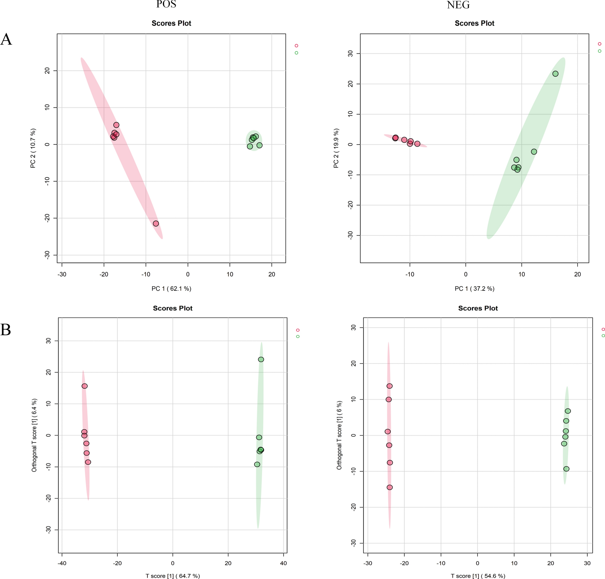
Fig. 3

TCP and LCP positive ion mode PCA scoring figure, PCA score plots of TCP and LCP in the negative ion mode of the implant platform (A); TCP and LCP positive ion mode OPLS-DA scoring figure, OPLS-DA score plots of TCP and LCP in the negative ion mode of the implant platform (B). Green: TCP, Tai Codonopsis Radix; Red: LCP, Lu Codonopsis Radix.