Fig. 1
From: Accounting for population structure in genomic prediction of strawberry sweetness at a global scale

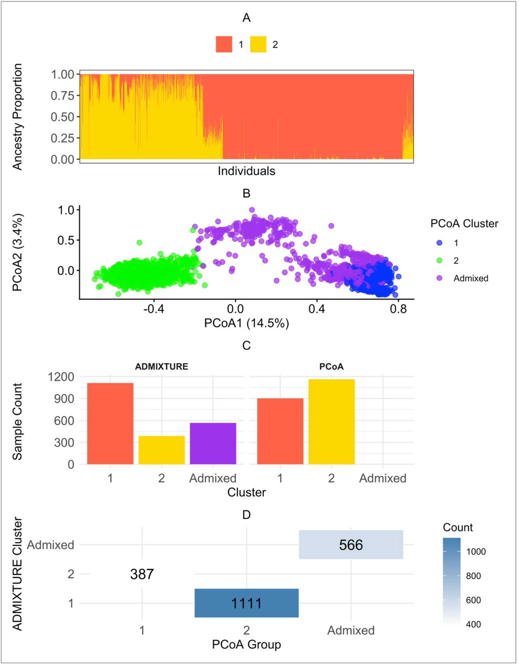
Comparison of population structure inferred by ADMIXTURE and Principal Coordinates Analysis (PCoA) in strawberry samples. Panel (A) shows the ADMIXTURE bar plot where individuals are represented by their ancestry proportions from two clusters. Individuals with less than 90% ancestry from any single cluster are classified as “Admixed,” shown as mixed proportions rather than a solid color. Panel (B) presents the PCoA scatter plot, where samples are grouped into three categories: Cluster 1 (blue), Cluster 2 (green), and Admixed (purple). Panel (C) compares the number of samples assigned to each category by ADMIXTURE and PCoA using side-by-side barplots. Panel (D) displays a confusion heatmap illustrating the correspondence between ADMIXTURE and PCoA group assignments, including the admixed group, highlighting both concordance and discrepancies between these complementary approaches. Information on the optimal K value is provided in Figure S2.