Fig. 6
From: Investigation on micro drilling of low carbon NiTi alloy using tungsten carbide micro drill tool

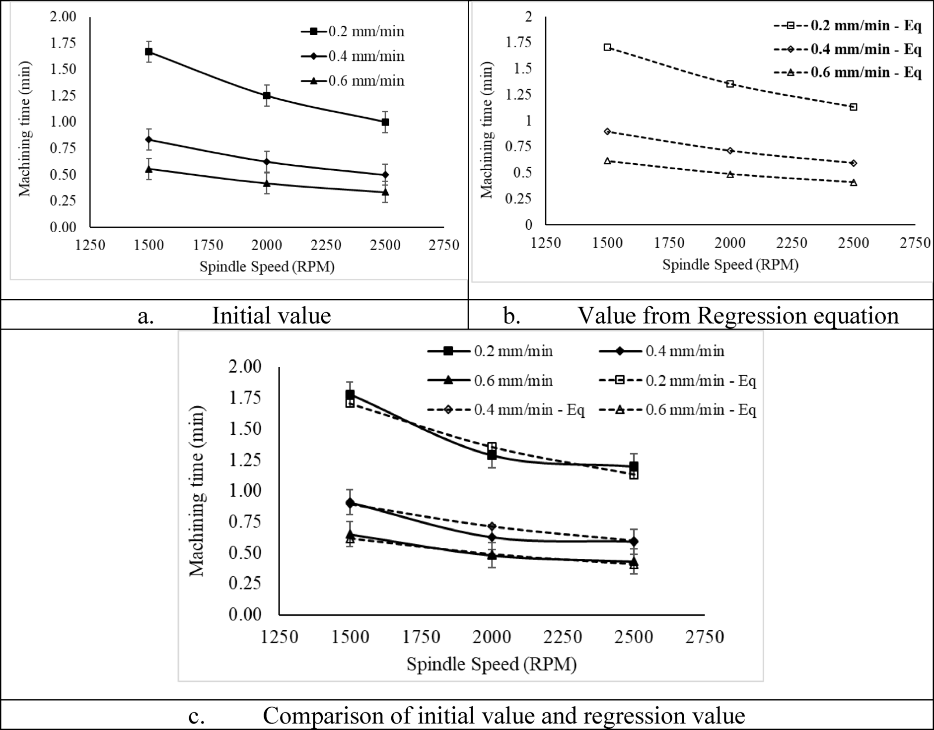
Comparison of machining time with initial and regression value.
From: Investigation on micro drilling of low carbon NiTi alloy using tungsten carbide micro drill tool

Comparison of machining time with initial and regression value.