Fig. 8
From: Investigation of ZnMgO/µc-Si thin-film solar cell using two-dimensional numerical simulation

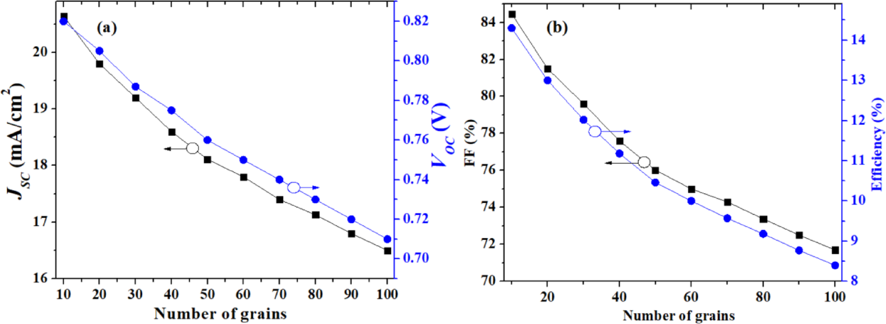
Plots of (a) JSC (VOC) and (b) FF (efficiency) by varying number of grains in the absorber layer for 20% Mg concentration of the ZnMgO layer.
From: Investigation of ZnMgO/µc-Si thin-film solar cell using two-dimensional numerical simulation

Plots of (a) JSC (VOC) and (b) FF (efficiency) by varying number of grains in the absorber layer for 20% Mg concentration of the ZnMgO layer.