Fig. 9
From: A multi agent classical Chinese translation method based on large language models

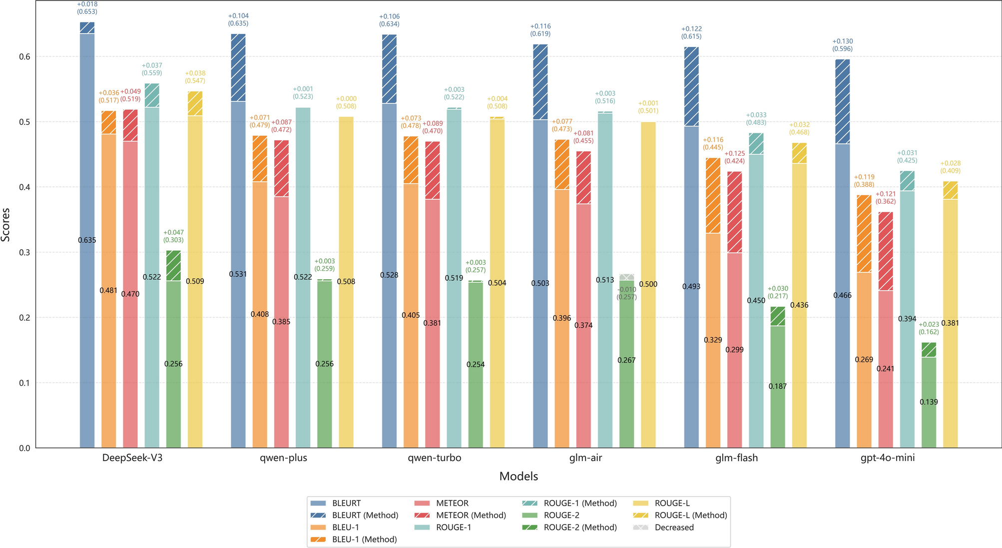
The method is compared with the single model (Percentage Improvement).
From: A multi agent classical Chinese translation method based on large language models

The method is compared with the single model (Percentage Improvement).