Fig. 17
From: Torsional behaviour of high strength steel (S700) rectangular hollow section stub column

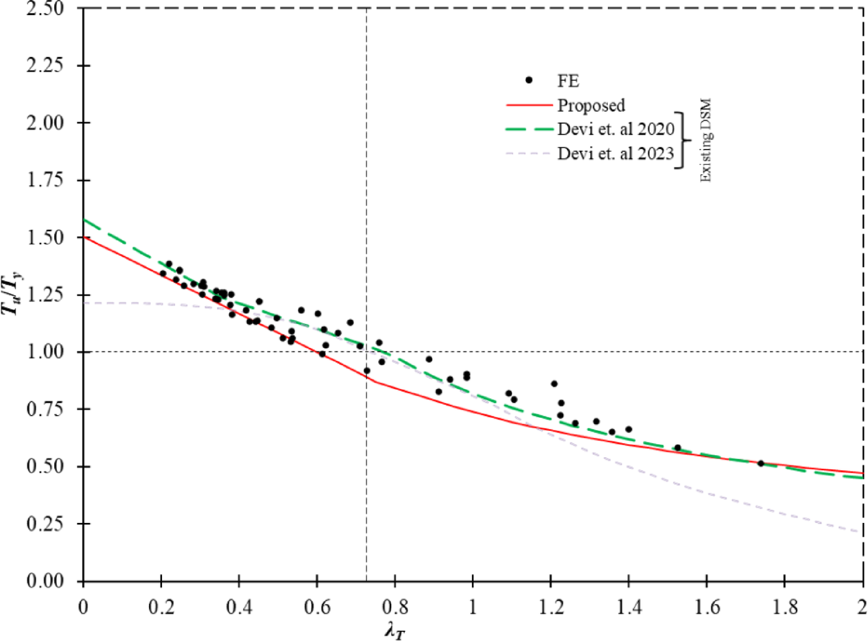
DSM design curves for HSS-RHS.
From: Torsional behaviour of high strength steel (S700) rectangular hollow section stub column

DSM design curves for HSS-RHS.