Fig. 6
From: Investigation of ZnMgO/µc-Si thin-film solar cell using two-dimensional numerical simulation

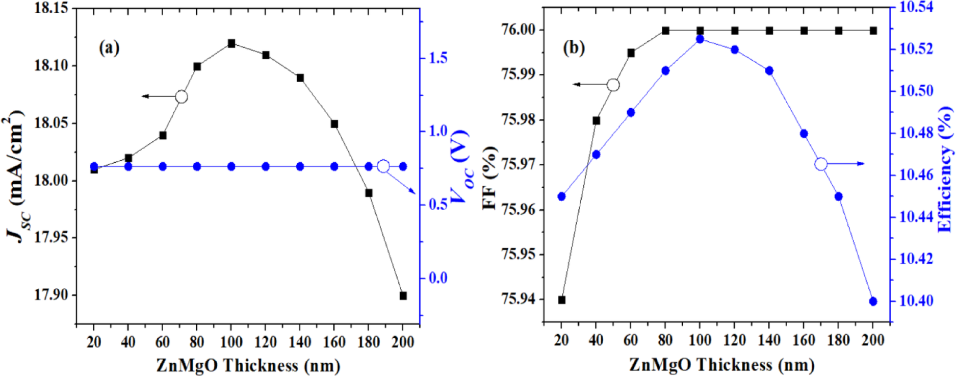
Variations of (a) JSC (VOC) and (b) FF (efficiency) as a function of ZnMgO thickness for 20% Mg concentration of the ZnMgO layer.
From: Investigation of ZnMgO/µc-Si thin-film solar cell using two-dimensional numerical simulation

Variations of (a) JSC (VOC) and (b) FF (efficiency) as a function of ZnMgO thickness for 20% Mg concentration of the ZnMgO layer.