Abstract
A novel approach to deriving physical bounds on the time-domain (TD) response of a class of linear time-invariant systems is described. The approach is illustrated on determining the (worst-case) maximum voltage induced along a loaded transmission line (TL), to which previously established TD bounds are not directly applicable. Illustrative numerical examples are presented.
Similar content being viewed by others
Introduction
According to Bode1, Ch. XIII, physical characteristics of a linear time-invariant (LTI) and causal system in the real-frequency domain (FD) are restricted due to analytic properties of its response in the right half of the complex frequency plane. A similar conclusion has been recently drawn for its time-domain (TD) response, thus introducing TD physical bounds on the causal TD response of a LTI system2,3,4. Envisaged applications of the TD bounds are in designing of time-varying electromagnetic (EM) structures (e.g., 5,6,7,8,9) the performance of which can exceed the best achievable one that corresponds to their static counterparts10,11,12.
The TD bounds as summarized in2 have been derived under certain assumptions that limit their application to systems whose real-frequency response satisfies certain sign requirements. Indeed, the real and imaginary parts of the remainder function (see2, Eq. (3) for its definition), as they relate to first-order systems2, passive RLC loads and thin-sheet dielectric/magnetic layers3 – among other notable examples – are strictly either positive or negative along the imaginary axis of complex-frequency plane. This article demonstrates that this property does not hold true for the traveling-wave response on a transmission line (TL), highlighting the need to extend our previous work on the subject2,3. Addressing this gap is the key goal of the present work, in which the proposed extension is both described and illustrated through representative examples.
Problem definition
Throughout this article, t denotes the (real-valued) time coordinate. The Heaviside unit-step function is denoted by \(\textrm{H}(t)\), \(\delta (t)\) denotes the Dirac-delta distribution and \(\delta ^{(1)}(t)\) is its first derivative. The time convolution is denoted by \({*}\) and the time-integration operator is for a causal signal f(t) defined as \(\partial _t^{-1} f(t) = \int _{\tau =0}^tf(\tau )\textrm{d}\tau\).
We shall analyze the response of a loss-free TL of finite length, \(\ell > 0\), that extends along the x-axis (see Fig. 1). The TL consists of perfectly electrically conducting (PEC) thin-wire conductor that is located relatively close to the PEC ground plane. The TL is embedded in free space that is described by (scalar, real-valued and positive) electric permittivity, \(\epsilon _0\), and magnetic permeability, \(\mu _0\). The TL is then specified by its (real-valued and positive) characteristic impedance, \(Z^\textrm{C}\), and wave speed \(c_0 = (\epsilon _0\mu _0)^{-1/2}\).
Specifically, we will derive upper bounds on the space-time voltage distribution, V(x, t), as excited by a causal, impulsive voltage source, \(V_0(t)\). The property of causality is incorporated via a one-sided Laplace transformation, say
where \(s\in \mathbb {C}\) is the complex frequency with \(\Re (s) > 0\), since \(V_0(t)\) is a bounded and causal function of time. The (real-valued and positive) internal resistance of the source is denoted by \(R^\textrm{S}\). The TL is at its far end, \(x = \ell\), terminated by the load impedance that is represented by its (causal) TD impedance operator \(Z^\textrm{L}(t)\) (in (\(\Omega /s\))).
If the load impedance is purely resistive, \(Z^\textrm{L}(t) = R^\textrm{L}\delta (t)\) with \(R^\textrm{L} > 0\) being the (real-valued and positive) load resistance, the (causal) space-time voltage distribution admits a straightforward closed form solution expressible in terms of traveling, voltage-wave constituents13, Ch. 8
where
denote the voltage-type, source and load reflection coefficients, respectively. Since (2) represents merely a superposition of progressively time-shifted and attenuated copies of the excitation pulse shape \(V_0(t)\), we can readily find its upper bound as
where we used the sum of a (convergent) geometric series and \(V_m > 0\) denotes the amplitude of the excitation pulse. In practice, however, the load impedance is rarely purely resistive due to its either dominant or parasitic capacitive or/and inductive behavior. In such circumstances, the TD solution (2) and hence the corresponding bound (4) cease to be valid. This highlights the need for a general framework to derive TD physical bounds on traveling-wave solutions. Section "Problem solution" addresses this by introducing such an approach.
Since the voltage distribution V(x, t) along a TL that is terminated by the causal excitation and passive load is a causal and bounded function of time, we can in part follow the lines of reasoning presented in2,3,4, and derive TD physical bounds using its analytic behavior in the right half of the complex-frequency plane. The procedure is demonstrated for both purely resistive load and for a serial RL load.
Problem solution
In this section, we shall derive upper bounds on the voltage distribution along loaded TLs. For the sake of clarity, the methodology is first illustrated on the resistively loaded TL for which a simple bound is readily achievable (see (4)). Second, the methodology is applied to a TL loaded by a serial RL load, for which an upper bound is not immediately available.
Transmission line with purely resistive load
The s-domain solution that corresponds to (2) can be expressed as
where
Upon extracting the instantaneous response, (5) can be cast into the following form
where \(\Lambda _\infty = \lim _{s\rightarrow \infty }\hat{\Lambda }(s) = 1-\Gamma _1\), and
is an analytic function in \(\Re (s) > 0\) that tends to zero as \(s\rightarrow \infty\) and
It is further noted that both \(\Re [\hat{\Omega }(\mathrm{i} \omega )]\) and \(\Im [\hat{\Omega }(\mathrm{i} \omega )]\) are oscillating functions for \(\omega \in \mathbb {R}\), which violates the necessary conditions for the TD bounds as introduced in Ref. 2. Fig. 2 shows the oscillatory behavior of the real and imaginary parts along \(\{s = \mathrm{i} \omega , -10c_0/\ell \le \omega \le 10c_0/\ell \}\) for \(\Gamma _1 = -2/3\) and \(\Gamma _2 = 3/5\).
This difficulty, however, can be circumvented using the inequality (A6) as presented in Appendix Appendix A. Indeed, as the TD counterpart of (8) is readily available, it can be used to express the corresponding \(\Theta (t)\) (see (A4)) as
which shows that \(|\Theta (t)|\) is a monotonically decreasing function of time. Indeed, the kth constituent of \(\Theta (t)\) can be expressed as \(\Theta (0^+)(\Gamma _1\Gamma _2)^k\) and has a bounded support in \(\{2(k-1)\ell /c_0< t <2k\ell /c_0\}\). Consequently, it has two properties: (a) its amplitude decays and (b) its “time of arrival” increases as k grows. These properties remain valid for any passive internal and load impedances. Consequently, the use of (A6) with (9) leads to the desired bound
In the TD counterpart of (7) we consider the “worst-case” step pulse \(V_0(t) = V_m\textrm{H}(t)\) and get
We can further use \(|1-\Gamma _1\Gamma _2|\ge 1-|\Gamma _1\Gamma _2|\) in (12) and obtain
which gives apparently a \((1+|\Gamma _1\Gamma _2|)\)-times higher bound than (4). Note, for example, that if the resistive load is perfectly matched, i.e., \(\Gamma _2 = 0\), then bounds (4), (12) and (13) give \(|V(x,t)|\le \tfrac{1}{2}V_m(1-\Gamma _1)\). The latter is, in fact, equal to \(V_m Z^\textrm{C}/(R^\textrm{S}+Z^\textrm{C})\), which corresponds to the amplitude of incident voltage pulse traveling from the source to the load. Therefore, if there is non-vanishing load capacitance or/and inductance, all bounds (4), (12) and (13) will fail due to an (unavoidable) reflection against the load. A way out of the difficulty is presented in the ensuing Section "Transmission line with RL load".
Transmission line with RL load
For a series RL load, the TD load impedance operator is given by \(Z^\textrm{L}(t) = R^\textrm{L}\delta (t) + L^\textrm{L}\delta ^{(1)}(t)\), which corresponds to \(\hat{Z}^\textrm{L}(s) = R^\textrm{L} + sL^\textrm{L}\). The pertaining s-domain voltage distribution can be cast into the following form (cf., (7))
where \(\Lambda _\infty = 1-\Gamma _1\) and (cf., (8))
with \(\Gamma _1\) given by (3), while the load reflection coefficient is now given by
Note that at \(s = 0\), we have \(\hat{\Gamma }_2(0) = \Gamma _2\) (see (3)). Both \(\hat{\Omega }^\pm (s)\) are analytic functions in \(\Re (s) > 0\) including its boundary and tend to zero as \(s\rightarrow \infty\). Consequently, their dominant terms around \(s = 0\), i.e.,
can be used to establish the following late-time bounds (cf., (11))
Despite \(\Theta ^{\pm }(t)\) (see (A4)) are not readily achievable in closed form, we have surmised that they share the properties stated below (10). Indeed, in line with (A4), \(\Theta ^{\pm }(t)\) can be found by subtracting \(\partial _t^{-1}\Omega ^\pm (t)\) from their terminal values given by (18) and (19), respectively. The former follows by carrying out the inverse Laplace transform of \(\hat{\Omega }^\pm (s)/s\). This can be done via the term-by-term inversion of the geometric-series expansions of (15) and (16). It is easily seen that each s-dependent term of the series shows a simple pole singularity at \(s = 0\) and a kth-order pole at \(s = -1/\tau\) with \(\tau = L/(R+Z^\textrm{C}) > 0\). Owing to the exponential factor \(\exp (-2ks\ell /c_0)\), the subtraction of the simple-pole (\(s = 0\)) contributions from the terminal value leads to a series of the form (10), while the contributions of the pole at \(s = -1/\tau\) lead to exponential decaying functions proportional to \(\exp [-(t-2k\ell /c_0)/\tau ]\textrm{H}(t-2k\ell /c_0)\). In total, we again obtain monotonically decaying functions as was assumed for establishing (20) and (21). Using these inequalities and following the lines of reasoning of Section "Transmission line with purely resistive load", we end up with (cf., (12))
Note that even if the load resistor is matched to the TL, i.e., \(R^\textrm{L} = Z^\textrm{C}\) and hence \(\Gamma _2 = 0\), we can expect (possibly multiple) reflections due to the non-zero load inductance. In this case, from (22) we obtain \(|V(x,t)| \le 2V_m(1-\Gamma _1)\), which is equal to \(4 V_m Z^\textrm{C}/(R^\textrm{S}+Z^\textrm{C})\).
Illustrative numerical examples
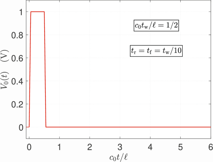
The analyzed TLs will be excited by a symmetrical trapezoidal pulse
where \(V_\textrm{m}\) denotes its amplitude, \(t_\textrm{w}\) is the pulse time width (at half the pulse height), and \(t_\textrm{r}\) is the pulse rise time (= pulse fall time \(t_\textrm{f}\)). In the examples that follow, we take the unit amplitude \(V_\textrm{m} = 1.0\,\textrm{V}\). The pulse time width is taken to be a half of the travel time along the TL, \(c_0t_\textrm{w} = \ell /2\), and, finally, the pulse rise/fall time is a tenth of the pulse time width, i.e., \(t_\textrm{r} = t_\textrm{w}/10\). Fig. 3 shows the excitation pulse shape in the chosen time window of observation \(\{0\le t \le 6\ell /c_0\}\). The internal resistance of the voltage source is \(R^\textrm{S} = 10\,\Omega\) and the characteristic impedance of the analyzed TL is chosen as \(Z^\textrm{C} = 50\,\Omega\). Consequently, the input reflection coefficient is \(\Gamma _1 = -2/3\) (see (3)).
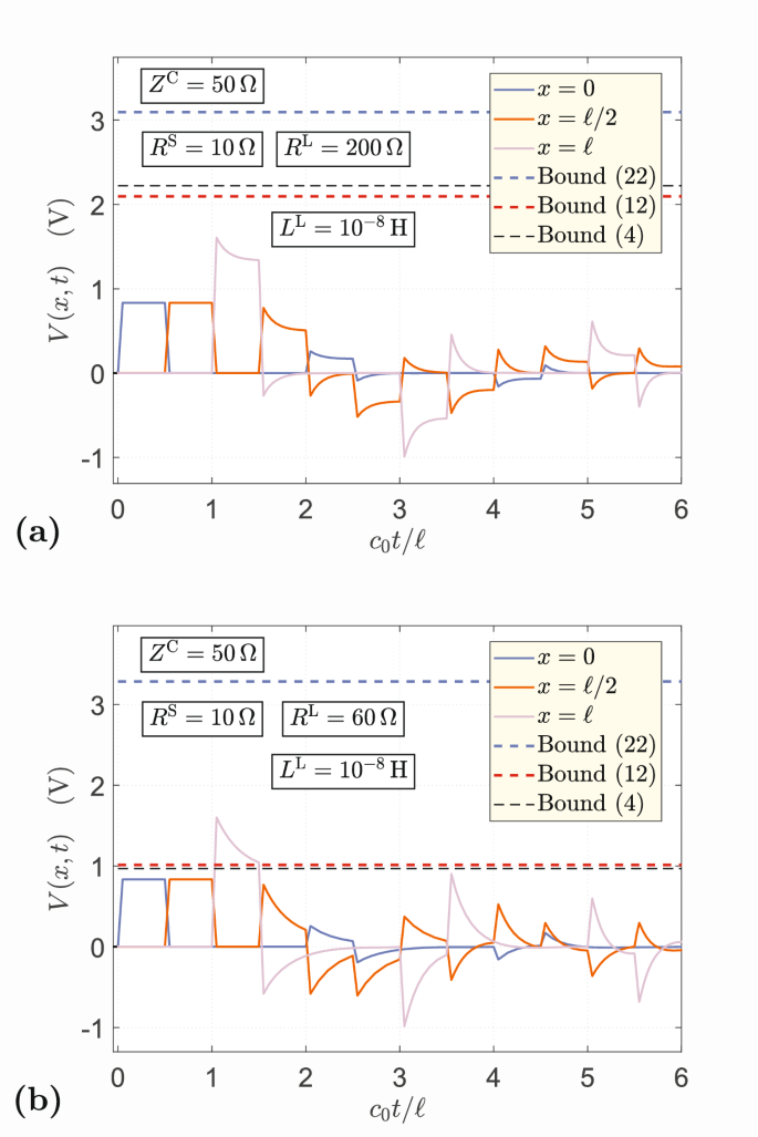
First, the TL is loaded by a resistor of \(R^\textrm{L} = 200\,\Omega\), which leads to \(\Gamma _2 = 3/5\). The corresponding voltage pulse shapes as evaluated at three observation points along the TL at \(x = \{0,\ell /2,\ell \}\) are shown in Fig. 4. As can be seen, all the derived bounds (4), (12) and (13) are greater than |V(x, t)| from Fig. 4. The tightest bound in this case is the one given by (12) that returns the upper limit at about \(2.10\,\textrm{V}\). Next, (4) and (13) lead to approximately \(2.22\,\textrm{V}\) and \(3.11\,\textrm{V}\), respectively.
In the second example, we add a small serial inductance of \(L^\textrm{L} = 10^{-8}\,\textrm{H}\) to the resistor \(R^\textrm{L} = 200\,\Omega\). The other parameters remain the same as in the first example. Fig. 5(a) shows the effect of the additional inductance on the shape of induced voltage. It seen that bounds (4) and (12) applying to a purely resistive load satisfy, in this particular case, the desired inequality, even in a tighter manner than (22). If, however, the load resistance gets closer to the characteristic impedance, both (4) and (12) will fail to predict the upper limit. This is illustrated in Fig. 5(b) that shows the voltage distribution for the RL load with \(R^\textrm{L} = 60\,\Omega\) with \(L^\textrm{L} = 10^{-8}\,\textrm{H}\). Owing to a relatively small static load reflection coefficient, \(\Gamma _2 = 1/11\), both bounds (4) and (12) are relatively close to the voltage amplitude on the perfectly matched TL, \(\tfrac{1}{2}V_m(1-\Gamma _1) = 5/6\,\textrm{V}\). The non-vanishing load inductance, however, gives rise to overshoot exceeding the maximum voltage level on the resistively loaded TL. Equation (22) leads approximately to \(3.29\,\textrm{V}\), which safely bounds the induced voltage response.
Conclusion
We have investigated upper bounds on the space-time voltage distribution induced along a loaded TL. Since this voltage response does not satisfy the conditions required by the previously published TD physical bounds (see 2,3), we have extended the methodology to incorporate TD responses consisting of (a superposition of) causal, traveling wave constituents. Illustrative numerical examples have validated the proposed approach.
Data availability
The data are available upon request at the email address of the first author.
Code availability
The MATLAB routines are available upon request at the email address of the first author.
References
Bode, H. W. Network analysis and feedback amplifier design 10th edn. (D. Van Nostrand Company Inc, New York, NY, 1945).
Štumpf, M. & Nordebo, S. Physical bounds on the time-domain response of a linear time-invariant system. IEEE Signal Process. Lett. 31, 1324–1328 (2024).
Štumpf, M. & Nordebo, S. Time-domain physical limitations on the response of a class of time-invariant systems. IEEE Trans. Antennas Propag. 72(6), 5110–5116 (2024).
Nordebo, S. & Štumpf, M. Time-domain constraints for passive materials: The Brendel-Bormann model revisited. Phys. Rev. B 110(2), 024307 (2024).
Rizza, C., Castaldi, G. & Galdi, V. Short-pulsed metamaterials. Phys. Rev. Lett. 128, 1–6 (2022).
Štumpf, M., Antonini, G. & Ekman, J. Pulsed electromagnetic plane-wave interaction with a time-varying, thin high-dielectric layer. IEEE Trans. Antennas Propag. 71(7), 6255–6259 (2023).
Štumpf, M., Antonini, G. & Ekman, J. Transient electromagnetic plane wave scattering by a time-varying metasurface: a time-domain approach based on reciprocity. IEEE J. Multiscale Multiphysics Comput. Tech. 8, 217–224 (2023).
Štumpf, M., Loreto, F., Antonini, G. & Ekman, J. Pulsed wave propagation along a transmission line with time-varying wavespeed. IEEE Microw. Wireless Tech. Lett. 33, 963–966 (2023).
Koksal, M. E., Senol, M. & Unver, A. K. Numerical simulation of power transmission lines. Chin. J. Phys. 59, 507–524 (2019).
Shlivinski, A. & Hadad, Y. Beyond the Bode-Fano bound: Wideband impedance matching for short pulses using temporal switching of transmission-line parameters. Phys. Rev. Lett. 121(20), 204301 (2018).
Hadad, Y. & Shlivinski, A. Soft temporal switching of transmission line parameters: Wave-field, energy balance, and applications. IEEE Trans. Antennas Propag. 68(3), 1643–1654 (2020).
Firestein, C., Shlivinski, A. & Hadad, Y. Absorption and scattering by a temporally switched lossy layer: Going beyond the Rozanov bound. Phys. Rev. Appl. 17(1), 014017 (2022).
Paul, C. R. Analysis of multiconductor transmission lines (John Wiley & Sons, Hoboken, NJ, 2008).
Papoulis, A. The fourier integral and its applications (McGraw-Hill, New York, NY, 1962).
Schiff, J. L. The laplace transform: Theory and applications (Springer-Verlag Inc, New York, NY, 1999).
Titchmarsh, E. C. Introduction to the theory of fourier integrals 2nd edn. (The Clarendon Press, Oxford, UK, 1948).
Acknowledgements
The research reported in this paper was financially supported by the Czech Science Foundation under Grant No. 25-15862S.
Funding
The research of Martin Stumpf is supported by Grant No. 25-15862S of the Czech Science Foundation.
Author information
Authors and Affiliations
Contributions
MS wrote the main manuscript and computational routines. SN revised the manuscript and provided conceptual clarifications. All authors reviewed the manuscript.
Corresponding author
Ethics declarations
Competing interests
The authors declare no competing interests.
Additional information
Publisher’s note
Springer Nature remains neutral with regard to jurisdictional claims in published maps and institutional affiliations.
Appendix A: Integral representations and the inequality
Appendix A: Integral representations and the inequality
If \(\hat{\Omega }(s)\) is analytic in the right half of the complex-frequency plane and along its entire boundary and has the property \(\hat{\Omega }(s) = o(1)\) as \(s\rightarrow \infty\), it can be represented via14, Sec. 9.2,2, Eq. (5)
The integral representation can be readily transformed to TD. In particular, \(\hat{\Omega }(s)/s\) using (A1) corresponds to
Furthermore, using the terminal-value theorem15, Theorem 2.36, we obtain
where the integral should be interpreted in the sense of its Cauchy principal value. Combination of (A2) with (A3) leads to
Apparently, \(\Theta (t)\) approaches the terminal value (A3) as \(t\downarrow 0\) and the zero value as \(t\rightarrow \infty\) (cf., 16, Sec. 1.8). Using the triangle inequality, we can then write
If \(|\Theta (t)|\) is a monotonically decreasing function of time, we end up with
which can be viewed as an extension of2, Eqs. (15) and (16). These results are used in the main text.
Rights and permissions
Open Access This article is licensed under a Creative Commons Attribution-NonCommercial-NoDerivatives 4.0 International License, which permits any non-commercial use, sharing, distribution and reproduction in any medium or format, as long as you give appropriate credit to the original author(s) and the source, provide a link to the Creative Commons licence, and indicate if you modified the licensed material. You do not have permission under this licence to share adapted material derived from this article or parts of it. The images or other third party material in this article are included in the article’s Creative Commons licence, unless indicated otherwise in a credit line to the material. If material is not included in the article’s Creative Commons licence and your intended use is not permitted by statutory regulation or exceeds the permitted use, you will need to obtain permission directly from the copyright holder. To view a copy of this licence, visit http://creativecommons.org/licenses/by-nc-nd/4.0/.
About this article
Cite this article
Štumpf, M., Nordebo, S. Time-domain response bounds for linear time invariant systems with application to transmission line traveling waves. Sci Rep 15, 36124 (2025). https://doi.org/10.1038/s41598-025-23683-8
Received:
Accepted:
Published:
Version of record:
DOI: https://doi.org/10.1038/s41598-025-23683-8







