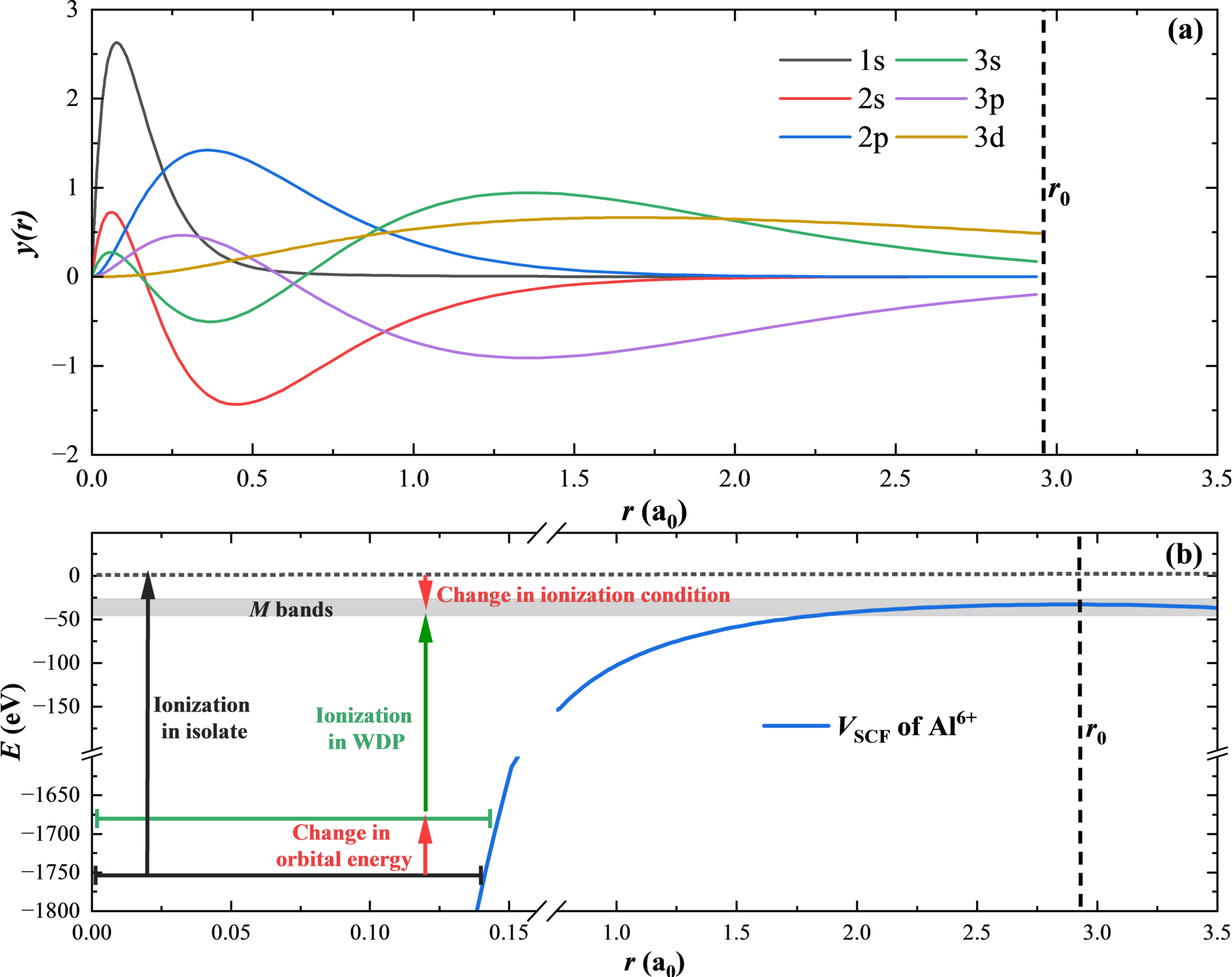
Fig. 3

(a) Radial wave functions y(r) of Al6+ in [1s2s22p33l] configuration with solid density and Te = 100 eV. (b) Schematic diagram of the IPD of Al6+; under such conditions, the IPD includes two parts: the variation in the orbital energy of the 1 s orbital and the change in the ionization conditions.