Fig. 10
From: A multi agent classical Chinese translation method based on large language models

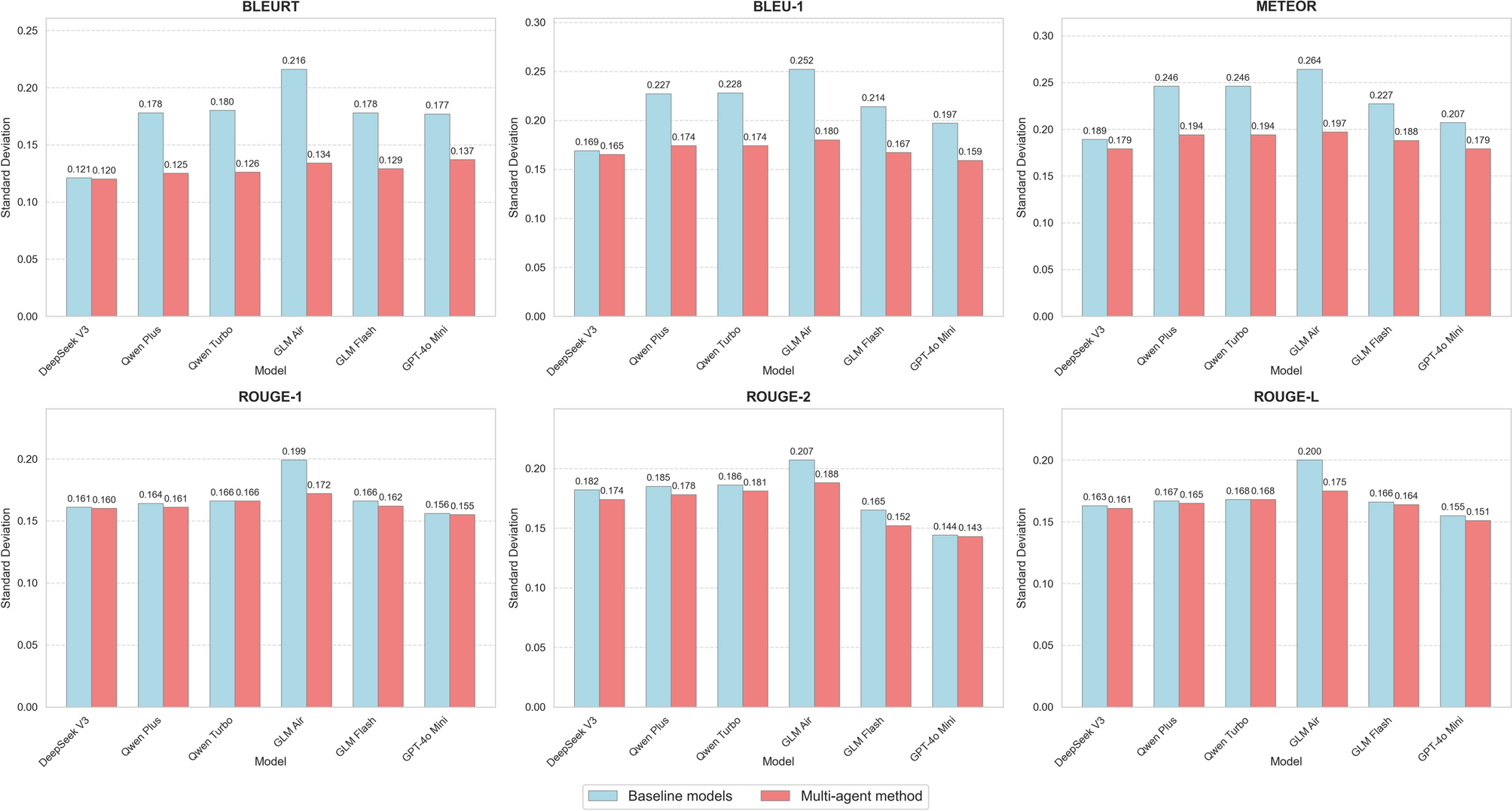
The method is compared with the single model translation stability (Standard Deviation).
From: A multi agent classical Chinese translation method based on large language models

The method is compared with the single model translation stability (Standard Deviation).