Fig. 3

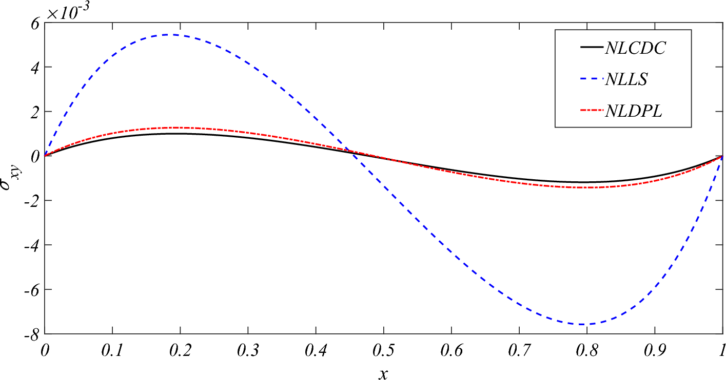
Case-I: The variation of the shearing stress \((\sigma _{xy})\) concerning the space variable (x) under three theories NLCDC, NLLS, and NLDPL.

Case-I: The variation of the shearing stress \((\sigma _{xy})\) concerning the space variable (x) under three theories NLCDC, NLLS, and NLDPL.