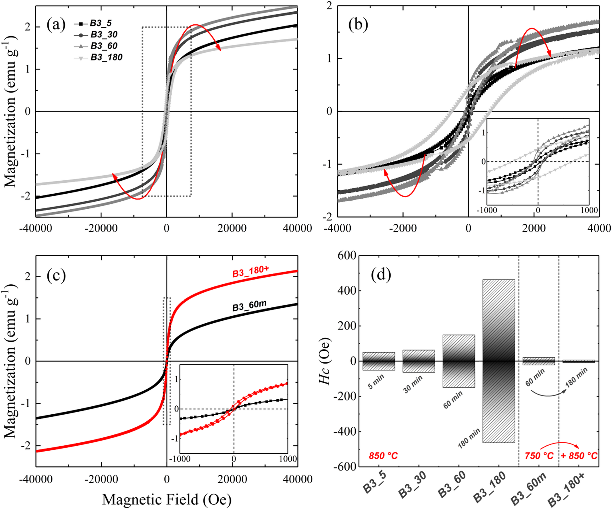
Fig. 8
From: Nanolite cargo evolution in trachybasaltic glass comparing magnetite and augite

Magnetization curves for samples B3_5, B3_30, B3_60 and B3_180 (a,b) while B3_60m and B3_180+ (c,d). Panels (a) and (c) present the magnetization over the full applied field range (−40000 to 40000 Oe). (b) zooms on the central range (−4000 to 4000 Oe) to highlight finer magnetic behavior. Inset in (b) shows paramagnetic-ferromagnetic evolution, that in (c) the superparamagnetic behavior of B3_60m. (d) shows the evolution of Hc as function of annealing time.