partially explain the increased risk of urinary incontinence. Therefore, clinicians should assist patients receiving this treatment in managing lower urinary tract symptoms to ensure treatment adherence and maintain glycemic control.
In this study, amlodipine was also identified as a potential contributor to urinary incontinence. Previous research found that, among 38 male patients, the use of calcium channel blockers significantly aggravated lower urinary tract symptoms44. This effect may be related to bladder relaxation and voiding dysfunction caused by impaired calcium ion channels45. Therefore, clinicians should closely monitor lower urinary tract symptoms when prescribing amlodipine.
Moreover, we found that alendronate and rofecoxib may increase the risk of urinary incontinence, whereas relevant studies have been relatively scarce. We hypothesize that this association may be related to reduced serum calcium concentrations induced by alendronate46. Previous studies have suggested that nonsteroidal anti-inflammatory drugs may aggravate nocturia through mechanisms involving nocturnal fluid redistribution45. To further validate these conclusions, large-scale prospective randomized controlled trials are still required.
Our study found that most cases of drug-induced urinary incontinence were observed within 30 days of treatment initiation (57.12%), indicating that the risk is particularly prominent during the early phase of pharmacological therapy. Therefore, clinicians should place great emphasis on the prompt recognition and management of drug-induced urinary incontinence, particularly in the early stage of treatment.
However, several limitations should be acknowledged in this study. First, as a self-reporting system, FAERS is subject to underreporting, duplicate submissions, and inaccuracies, which may compromise the reliability of subsequent analyses. Second, since frontline healthcare providers are not mandated to report all adverse events to the FDA, the FAERS database may lack complete records of specific events, thereby preventing accurate estimation of the prevalence and incidence of adverse reactions10. Third, the lack of height data precludes BMI calculation, thereby hindering precise classification of normal weight, overweight, and obesity. Fourth, the study failed to distinguish between subtypes of urinary incontinence, thereby reducing the specificity of the findings. Fifth, several adverse event reports lacked key information necessary for assessing causality between drug exposure and adverse events, including the timing of drug administration relative to event onset, comorbidities, concomitant therapies, diagnostic results, clinical progression, and ultimate outcomes10. Therefore, the detected signals should be interpreted as potential associations only. Nevertheless, the present study provides valuable insights into signal detection, and its findings should be validated through large-scale, prospective randomized controlled trials.
Conclusion
This study utilized FAERS data to generate a list of suspected drugs associated with drug-induced urinary incontinence, thereby providing an important reference for the early identification and prevention of this adverse event. Future research should include large-scale, prospective randomized controlled trials and animal studies to validate these findings and elucidate their underlying mechanisms.
Data availability
This study utilized publicly available data from the FDA Adverse Event Reporting System (FAERS). Since it did not involve human participants or direct interaction with individuals, ethical approval was not required. The data can be accessed via the following link: https://fis.fda.gov/extensions/FPD-QDE-FAERS/FPD-QDE-FAERS.html.
References
Haylen, B. T. et al. An international urogynecological association (IUGA)/International continence society (ICS) joint report on the terminology for female pelvic floor dysfunction. Neurourol. Urodyn. 29, 4–20 (2010).
Irwin, D. E. et al. Population-based survey of urinary incontinence, overactive bladder, and other lower urinary tract symptoms in five countries: results of the EPIC study. Eur Urol 50, 1306–1314; discussion 1314–1315 (2006).
Wu, J. M., Hundley, A. F., Fulton, R. G. & Myers, E. R. Forecasting the prevalence of pelvic floor disorders in U.S. Women: 2010 to 2050. Obstet. Gynecol. 114, 1278–1283 (2009).
Aoki, Y. et al. Urinary incontinence in women. Nat. Rev. Dis. Primers. 3, 17042 (2017).
Milsom, I. & Gyhagen, M. The prevalence of urinary incontinence. Climacteric 22, 217–222 (2019).
Ekelund, P., Grimby, A. & Milsom, I. Urinary incontinence. Social and financial costs high. BMJ 306, 1344 (1993).
Lukacz, E. S., Santiago-Lastra, Y., Albo, M. E. & Brubaker, L. Urinary incontinence in women: A review. JAMA 318, 1592–1604 (2017).
Tsakiris, P., Oelke, M. & Michel, M. C. Drug-Induced urinary incontinence. Drugs Aging. 25, 541–549 (2008).
Drake, M. J., Nixon, P. M. & Crew, J. P. Drug-Induced bladder and urinary disorders. Drug-Safety 19, 45–55 (1998).
Potter, E., Reyes, M., Naples, J. & Dal Pan, G. F. D. A. Adverse event reporting system (FAERS) essentials: A guide to Understanding, Applying, and interpreting adverse event data reported to FAERS. Clin. Pharmacol. Ther. 118, 567–582 (2025).
Nantongo, H., Batwaala, V., Nambasa, V. & Mukonzo, J. K. Application of the anatomical chemical system/defined daily doses: challenges and way forward for resource-limited countries. J. Clin. Pharm. Ther. 47, 135–138 (2022).
Batmani, S., Jalali, R., Mohammadi, M. & Bokaee, S. Prevalence and factors related to urinary incontinence in older adults women worldwide: a comprehensive systematic review and meta-analysis of observational studies. BMC Geriatr. 21, 212 (2021).
Bauer, R. M. & Huebner, W. Gender differences in bladder control: from babies to elderly. World J. Urol. 31, 1081–1085 (2013).
Aune, D., Mahamat-Saleh, Y., Norat, T. & Riboli, E. Body mass index, abdominal fatness, weight gain and the risk of urinary incontinence: a systematic review and dose-response meta-analysis of prospective studies. BJOG 126, 1424–1433 (2019).
Steers, W. D. & Lee, K. S. Depression and incontinence. World J. Urol. 19, 351–357 (2001).
Hsu, W. Y., Muo, C. H., Ma, S. P. & Kao, C. H. Association between schizophrenia and urinary incontinence: A population-based study. Psychiatry Res. 248, 35–39 (2017).
Brigo, F. et al. The diagnostic value of urinary incontinence in the differential diagnosis of seizures. Seizure 22, 85–90 (2013).
Li, F. F., Cui, Y. S., Yan, R., Cao, S. S. & Feng, T. Prevalence of lower urinary tract symptoms, urinary incontinence and retention in parkinson’s disease: A systematic review and meta-analysis. Front. Aging Neurosci. 14, 977572 (2022).
Sran, M. M. Prevalence of urinary incontinence in women with osteoporosis. J. Obstet. Gynaecol. Can. 31, 434–439 (2009).
Wei, M. C. et al. Osteoporosis and stress urinary incontinence in women: A National health insurance database study. Int. J. Environ. Res. Public. Health. 17, 4449 (2020).
Chen, J. et al. Treatment of stress incontinence secondary to chronic cough caused by gastric atony: a case report. Digestive Med. Research 5, (2022).
Harrison-Woolrych, M., Skegg, K., Ashton, J., Herbison, P. & Skegg, D. C. G. Nocturnal enuresis in patients taking clozapine, risperidone, olanzapine and quetiapine: comparative cohort study. Br. J. Psychiatry. 199, 140–144 (2011).
Yosef, L. et al. Antipsychotic treatment influence on urinary incontinence in young women-types, severity and life quality. Eur. J. Obstet. Gynecol. Reprod. Biol. 309, 214–218 (2025).
Aronowitz, J. S., Safferman, A. Z. & Lieberman, J. A. Management of clozapine-induced enuresis. Am. J. Psychiatry. 152, 472 (1995).
Arasteh, A., Mostafavi, S., Zununi Vahed, S. & Mostafavi Montazeri, S. S. An association between incontinence and antipsychotic drugs: A systematic review. Biomed. Pharmacother. 142, 112027 (2021).
Kibar, S. et al. Gabapentin-Induced urinary incontinence: A rare side effect in patients with neuropathic pain. Case Rep. Neurol. Med. 341573 2015 (2015).
Hosseini, S. H. Hadinezhad Makrani, A. Urinary incontinence following a single dose of pregabalin: A case report. J. Mazandaran Univ. Med. Sci. 25, 338–342 (2016).
Marencak, J., Cossons, N. H., Darekar, A. & Mills, I. W. Investigation of the clinical efficacy and safety of Pregabalin alone or combined with Tolterodine in female subjects with idiopathic overactive bladder. Neurourol. Urodyn. 30, 75–82 (2011).
Carbone, A. et al. Gabapentin treatment of neurogenic overactive bladder. Clin. Neuropharmacol. 29, 206–214 (2006).
Am, M. & A, U. Day time urinary incontinence due to valproate in a patient with idiopathic generalized tonic clonic seizures. J. Case Rep. 3, 53–55 (2013).
Kavirajan, H. Memantine: a comprehensive review of safety and efficacy. Expert Opin. Drug Saf. 8, 89–109 (2009).
Tariot, P. N. et al. Memantine treatment in patients with moderate to severe alzheimer disease already receiving donepezil: a randomized controlled trial. JAMA 291, 317–324 (2004).
Ozkürkçügil, C., Kömür, O. & Ozkan, L. Effect of memantine on overactive detrusor in rats with spinal cord injury. Kaohsiung J. Med. Sci. 26, 251–255 (2010).
Kröger, E., Van Marum, R., Souverein, P., Carmichael, P. H. & Egberts, T. Treatment with Rivastigmine or galantamine and risk of urinary incontinence: results from a Dutch database study. Pharmacoepidemiol Drug Saf. 24, 276–285 (2015).
Movig, K. L. L., Leufkens, H. G. M., Belitser, S. V., Lenderink, A. W. & Egberts, A. C. G. Selective serotonin reuptake inhibitor-induced urinary incontinence. Pharmacoepidemiol Drug Saf. 11, 271–279 (2002).
Votolato, N. A., Stern, S. & Caputo, R. M. Serotonergic antidepressants and urinary incontinence. Int. Urogynecol. J. Pelvic Floor. Dysfunct. 11, 386–388 (2000).
Robinson, D. M. & Keating, G. M. Sodium oxybate: a review of its use in the management of narcolepsy. CNS Drugs. 21, 337–354 (2007).
Steinauer, J. E. et al. Postmenopausal hormone therapy: does it cause incontinence? Obstet. Gynecol. 106, 940–945 (2005).
Moehrer, B., Hextall, A. & Jackson, S. Oestrogens for urinary incontinence in women. Cochrane Database Syst. Rev. CD001405 https://doi.org/10.1002/14651858.cd001405 (2003).
Hirai, K. & Tsuda, H. Estrogen and urinary incontinence. Int. J. Urol. 16, 45–48 (2009).
Roth, B. J. et al. Associations between Sodium-Glucose Co-transporter 2 inhibitors and urologic diseases: implications for lower urinary tract symptoms from a Multi-State health system analysis. Urology 192, 119–125 (2024).
Semiz, G. G. et al. Do sodium glucose co-transporter-2 (sglt-2) inhibitors affect lower urinary tract, sleep and quality of life in people with type 2 diabetes? JBACHS 8, 660–667 (2024).
Krepostman, N. & Kramer, H. Lower Urinary Tract Symptoms Should Be Queried When Initiating Sodium Glucose Co-Transporter 2 Inhibitors. Kidney360 2, 751–754 (2021).
Hughes, J. D., Coles, M. A. & Joyce, A. Calcium channel blocker associated lower urinary tract symptoms in males: an Australian retrospective observational study. Qual. Prim. Care. 19, 223–231 (2011).
Kashyap, M., Tu, L. M. & Tannenbaum, C. Prevalence of commonly prescribed medications potentially contributing to urinary symptoms in a cohort of older patients seeking care for incontinence. BMC Geriatr. 13, 57 (2013).
Drake, M. T., Clarke, B. L. & Khosla, S. Bisphosphonates: mechanism of action and role in clinical practice. Mayo Clin. Proc. 83, 1032–1045 (2008).
Acknowledgements
The authors express sincere gratitude to the U.S. Food and Drug Administration.
Funding
This research did not receive any specific grant from funding agencies in the public, commercial, or not-for-profit sectors,
Author information
Authors and Affiliations
Contributions
CL, CGW, SSC: designed the work and drafted the manuscript.LQW: revised the manuscript, approved the final version.CL, CGW, and SSC made the same contributions to this manuscript.SSC and LQW contributed equally to this work and share senior authorship.
Corresponding authors
Ethics declarations
Competing interests
The authors declare no competing interests.
Additional information
Publisher’s note
Springer Nature remains neutral with regard to jurisdictional claims in published maps and institutional affiliations.
Supplementary Information
Below is the link to the electronic supplementary material.
Rights and permissions
Open Access This article is licensed under a Creative Commons Attribution-NonCommercial-NoDerivatives 4.0 International License, which permits any non-commercial use, sharing, distribution and reproduction in any medium or format, as long as you give appropriate credit to the original author(s) and the source, provide a link to the Creative Commons licence, and indicate if you modified the licensed material. You do not have permission under this licence to share adapted material derived from this article or parts of it. The images or other third party material in this article are included in the article’s Creative Commons licence, unless indicated otherwise in a credit line to the material. If material is not included in the article’s Creative Commons licence and your intended use is not permitted by statutory regulation or exceeds the permitted use, you will need to obtain permission directly from the copyright holder. To view a copy of this licence, visit http://creativecommons.org/licenses/by-nc-nd/4.0/.
About this article
Cite this article
Li, C., Wu, C., Cai, S. et al. Pharmacovigilance evidence of drug induced urinary incontinence in the FDA adverse event reporting system. Sci Rep 15, 38278 (2025). https://doi.org/10.1038/s41598-025-23379-z
Received:
Accepted:
Published:
Version of record:
DOI: https://doi.org/10.1038/s41598-025-23379-z




