Fig. 6
From: Using ensemble learning for classifying artistic styles in traditional Chinese woodcuts

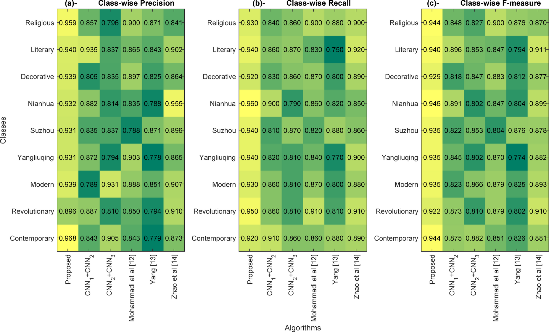
The classification rates obtained for each category: (a) Precision, (b) Recall, and (c) F-Measure metrics.
From: Using ensemble learning for classifying artistic styles in traditional Chinese woodcuts

The classification rates obtained for each category: (a) Precision, (b) Recall, and (c) F-Measure metrics.