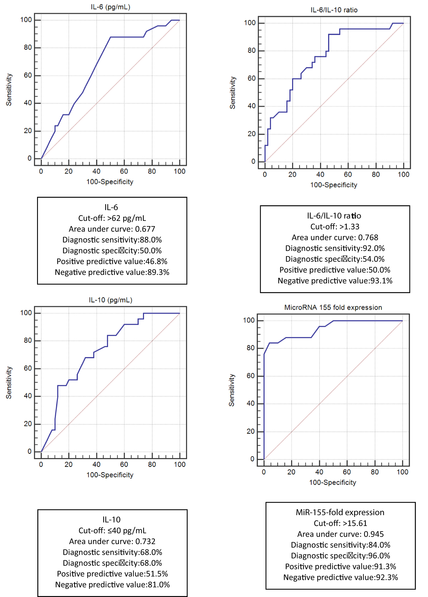
Fig. 3

Receiver Operating Characteristic (ROC) curve analyses for prediction of COVID-19 severity in all COVID-19 patients (n = 75).

Receiver Operating Characteristic (ROC) curve analyses for prediction of COVID-19 severity in all COVID-19 patients (n = 75).