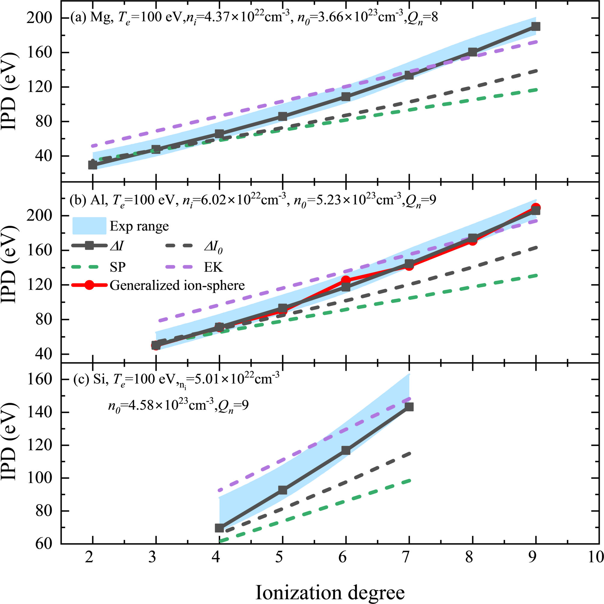
Fig. 4

IPD calculated in the present model and comparison with the LCLS experiment. (a), (b), (c): IPDs of Mg, Al and Si ions with solid density and \({{T}}_{{e}}\text{ = 100 eV}\), respectively. \(\Delta I\) represents the results of the present model, and \(\Delta I_{0}\) represents the results without the influence from neighboring ions in \({{V}}_{{scr}}\) and uses the widely applied “inner-ionization” conditions. For comparison, results from SP, revised EK4 and the recent generalized ion-sphere models41 in the same conditions are presented in the figure..