Fig. 6

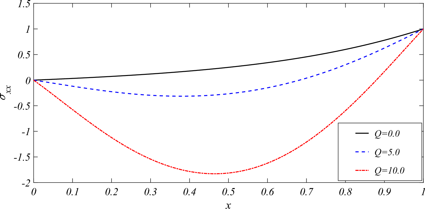
Case-I: The variation of the normal stress component \((\sigma _{xx})\) versus space variable(x) for three fixed values of the heat source (Q).

Case-I: The variation of the normal stress component \((\sigma _{xx})\) versus space variable(x) for three fixed values of the heat source (Q).