Abstract
The urgent need for effective and novel solutions to address the rising global epidemic of diabetes mellitus (DM) has become a priority for researchers. This chronic ailment, with its alarming prevalence and life-threatening complications (neuropathy, retinopathy and nephropathy), necessitates novel therapeutic strategies. Herein we have synthesized a novel series of N-substituted indole-based thiosemicarbazone derivatives 5(a-y) and explored their potential as α-glucosidase inhibitors. All the compounds displayed excellent inhibitory potential with IC50 values in the range 5.38–59.20 µM, vastly outperforming the reference inhibitor acarbose (IC50 = 871.40 ± 1.24 µM). Molecular docking and molecular dynamics simulation were also conducted, which revealed strong binding interactions with the active site of the enzyme. Compound 5u emerged as the most effective α-glucosidase inhibitor, making it a strong lead for the development of novel antidiabetic therapeutics. To strengthen the SAR rationale and to gain mechanistic insights into the enhanced α-glucosidase inhibition, quantum chemical descriptors of the eight most active thiosemicarbazones (5a, 5 h, 5 m, 5n, 5s, 5t, 5u, 5w) were computed using DFT, highlighting their reactivity and stability from a theoretical perspective.
Introduction
Diabetes is one of the most prevalent non-infectious diseases worldwide that is still on the rise1. Consequently, the treatment costs add a significant strain on a country’s economy. In fact, diabetes mellitus ranks second only to ischemic heart disease in terms of economic burden2. Between 80 and 90% of diabetes cases are type 2 diabetes (T2DM)2. T2DM is characterized by hyperglycemia (increased blood sugar levels), which is caused by a progressive loss of normal insulin production3. Furthermore, it was shown that individuals with T2DM had a 15% higher chance of dying at a young age, and a roughly 20-year shorter life expectancy4. The prevalence of T2DM in teenagers is increasing in tandem with the growth in childhood obesity, and this trend is expected to continue5. These associated risks clearly underscore the severity of this disease. T2DM patients are more prone to develop neuropathy, retinopathy, and nephropathy, which lowers their quality of life and also raises medical care expenditures6,7,8. The World Health Organization has recognized T2DM as a major worldwide health concern. According to estimates from the International Diabetes Federation, the prevalence of diabetes, which was 10.5% in 2021, will rise to 11.3% by 2030 and 12.2% by 20409.
A comprehensive strategy that incorporates both behavioral and pharmaceutical interventions is necessary for T2DM to reduce complications and maintain a high quality of life10. The main focus of the pharmacological intervention is the inhibition of α-glucosidase, which controls the breakdown of carbohydrates11,12,13. It is an enzyme embedded in the membrane of the small intestine’s epithelial cells14. α-glucosidase catalyzes the final step, which is the digestion of carbohydrates and influences blood glucose levels after meals, which are abundant in the gastrointestinal (GI) tract15. It stimulates postprandial hyperglycemia by hydrolyzing the terminal, non-reducing 1,4-linked glycosidic bond of poly and disaccharides, releasing monosaccharides16. This enzyme is crucial for the breakdown of carbohydrates in the digestive tract, which can lead to an increase in blood glucose levels if left unchecked17,18. By slowing down the rate at which carbohydrates are absorbed and preventing postprandial hyperglycemia, α-glucosidase inhibitors (AGIs) can reduce blood glucose levels19. Thus, the discovery of a novel class of α-glucosidase inhibitors is imperative20,21.
Indoles constitue a large part of naturally occurring molecules, which highlights its significance in drug discovery22. The facile accessibility of ondole scaffold, its diverse reactivity, and wide-ranging pharmacological activities such as antibacterial23, anti-inflammatory24 and antidiabetic potential25 has attracted considerable attention. Additionally, indole has been widely recognized as a promising pharmacophore for the development of α-glucosidase inhibitors. Various indole-based inhibitors are reported to have excellent inhibition potential26,27,28,29.
Thiosemicarbazones are a class of compounds known for their diverse pharmacological properties30,31,32, ranging from anti-oxidant33, anti-inflammatory34, anti-tumor35 to antimicrobial36 properties37. Condensing carbonyl moieties with thiosemicarbazide yields these compounds38. The thiourea-derived functional core (NH and CS) of thiosemicarbazones is believed to be responsible for the observed pharmacological profile38. They have recently gained attention because of their potential anti-diabetic properties. Thiosemicarbazone derivatives inhibit various other enzymes linked to diabetes, such as glycogen phosphorylase, aldose reductase (ALR2), aldehyde reductase (ALR1), α-glucosidase, dipeptidyl peptidase-4, and α-amylase, resulting in strong overall antidiabetic action33,39,40,41,42.
An efficient strategy for discovering new drug like moleules is pharmacophore hybridization, which involves combining two or more pharmacophoric features into a single molecule to enhance its binding affinity and therapeutic efficacy43,44. Similar compounds have previously shown significant α-glucosidase inhibitory activity, prompting further exploration of their potential in diabetes treatment45,46,47,48,49 (Fig. 1). Given the broad spectrum of anti-diabetic potential associated with the indole and thiosemicarbazone pharmacophores37,50, our goal was to hybridize both scaffolds to discover a single molecular scaffold that could have enhanced inhibition potential against the enzyme α-glucosidase. In the current work, we have developed a series of N-substituted indole-based thiosemicarbazone derivatives 5(a-y) by coupling N-substituted indole with different thiosemicarbazides and examined the inhibitory effects against α-glucosidase.
Reported structures of α-glucosidase inhibitors based on indole and thiosemicarbazone, along with their respective IC50 values.
Results and discussion
Chemistry
In the first step, indole-3-carbaldehyde (1) was N-sulfonylated with 4-chlorobenzenesulfonyl chloride (2) in DCM, employing triethylamine and catalytic amount of DMAP. In the second step, the synthesis of thiosemicarbazones 5(a-y) was carried out by the reaction of N-substituted indole 3-carbaldehyde (3) with respective thiosemicarbazides 4(a-y) in an equimolar ratio in the presence of ethanol as solvent and acetic acid as a catalyst. The thiosemicarbazones 5(a-y) were obtained as a solid residue in sufficient yield with excellent purity. The synthetic route for the synthesis of N-substituted thiosemicarbazones 5(a-y) is displayed in Fig. 2.
All the synthesized compounds 5(a-y) were characterized by 1H and13C NMR spectroscopy to confirm their structures. The presence of two singlets for NH protons at 12.26–11.50 ppm and 10.23–8.33 ppm and a singlet at 8.49–8.28 ppm for the azomethine proton in the1H NMR spectra of representative thiosemicarbazone 5(a-y) suggests the successful condensation of thiosemicarbazide at the aldehyde group of indole. In the13C NMR, peaks at 178.16-176.02 ppm and 160.43-140.55 ppm are assigned to the C = S and OCH3 / F substituted phenyl, respectively, which are consistent with our previously reported thiosemicarbazones37.
Synthesis of thiosemicarbazone derivatives 5(a-y).
α-glucosidase inhibition activity
Biological activity
All compounds 5(a–y) were tested for their α-glucosidase in vitro inhibitory activity to explore their potential therapeutic applications. Interestingly, all compounds demonstrated strong inhibitory potency with IC50 values ranging from 5.38 ± 0.19–59.20 ± 1.60 µM, as displayed in Table 1. Compound 5u was the most potent inhibitor and exhibited the highest inhibitory activity against α-glucosidase enzyme.
Structure activity relationship
A new class of N-substituted indole-based thiosemicarbazones has been synthesized and evaluated for its potential against the α-glucosidase enzyme. IC50 values and % inhibition of the synthesized compounds are displayed in Table 1. The effectiveness of this series of compounds is evident from the fact that all compounds in this series displayed excellent potential to inhibit α-glucosidase, with all compounds being 15–162 times more active than the standard inhibitor, acarbose. The inhibitory potential of the thiosemicarbazones is explored by changing the R group on the thiosemicarbazide moiety. The R group is varied with aromatic, non-aromatic, and aliphatic groups. These synthesized compounds 5(a-y) exhibited slight variance in their IC50 values. The most active inhibitor 5u was 162 folds potent than the standard inhibitor acarbose, while the least active inhibitor 5p was fifteen folds more active than acarbose. Upon analyzing the potency landscape of all the inhibitors a gradual decrease in inhibition activity is observed (Fig. 3). This likely rules out the possibility that there is any specific single contact or a narrow set of contacts (hydrogen bond or hydrophobic) responsible for the observed biological activity. While the indole sulfonyl phenyl scaffold itself seems to be largely responsible for most of the “heavy-lifting”, in terms of establishing key (and crucial) contacts with the binding site, the subtle differences or “fine-tuning” of inhibition activity can be attributed to the nature of R group.
Potency landscape of synthesized compounds compared to the standard inhibitor acarbose. IC50 values (µM, log scale) are shown for each compound, with fold-improvement in potency relative to acarbose indicated above each bar.
This is also evident from the fairly narrow window (~ 11× from best to worst) reaffirming that the main chlorophenyl-sulfonyl indole scaffold is responsible for most of the interactions with the binding site, while R group substituent fine-tunes affinity via establishing secondary contacts (hydrophobic fit, edge-of-pocket polar contacts, and desolvation effects). Interestingly we observed that a variety of R groups (substituted phenyl, alkyl, cylo-alkyl and naphthyl) could be used without catastrophic loss of inhibition activity. The eight most active inhibitors all contained a halogenated phenyl ring, with 5u being the most active inhibitor (IC50 = 5.38 ± 0.19 µM), closely followed by 5 h and 5w (having similar activity 6.39 ± 0.11 and 6.55 ± 0.17 µM, respectively). Compounds 5u, 5 h, 5w, and 5s are more than 100 folds active than acarbose. Figure 4 provides visual illustration of SAR trends observed herein.
SAR illustration of newly synthesized compounds 5(a-y).
Among the R group substituents, the alkyl chains seem to be less tolerated, as the compounds that were least active in the series (albeit still much more active than acarbose) were the ones containing 2-butyl (5p), naphthyl (5y), methyl (5e), 1-ethyl-2-methylphenyl (5o), thiopropyl (5q) and cyclohexyl (5 g) groups. These least active compounds are still 15–20 folds active than acarbose. The nitro, methoxy, phenyl ring substituted with methyl groups and trifluoromethyl groups gave intermediate activity.
Enzyme kinetics study
The most potent compound, 5u, was subjected to a mechanistic study to reveal its mechanism of action. The mechanism of action studies are crucial in drug discovery. Interestingly, we identified compound 5u as a competitive type inhibitor with a Ki value of 3.57 ± 0.0084 µM. Such a type of inhibitor binds with the active site residues, thus increasing the Km value while the Vmax of the enzyme α-glucosidase remains constant (Fig. 5).
The inhibition of α-glucosidase by compound 5u (A) Line weaver-Burk plot of reciprocal of rate of reaction (velocities) vs. reciprocal of substrate concentration in the absence of (■), and in the presence of 10.00 µM (○), 5.00 µM (●), and 2.50 µM (□) of compound 5u. (B) Secondary replot of the Line weaver-Burk plot between the slopes of each line on the Line weaver-Burk plot vs. different concentrations of compound 5u. (C) Dixon plot of the reciprocal of the rate of reaction (velocities) vs. different concentrations of compound 5u.
Molecular docking
The crystal structure of α-glucosidase enzyme from S. cerevisiae is not available from the PDB, hence, its homology model was built and validated as reported previously by us51. The oligo-1,6-glucosidase from S. cerevisiae, having PDB ID 3A4A, was found to be the best match and was used as a template for the homology modeling. Amino acids Asp214, Glu276, and Asp349 are part of the catalytic triad of the active site; interactions with these amino acids are critical for substrate binding. Similarly, the inhibitor’s interaction with these amino acids is also deemed necessary for effective enzyme inhibition. In addition, amino acids Phe231, His239, Asn241, His279, Glu304, and Arg312 near the active site are also important for binding.
Molecular docking of all the compounds 5(a-y) was carried out; for reference, acarbose, the standard inhibitor, was also docked (docking score = -13). All the compounds were found to be oriented in the same area of the active site as the standard acarbose. Figure 6 shows the overlap of all compounds with acarbose.
Overlap of docked conformations of compounds 5(a-y) with acarbose (black). The zoomed in region shows overlap of most active inhibitor 5u with acarbose.
For the most active compound 5u, the docking studies revealed a number of hydrogen bonded interactions that contribute to the stability of binding. The NH groups were making hydrogen-bonded interactions with Asp214 and Asp349, while the sulfur atom of the thiocarbonyl group was making a hydrogen bond with Arg212 and His348; the same sulfur atom was also making pi-sulfur interactions with Tyr71 and His348. One of the sulfonamide group oxygen atoms was making a carbon-hydrogen bond with Arg439. The indole ring was making a pi-pi stacked interaction and a pi-cation interaction with Phe158 and Arg439, respectively. The chlorophenyl ring was making a pi-alkyl interaction with Arg312, and the chlorine atom was making pi-alkyl bonds with Phe300 and His279.
Docking studies were also carried out for compounds 5w and 5 h, also having excellent inhibition activities (IC50 = 6.55 ± 0.17 µM and 6.39 ± 0.11 µM, respectively) Fig. 7. As expected, similar interactions were observed (Table 2). All three compounds form hydrogen bonds with arginine (Arg) residues. Arg439 is involved in pi-Cation interactions in both 5u and 5w. Glu276 is involved in Pi-Anion interactions in both 5w and 5 h. Asp349 is involved in pi-Anion interactions in 5w, but in 5u, it forms a hydrogen bond instead. Tyr71 is involved in pi-pi interactions in both 5w and 5 h. Pi-Sulfur interactions are observed in 5w and 5 h, but not in 5u. Chlorine is involved in pi-Alkyl interactions in all three compounds. Arg312 and Arg439 are involved in pi-Alkyl interactions in 5u and 5 h, and 5w, respectively.
Docked conformation of 5u with α-glucosidase showing binding site interactions.
To better understand the differences between the most active (5u) and least active inhibitor (5p), docked conformations of both were compared. It has already been established during SAR studies that the main sulfonyl indole scaffold is largely responsible for the inhibition activity, by providing key anchoring with the amino acids of the binding site, the “fine-tuning” and hence better inhibition of 5u compared to 5p (about 11 folds) appears to be due to the difference in the R group. Several factors may account for this, including physiologically relevant effects such as solvent displacement and water-mediated interactions with additional amino acid residues. Within the limitations of the static view provided by molecular docking, we observed that compared to 5u, in 5p only the sulfur atom of the thiocarbonyl group was engaged in hydrogen-bonded interactions with His111 and Gln181, whereas in 5u the same sulfur atom was making two additional hydrogen bonds with Arg212 and His348. While the adjacent (hydrophobic) butyl group engaged the nearby amino acids in hydrophobic contacts, this part of the molecule significantly lacked polar interactions (Fig. 8).
Docked conformation of 5p with α-glucosidase showing binding site interactions.
Similarly, we decided to compare related compounds 5b (containing a 4-methoxyphenyl group) and 5k (containing a 3-methoxyphenyl group) that differ only in the position of the methoxy substituent on the phenyl ring (Fig. 9). Not much difference in their activity was observed; in fact, compound 5b was only 1.3 folds more active than 5k. Pi-sulfur interactions with His245 and Phe157 were observed with the sulfur atom of the thiocarbonyl group in compounds 5b and 5k, respectively. The sulfonamide oxygen in both compounds was making hydrogen bonds with Arg439 and Arg212, respectively. Similarly, the indole rings were stabilized through a network of electrostatic (pi-cation and pi-anion) interactions with Glu276, Arg439, and Asp349 in both compounds. Tyr71 was making a pi-pi stacked interaction with the indole ring of 5b and the chlorophenyl ring of 5k. The methoxyphenyl ring in 5k was stabilized only via a network of pi-alkyl interactions with Arg312, Arg439, Val303, and Phe300. In contrast, the methoxy group of 5b was making a carbon-hydrogen bond with Phe157, while its phenyl ring was making a pi-alkyl and pi-pi stacked interaction with Ala278 and Phe300, respectively. The only other additional interaction found in 5b was a hydrogen bond between the NH group and Glu276, which was absent in 5k.
Comparison of 2D docked conformation of inhibitors 5b and 5k.
Molecular dynamics (MD) simulation studies
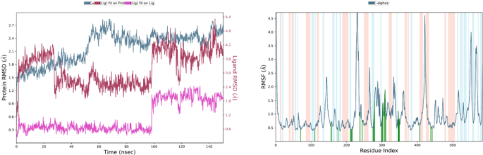
The Molecular Dynamics Study of 5u-α-glucosidase Complex showed that the C-α Protein RMSD increased from 1.5 Å to 2.1 Å in the initial 50 ns, then the value ascended slightly up to 2.7 Å for the next 20 ns and remained stable around 2.4 Å with minor fluctuations and at 2.6 Å at the end of the simulation period. In the 5u RMSD graph, the Lig fit on Protein value increased from 1.3 Å to 4 Å in the first 25 ns, then decreased and remained stabilized around 2.5 Å for the next 75 ns (till 100 ns), then in the last 50 ns, the value fluctuated and remained around 4.2 Å towards the end of the simulation period. The Lig fit on Lig RMSD value remained stabilized around 0.6 Å in the initial 100 ns, then fluctuated around 2.1 Å in the last 50 ns of simulation Fig. 10.
Protein RMSF analysis showed all residues of α-glucosidase that made contact with 5u showed RMSF values less than 2.0 Å, where relatively higher values were shown by residues around number 230 (up to 5.8 Å), 420 (up to 4.1 Å), and 550–570 (up to 4.0 Å and 3.5 Å respectively) towards the C-terminal. Relatively higher RMSF values were shown by residues in the loop regions in the protein overall. Ligand fit on the Protein RMSF graph showed most atoms of 5u showed values less than 2.0 Å in fluctuations, except the bromofluorobenzene moiety at around 5 Å.
RMSD and protein RMSF graphs of 5u-α-Glucosidase complex for 150 ns simulation.
The Molecular Dynamics Simulation of 5u with α-glucosidase showed that the complex remained relatively stable during the 150 ns simulation time, as the protein RMSD value was observed below 3.0 Å during the whole simulation time. Nevertheless, values of 5u’s RMSD and simulation trajectory visual analysis revealed the change in the conformation of 5u. At the same time, the position and orientation of 5u remained comparatively stable in the active site of α-glucosidase during the whole simulation. This is also corroborated by the superimposed images of 5u at different time intervals in the simulation (Fig. 11).
Superimposed structure poses of 5u during simulation at different time intervals, Yellow at 0 ns, Green at 30 ns, Magenta at 100ns, and Orange-red at 150 ns, respectively.
Protein Secondary Structure elements revealed % Total SSE = 38.60, where % α-helices = 22.58 and % β-strands = 16.02. Protein-Ligand contacts exhibited that a maximum interaction fraction of above 1.2 was exhibited by Phe 177, which contained mostly hydrophobic interactions, while other residues mostly showed water bridges and hydrophobic interactions. Ligand-protein contacts reveal that Asp 214 maintained a water-mediated charged interaction with the sulfur dioxide moiety at 79% of simulation time. Phe 177 showed Pi-Pi stacking interaction with indole and chlorobenzene moiety at 46% and 32% respectively, and Phe 300 showed Pi-Pi stacking interaction with indole ring at 50%. Asp 349 and Arg 212 maintained water-mediated charged interactions with the sulfur dioxide moiety at 50% and 30% respectively Fig. 12.
Ligand RMSF and protein-ligand contacts, of inhibitor 5u with α-glucosidase during the simulation.
Ligand Torsion analysis of 5u showed that almost all bonds remained stable during the whole simulation, with relatively higher torsional behavior observed in bonds of bromofluorobenzene attachment with thiourea moiety Fig. 13.
Ligand-protein contacts and ligand-torsion profile of inhibitor 5u with α-glucosidase during the simulation.
The RMSF analysis of α-glucosidase showed that residues in the region of the active site lid in the protein structure showed the most flexibility during the simulation, with the highest value shown by Phe 231 at 5.85 Å. Additionally, relatively higher fluctuations in the loop regions of the protein are expected due to the flexible nature of the loops. Overall, despite the conformation change of 5u, the compound remained in the active site of the enzyme, and the complex 5u-α-glucosidase observed to maintained stability throughout the simulation period of 150 ns.
PCA PCA (principal component analysis), DCCM DCCM (dynamic cross-correlation matrix), and FEL (2.4.2. FEL (free energy landscape))
In PCA of protein Cα, the first two principal components capture 43% of protein movement during the simulation Fig. 14A. PC1 and PC2 account for 30.44% and 12.9% respectively. While the scatter plot shows clusters of frames with clear transitions of color, indicating the protein might have experienced substantial collective movement during the simulation, starting in one conformational basin and moving through different intermediate states before settling in a different basin. In Fig. 14B of binding site residues in 5 Å of 5u, excluding ligand atoms, the first two principal components capture 47% of movement during the simulation. PC1 and PC2 account for 32.78% and 14.44% respectively. However, the scatter plot shows broadness without clustering of frames. Indicating the residues of the binding site alone could be flexible even without a ligand. This intrinsic dynamic nature of the binding site could be the reason for the ligand’s changing conformations during the simulation.
[A] PCA summary of alpha carbon atoms of 5u-alphaglucosidase complex; [B] PCA summary of binding site residues within 5 Å of 5u, excluding 5u’s atoms in 5u-alphaglucosidase complex. [C] PCA summary of binding site residues within 5 angstroms of 5u, including 5u’s atoms in 5u-alphaglucosidase complex.
In Fig. 14C of binding site residues in 5 Å of 5u, including ligand atoms, the first two principal components capture about 68% of movement during the simulation. PC1 and PC2 account for 50.42% and 17.38% respectively. The scatter plot shows relatively compact clusters of frames. This is indicative of the coupled motion of the 5u ligand with the binding site residues, suggesting the ligand 5u could be producing the stabilizing effect to the specific conformations of the binding site or pocket, suggesting the ligand does not randomly drift; instead, the 5u’s conformational shifts during the simulation could be part of the stable, collective movement in the binding pocket in the protein-ligand complex. In eigenvalue graphs of all three PCAs, the graphs show a comparatively sudden and sharp drop-off after the initial few components, suggesting that the majority of conformational changes are caused by the small number of large-amplitude, low-frequency movements.
While PCA shows overall collective movements, DCCM helps in understanding the coordinated movements and communication between the residues. In DCCM Fig. S53 heatmap of protein Cα, with sporadic weak to moderate correlations across the protein, all Cα atoms of residues, the connection between them seems mostly sparse. Indicating the expected behavior as the protein seems to undergo distributed movements in simulation, resulting in a lack of significant global correlated pattern, aligning with the overall flexibility of protein structures. In DCCM Fig. S54 heatmap of binding site residues in 5 Å of 5u, excluding ligand atoms, fragmented local blocks of positive correlation along the diagonal can be observed. Indicating the somewhat coordinated movement of binding site residues, suggesting the flexibility of the binding site and pocket. However, in DCCM Fig. S55 heatmap of binding site residues in 5 Å of 5u, including ligand atoms, the correlation blocks could be observed as relatively strong and well-defined, suggesting the correlation of the ligand 5u’s atoms with the binding pocket residues. Indicating the coupling of ligand movement with the movement of the binding site. Suggesting that ligand 5u, instead of drifting and random movement, integrates into the combined movement of the binding site. DCCM analysis shows that the ligand’s RMSD fluctuations could be associated with the collective movement of the 5u-coupled movement of the binding pocket.
RG-RMSD-based FEL showed a dominant deep basin located between 2.46 and 2.48 nm radius of gyration and 0.20–0.25 nm of RMSD. The basin is observed to be narrow, well-defined, with surrounding higher free energy regions. This suggests that the system converges into a dominant free energy minimum Fig. 15.
Overall, the post MD analyses indicate that despite the flexibility of the active/binding site, the 5u ligand integrates into the movement of the site, resulting in the complex maintaining the stability during the simulation.
Three-dimensional graph of free energy landscape analysis of 5u α-glucosidase simulation.
DFT studies
To strengthen the SAR rationale and provide mechanistic insight into the significant (up to 162-fold) improvement in α-glucosidase inhibition, quantum chemical calculations were performed for the eight most active thiosemicarbazones (5a, 5 h, 5 m, 5n, 5s, 5t, 5u, 5w) using the B3LYP/6-311 + + G(d, p)/GD3 level of theory. Geometry optimizations and vibrational analyses confirmed that all structures correspond to true minima on the potential energy surface as visualized in Fig. 16. The energetic parameters, such as optimization energies, dipole moments, and polarizabilities, are summarized in Table 3. Dipole moments (2.09–6.91 D) and polarizabilities (355–379 a.u.) suggested moderate molecular softness, favoring non-covalent interactions within the α-glucosidase binding pocket.
Optimized structures of the investigated compounds at DFT/B3LYP/6-311G(d, p)/GD3 calculations in the gas phase.
Frontier molecular orbitals and reactivity descriptors are computed, HOMO and LUMO energies ranged from − 6.00 to -5.85 eV and − 2.72 to -2.46 eV, respectively, with energy gaps (ΔƐ) between 3.14 and 3.48 eV. Smaller gaps (e.g., 3.14 eV for 5w) indicate greater chemical reactivity and charge-transfer ability, aligning with their higher inhibitory potency (Fig. 17).
HOMO-LUMO diagram of investigated compounds.
The global quantum chemical reactivity descriptors calculated for the eight most active thiosemicarbazone derivatives (5a, 5 h, 5 m, 5n, 5s, 5t, 5u, 5w) provide insight into their electronic characteristics and potential interactions with α-glucosidase. Derived global reactivity descriptors (chemical potential µ, electronegativity χ, hardness η, softness ζ, and electrophilicity ω) are provided in Table 4.
The chemical potential (µ) values (-4.18 to -4.29 eV) highlights the tendency of these molecules to exchange electrons with their environment. More negative µ values (e.g., 5w, -4.29 eV) indicate a greater propensity to donate electron density, favoring charge transfer to the electron-deficient regions of the enzyme’s active site. Electronegativity (χ) values (4.18–4.29 eV) follow the same trend because χ = –µ. The close clustering of values suggests that all derivatives share similar electron-attracting ability, consistent with their narrow range of IC₅₀ values relative to acarbose. Chemical hardness (η) values (1.57–1.74 eV) represent resistance to charge transfer. Lower η values correspond to greater chemical softness and enhanced polarizability. Compound 5w exhibits the lowest hardness (1.57 eV) and, accordingly, the highest softness (ζ) (0.32 eV⁻¹), suggesting superior electronic adaptability during enzyme binding. The other potent inhibitors (5a, 5 h, 5 m, 5n, 5s, 5t, 5u) have slightly higher hardness (~ 1.72–1.74 eV), consistent with slightly less but still significant reactivity. This trend correlates with 5w’s competitive potency, as softer molecules can better stabilize non-covalent interactions and conform to the dynamic enzyme environment.
Electrophilicity indices (ω) (5.07–5.22 eV) quantify a molecule’s capacity to accept electrons and support a tendency for strong electron acceptance, consistent with the enzyme’s catalytic pocket being rich in nucleophilic residues. Higher ω values (e.g., 5 m, 5.22 eV; 5s, 5.17 eV) indicate stronger electrophilic character, which facilitates interactions with nucleophilic residues (e.g., Asp214, Asp349) in the α-glucosidase active site. This supports the docking results where these compounds showed extensive hydrogen bonding and π-cation/π-anion interactions.
The ionization potential (I) ranges in the window of 5.85-6.00 eV and electron affinities (A) (2.46–2.72 eV) indicate moderate stability against oxidation while maintaining sufficient ability to accept electrons. Compound 5w, with the highest electron affinity (2.72 eV), is particularly suited to stabilize charge-transfer complexes within the catalytic pocket, possibly explaining its comparable potency to 5u despite a slightly different R-group.
The combination of moderate hardness, high electrophilicity, and sizeable dipole moments for 5u, 5 h, 5w, and 5s suggests these molecules can effectively polarize and engage multiple types of interactions-electrostatic, hydrogen bonding, and π-stacking-within the enzyme binding site. By contrast, less active analogs (e.g., 5p from your biological data) likely have electronic properties less conducive to such multipoint binding. The descriptors therefore bridge steric considerations with a mechanistic electronic explanation: halogenated phenyl substituents modulate HOMO-LUMO gaps and electrostatic distributions to maximize enzyme-inhibitor affinity.
Molecular electrostatic potential (MEP) mapping surfaces (Fig. 18) highlight pronounced negative potential around the sulfonyl and thiocarbonyl groups and positive potential around the indole ring’s NH group. These features correspond well with docking-identified hydrogen-bond donors/acceptors (Asp214, Asp349, Arg212) and hydrophobic contacts (Phe158, Phe300), reinforcing that electronic distribution, not only steric bulk, governs the binding mechanism.
Molecular electrostatic potential (MEP) maps for the investigated compounds at B3LYP/6–311 g(d, p)/GD3 level of theory in the gas phase.
Collectively, the DFT results corroborate the original steric/electronic SAR hypothesis that the indole-sulfonyl scaffold provides a rigid electron-withdrawing framework, while variations in R-group electronics subtly modulate HOMO-LUMO gaps, dipole moments, and electrostatic potentials. These electronic factors explain why halogenated phenyl substituents (e.g., 5u, 5 h, 5w, 5s) achieve superior inhibition compared to aliphatic or less polar groups, thereby providing a mechanistic justification for the observed activity enhancement. These descriptors correlate well with biological potency; compound 5u emerges as the most prominent inhibitor as it experimentally shows the lowest IC₅₀ (5.38 µM) and 162-fold activity improvement over acarbose. Its dipole moment (3.92 D) and polarizability (374.5 a.u.) are among the highest values, suggesting strong electrostatic interactions and adaptability in the α-glucosidase pocket. 5u showed the balanced HOMO–LUMO gap (ΔƐ = 3.46 eV), which maintains the reactivity without being unstable, indicating efficient charge transfer. Its electrophilicity index (5.10 eV) is high, meaning 5u can accept electrons effectively, complementing nucleophilic residues in the catalytic triad. In docking studies, 5u forms multiple hydrogen bonds and π-interactions with key residues (Asp214, Asp349, Arg212, Phe158), and MD simulations, hence showed that its complex remained stable throughout 150 ns. Although 5w has the smallest hardness and slightly higher electron affinity, 5u combines excellent electronic descriptors with the strongest experimental inhibition, making it the most prominent inhibitor overall.
Experimental
General
All the starting materials for the synthesis were purchased from Sigma-Aldrich Co. (Germany) and used without any purification. Solvents, including pure ethanol, methanol, DCM, etc., were obtained from various commercial suppliers and directly used in the reaction without purification. The reaction was monitored by thin-layer chromatography (TLC) on silica gel 60 aluminum plates, employing an appropriate solvent system. TLC spots were visualized under UV light at 254 nm. 1H and13C NMR spectra were recorded on a Bruker 600 MHz / 400 MHz (151 MHz / 101 MHz) spectrometer using DMSO-d6 as the solvent. Coupling constants (J) were measured in Hertz (Hz), and chemical shifts were reported in parts per million (δ = ppm). Signal peaks were indicated as singlet (s), doublet (d), triplet (t), or multiplet (m). Melting points were determined with an MPS10 melting point apparatus. Mass spectra were obtained using a Bruker Daltonics mass spectrometer (ESI-MS).
General procedure for the synthesis of 1-((4-chlorophenyl)sulfonyl)-1H-indole-3-carbaldehyde (3)
Indole 3-carbaldehyde (1) (0.29 g, 2 mmol) was mixed with a solution of trimethylamine (0.36 mL, 2.6 mmol), DMAP (0.245 g, 2.0 mmol), and 4-chlorobenzenesulfonyl chloride (2) (0.4 g, 2 mmol) in DCM (15 mL) under argon atmosphere. At room temperature, the reaction mixture was stirred for 12 h. Upon completion of the reaction, a saturated solution of NaHCO3 was added to the reaction mixture. The reaction mixture was extracted with dichloromethane. The combined organic layer was dried with Na2SO4, and the solvent was removed under vacuum. The residue was purified by flash chromatography (ethyl acetate/hexane 1/4). Solid precipitates of N-chlorophenyl sulfonyl indole-3-carbaldehyde (3) were obtained at the end of the reaction with an excellent yield of 92%.
General procedure for the synthesis of thiosemicarbazones 5(a-y)
To a solution of 1-((4-chlorophenyl)sulfonyl)-1H-indole-3-carbaldehyde (3) (0.1 g, 1 mmol) in 10 mL ethanol, equimolar quantities of substituted thiosemicarbazones 4(a-y) (0.1 mmol) were added. Three to four drops of acetic acid were added as a catalyst. The reaction mixture was refluxed for 4–6 h until the completion of the reaction, as evidenced by TLC. Upon completion, the solid precipitates formed were washed with ethanol and filtered to obtain the thiosemicarbazones 5(a-y). The thiosemicarbazones were obtained with moderate to excellent yields.
Using spectrum analysis (13C NMR and1H NMR), the structures of the newly synthesized compounds 5(a–y) have been confirmed (Figs. S1–50).
2-({1-[(4-Chlorophenyl)sulfonyl]-1H-indol-3-yl}methylene)-N-(4-fluorophenyl)hydrazine-1-carbothioamide. (5a)
Color: White; Yield: 80%; m.p.: 232–233 °C; δH (400 MHz, DMSO-d6) 11.91 (1 H, s), 9.80 (1 H, s), 8.46 (1 H, s), 8.40 (1 H, s), 8.31 (1 H, d, J = 7.8 Hz), 8.12–8.03 (2 H, m), 7.97 (1 H, d, J = 8.3 Hz), 7.76–7.65 (2 H, m), 7.61–7.52 (2 H, m), 7.45 (1 H, ddd, J = 8.4, 7.3, 1.3 Hz), 7.42–7.33 (1 H, m), 7.28–7.17 (2 H, m); 13C NMR (101 MHz, DMSO) δ 176.73, 159.06 (d, 1JF−C = 248.4 Hz, 159.06 and 157.42,), 140.58, 138.51, 136.05, 135.08, 130.67, 130.34, 129.30, 128.74, 127.33, 126.47, 125.01, 123.60, 118.47, 115.38, 115.15, 113.53; m/z calculated for C22H16ClFN4O2S2 ([M + H]+) 487.0465, found 487.1418.
2-({1-[(4-Chlorophenyl)sulfonyl]-1H-indol-3-yl}methylene)-N-(4-methoxyphenyl)hydrazine-1-carbothioamide. (5b)
Color: White; Yield: 88%; m.p.: 215–216 °C; δH (600 MHz, DMSO-d6) 11.81 (1 H, s), 9.69 (1 H, s), 8.45 (1 H, s), 8.38 (1 H, s), 8.30 (1 H, d, J = 7.9 Hz), 8.06 (2 H, d, J = 8.4 Hz), 7.97 (1 H, d, J = 8.3 Hz), 7.69 (2 H, d, J = 8.4 Hz), 7.51–7.30 (4 H, m), 6.94 (2 H, d, J = 8.5 Hz), 3.77 (3 H, s); 13C NMR (151 MHz, DMSO) δ 176.72, 157.52, 140.57, 138.06, 135.78, 135.08, 132.56, 130.66, 130.13, 129.28, 128.11, 127.36, 126.42, 124.98, 123.55, 118.52, 113.82, 113.48, 55.73; m/z calculated for C23H19ClN4O3S2 ([M + H]+) 499.0665, found 499.0589.
N-Benzyl-2-({1-[(4-Chlorophenyl)sulfonyl]-1H-indol-3-yl}methylene)hydrazine-1-carbothioamide. (5c)
Color: White; Yield: 86%; m.p.: 206–207 °C; δH (600 MHz, DMSO-d6) 11.68 (1 H, s), 8.64 (1 H, t, J = 6.3 Hz), 8.37 (1 H, s), 8.34 (1 H, s), 8.28 (1 H, d, J = 7.9 Hz), 8.09–8.01 (2 H, m), 7.96 (1 H, d, J = 8.4 Hz), 7.68 (2 H, d, J = 8.7 Hz), 7.44 (1 H, t, J = 7.6 Hz), 7.40–7.29 (5 H, m), 7.29–7.21 (1 H, m), 4.90 (2 H, d, J = 6.2 Hz); 13C NMR (151 MHz, DMSO) δ 177.86, 140.56, 139.86, 138.10, 135.77, 135.11, 130.64, 130.30, 129.28, 128.68, 127.46, 127.21, 127.17, 126.44, 124.95, 123.68, 118.54, 113.48, 47.23. m/z calculated for C23H19ClN4O2S2 [M + H] + 483.0716, found 483.0943.
2-({1-[(4-Chlorophenyl)sulfonyl]-1H-indol-3-yl}methylene)-N-(4-nitrophenyl)hydrazine-1-carbothioamide. (5d)
Color: Light yellowish; Yield: 60%; m.p.: 231–232 °C; δH (400 MHz, DMSO-d6) 12.26 (1 H, s), 10.23 (1 H, s), 8.49 (1 H, s), 8.44 (1 H, s), 8.31–8.20 (3 H, m), 8.14–8.02 (4 H, m), 7.98 (1 H, d, J = 8.2 Hz), 7.76–7.65 (2 H, m), 7.46 (1 H, ddd, J = 8.4, 7.2, 1.4 Hz), 7.43–7.34 (1 H, m); 13C NMR (101 MHz, DMSO) δ 175.67, 146.07, 143.81, 140.63, 139.63, 135.74, 135.11, 130.96, 130.67, 129.31, 127.24, 126.51, 125.04, 124.50, 124.35, 123.58, 118.28, 113.53; m/z calculated for C22H16ClN5O4S2 ([M + H]+) 514.0410, found 514.0335.
2-({1-[(4-Chlorophenyl)sulfonyl]-1H-indol-3-yl}methylene)-N-methylhydrazine-1-carbothioamide. (5e)
Color: White; Yield: 66%; m.p.: 256–257 °C; δH (600 MHz, DMSO-d6) 11.53 (1 H, s), 8.33 (2 H, d, J = 11.3 Hz), 8.29 (1 H, s), 8.11 (1 H, q, J = 4.5 Hz), 8.08–8.04 (2 H, m), 7.96 (1 H, d, J = 8.3 Hz), 7.71–7.64 (2 H, m), 7.49–7.42 (1 H, m), 7.38 (1 H, t, J = 7.6 Hz), 3.36 (5 H, s); 13C NMR (151 MHz, DMSO) δ 177.98, 140.55, 137.64, 135.80, 135.10, 130.64, 130.12, 129.28, 127.19, 126.43, 124.97, 123.86, 118.61, 113.42, 31.67; m/z calculated for C17H15ClN4O2S2 ([M + H]+) 407.0403, found 407.0327.
2-({1-[(4-Chlorophenyl)sulfonyl]-1H-indol-3-yl}methylene)-N-phenylhydrazine-1-carbothioamide. (5f)
Color: White; Yield: 71%; m.p.: 224–225 °C; δH (600 MHz, DMSO-d6) 11.89 (1 H, s), 9.80 (1 H, s), 8.46 (1 H, s), 8.40 (1 H, s), 8.29 (1 H, d, J = 7.9 Hz), 8.07 (2 H, d, J = 8.5 Hz), 7.97 (1 H, d, J = 8.4 Hz), 7.70 (2 H, d, J = 8.4 Hz), 7.59 (2 H, d, J = 7.8 Hz), 7.45 (1 H, t, J = 7.8 Hz), 7.38 (3 H, td, J = 7.5, 4.6 Hz), 7.22 (1 H, t, J = 7.4 Hz); 13C NMR (151 MHz, DMSO) δ 176.29, 140.59, 139.66, 138.34, 135.78, 135.09, 130.67, 130.33, 129.29, 128.63, 127.34, 126.44, 126.23, 125.82, 125.01, 123.53, 118.47, 113.50; m/z calculated for C22H17ClN4O2S2 ([M + H]+) 469.0559, found 469.0485.
2-({1-[(4-Chlorophenyl)sulfonyl]-1H-indol-3-yl}methylene)-N-cyclohexylhydrazine-1-carbothioamide. (5 g)
Color: White shinny; Yield: 70%; m.p.: 222–223 °C; δH (600 MHz, DMSO-d6) 11.56 (1 H, s), 8.37 (1 H, s), 8.29 (1 H, s), 8.10 (1 H, d, J = 7.9 Hz), 8.08–8.01 (2 H, m), 7.98 (1 H, d, J = 8.3 Hz), 7.71–7.66 (2 H, m), 7.64 (1 H, d, J = 8.4 Hz), 7.48–7.43 (1 H, m), 7.40 (1 H, t, J = 7.6 Hz), 4.17 (1 H, qd, J = 10.2, 4.4 Hz), 1.92 (2 H, dq, J = 12.5, 4.1 Hz), 1.70 (2 H, dt, J = 13.3, 4.0 Hz), 1.57 (1 H, dt, J = 12.9, 4.1 Hz), 1.51–1.39 (2 H, m), 1.41–1.28 (2 H, m), 1.28–1.15 (1 H, m); 13C NMR (151 MHz, DMSO) δ 176.07, 140.56, 137.59, 135.76, 135.17, 130.63, 130.25, 129.29, 127.28, 126.46, 125.06, 122.98, 118.52, 113.71, 52.55, 32.16, 25.53, 24.96; m/z calculated for ([M + H]+) C22H23ClN4O2S2 475.1029, found 475.0953.
2-({1-[(4-Chlorophenyl)sulfonyl]-1H-indol-3-yl}methylene)-N-(2,3-dichlorophenyl)hydrazine-1-carbothioamide. (5 h)
Color: White; Yield: 84%; m.p.: 244–245 °C; δH (600 MHz, DMSO-d6) 12.16 (1 H, s), 9.79 (1 H, s), 8.46 (1 H, s), 8.42 (1 H, s), 8.39 (1 H, d, J = 7.9 Hz), 8.08 (2 H, d, J = 8.3 Hz), 7.97 (1 H, d, J = 8.4 Hz), 7.84 (1 H, d, J = 8.1 Hz), 7.70 (2 H, d, J = 8.3 Hz), 7.57 (1 H, d, J = 8.1 Hz), 7.44 (2 H, dt, J = 20.9, 7.9 Hz), 7.36 (1 H, t, J = 7.6 Hz); 13C NMR (151 MHz, DMSO) δ 176.43, 140.63, 139.34, 139.02, 135.77, 135.11, 132.06, 131.18, 130.68, 129.32, 128.68, 128.46, 128.02, 127.06, 126.53, 124.97, 123.79, 118.23, 113.50; m/z calculated for C22H15Cl3N4O2S2 ([M + H]+) 536.9780, found 537.1505.
2-({1-[(4-Chlorophenyl)sulfonyl]-1H-indol-3-yl}methylene)-N-(2,6-dimethylphenyl)hydrazine-1-carbothioamide. (5i)
Color: White; Yield: 77%; m.p.: 245–246 °C; δH (600 MHz, DMSO-d6) 11.78 (1 H, s), 9.46 (1 H, s), 8.47–8.40 (2 H, m), 8.39 (1 H, s), 8.12–8.02 (2 H, m), 7.95 (1 H, d, J = 8.3 Hz), 7.75–7.66 (2 H, m), 7.44 (1 H, t, J = 7.8 Hz), 7.33 (1 H, t, J = 7.6 Hz), 7.12 (3 H, q, J = 5.6 Hz), 2.21 (6 H, s); 13C NMR (151 MHz, DMSO) δ 176.98, 140.55, 138.10, 137.88, 137.07, 135.80, 135.09, 130.64, 130.31, 129.26, 128.06, 127.39, 127.27, 126.40, 124.93, 124.06, 118.65, 113.35, 18.55; m/z calculated for C24H21ClN4O2S2 ([M + H]+) 497.0872, found 497.0795.
2-({1-[(4-Chlorophenyl)sulfonyl]-1H-indol-3-yl}methylene)-N-(4-methylbenzyl)hydrazine-1-carbothioamide. (5j)
Color: Off white; Yield: 70%; m.p.: 205–206 °C; δH (600 MHz, DMSO-d6) 11.65 (1 H, s), 8.58 (1 H, t, J = 6.2 Hz), 8.37 (1 H, s), 8.33 (1 H, s), 8.26 (1 H, d, J = 7.9 Hz), 8.05 (2 H, d, J = 8.7 Hz), 7.96 (1 H, d, J = 8.4 Hz), 7.68 (2 H, d, J = 8.7 Hz), 7.48–7.39 (1 H, m), 7.33 (1 H, t, J = 7.6 Hz), 7.24 (2 H, d, J = 7.7 Hz), 7.13 (2 H, d, J = 7.8 Hz), 4.85 (2 H, d, J = 6.1 Hz), 2.27 (3 H, s); 13C NMR (151 MHz, DMSO) δ 177.74, 140.56, 138.01, 136.77, 136.22, 135.77, 135.11, 130.64, 130.26, 129.28, 129.22, 127.49, 127.21, 126.43, 124.94, 123.64, 118.54, 113.48, 46.99, 21.15; m/z calculated for C24H21ClN4O2S2 ([M + H]+) 497.0872, found 497.0795.
2-({1-[(4-Chlorophenyl)sulfonyl]-1H-indol-3-yl}methylene)-N-(3-methoxyphenyl)hydrazine-1-carbothioamide. (5k)
Color: White; Yield: 50%; m.p.: 221–222 °C; δH (600 MHz, DMSO-d6) 11.90 (1 H, s), 9.77 (1 H, s), 8.46 (1 H, s), 8.39 (1 H, s), 8.27 (1 H, d, J = 7.9 Hz), 8.11–8.04 (2 H, m), 7.97 (1 H, d, J = 8.3 Hz), 7.74–7.67 (2 H, m), 7.48–7.41 (1 H, m), 7.38 (1 H, t, J = 7.6 Hz), 7.34–7.23 (2 H, m), 7.20–7.14 (1 H, m), 6.79 (1 H, dd, J = 8.2, 2.5 Hz), 3.77 (3 H, s); 13C NMR (151 MHz, DMSO) δ 176.02, 159.55, 140.74, 140.59, 138.36, 135.77, 135.10, 130.67, 130.37, 129.36, 129.30, 127.33, 126.45, 125.02, 123.48, 118.46, 118.08, 113.53, 111.58, 111.21, 55.63; m/z calculated for C23H19ClN4O3S2 ([M + H]+) 499.0665, found 499.0589.
2-({1-[(4-Chlorophenyl)sulfonyl]-1H-indol-3-yl}methylene)-N-(3-nitrophenyl)hydrazine-1-carbothioamide. (5 L)
Color: White; Yield: 83%; m.p.: 230–231 °C; δH (600 MHz, DMSO-d6) 12.15 (1 H, s), 10.13 (1 H, s), 8.66 (1 H, t, J = 2.2 Hz), 8.48 (1 H, s), 8.43 (1 H, s), 8.32 (1 H, d, J = 7.9 Hz), 8.06 (4 H, td, J = 8.5, 2.3 Hz), 7.97 (1 H, d, J = 8.3 Hz), 7.70 (2 H, d, J = 8.7 Hz), 7.66 (1 H, t, J = 8.2 Hz), 7.46 (1 H, t, J = 7.6 Hz), 7.38 (1 H, t, J = 7.6 Hz); 13C NMR (151 MHz, DMSO) δ 176.30, 147.80, 140.98, 140.62, 139.40, 135.75, 135.10, 132.43, 130.76, 130.67, 129.78, 129.31, 127.28, 126.49, 125.02, 123.68, 120.16, 118.34, 113.50; m/z calculated for C22H16ClN5O4S2 ([M + H]+) 514.0410, found 514.0335.
N-(3-Chlorophenyl)-2-({1-[(4-chlorophenyl)sulfonyl]-1H-indol-3-yl}methylene)hydrazine-1-carbothioamide. (5 m)
Color: White; Yield: 83%; m.p.: 216–217 °C; δH (600 MHz, DMSO-d6) 12.02 (1 H, s), 9.89 (1 H, s), 8.47 (1 H, s), 8.41 (1 H, s), 8.29 (1 H, d, J = 7.9 Hz), 8.11–8.03 (2 H, m), 7.97 (1 H, d, J = 8.3 Hz), 7.79 (1 H, t, J = 2.1 Hz), 7.70 (2 H, d, J = 8.7 Hz), 7.60–7.53 (1 H, m), 7.49–7.43 (1 H, m), 7.39 (2 H, dt, J = 12.8, 7.8 Hz), 7.31–7.23 (1 H, m); 13C NMR (151 MHz, DMSO) δ 176.20, 141.20, 140.60, 138.89, 135.76, 135.09, 132.69, 130.66, 130.54, 130.15, 129.30, 127.30, 126.46, 125.64, 125.49, 125.01, 124.77, 123.60, 118.38, 113.49; m/z calculated for C22H16Cl2N4O2S2 ([M + H]+) 503.0170, found 503.0095.
N-(4-Chlorobenzyl)-2-({1-[(4-chlorophenyl)sulfonyl]-1H-indol-3-yl}methylene)hydrazine-1-carbothioamide. (5n)
Color: White shinny; Yield: 82%; m.p.: 214–215 °C; δH (600 MHz, DMSO-d6) 11.69 (1 H, s), 8.69 (1 H, t, J = 6.2 Hz), 8.37 (1 H, s), 8.34 (1 H, s), 8.30 (1 H, d, J = 7.9 Hz), 8.09–8.02 (2 H, m), 7.96 (1 H, d, J = 8.4 Hz), 7.72–7.64 (2 H, m), 7.48–7.42 (1 H, m), 7.42–7.33 (5 H, m), 4.88 (2 H, d, J = 6.2 Hz); 13C NMR (151 MHz, DMSO) δ 177.91, 140.57, 139.00, 138.30, 135.77, 135.10, 131.66, 130.64, 130.35, 129.36, 129.28, 128.59, 127.19, 126.44, 124.97, 123.74, 118.51, 113.46, 46.59; m/z calculated for C23H18Cl2N4O2S2 ([M + H]+) 517.0326, found 517.0250.
2-({1-[(4-Chlorophenyl)sulfonyl]-1H-indol-3-yl}methylene)-N-phenethylhydrazine-1-carbothioamide. (5o)
Color: White; Yield: 60%; m.p.: 227–228 °C; δH (600 MHz, DMSO-d6) 11.59 (1 H, s), 8.34 (1 H, s), 8.28 (1 H, s), 8.10 (1 H, d, J = 7.9 Hz), 7.96 (1 H, d, J = 8.4 Hz), 7.72–7.66 (2 H, m), 7.46 (1 H, ddd, J = 8.4, 7.3, 1.3 Hz), 7.39–7.33 (1 H, m), 7.34–7.28 (4 H, m), 7.22 (1 H, td, J = 6.1, 2.8 Hz), 3.85 (2 H, dt, J = 8.2, 6.2 Hz), 2.95 (2 H, t, J = 7.5 Hz); 13C NMR (151 MHz, DMSO) δ 177.17, 140.57, 139.67, 137.96, 135.77, 135.12, 130.65, 130.41, 129.30, 129.06, 128.93, 127.13, 126.69, 126.45, 125.02, 123.56, 118.50, 113.49, 45.41, 35.16; m/z calculated for C24H21ClN4O2S2 ([M + H]+) 497.0872, found 497.0796.
2-({1-[(4-Chlorophenyl)sulfonyl]-1H-indol-3-yl}methylene)-N-isobutylhydrazine-1-carbothioamide. (5p)
Color: White; Yield: 80%; m.p.: 239–240 °C; δH (600 MHz, DMSO-d6) 11.54 (1 H, s), 8.36 (1 H, s), 8.30 (1 H, s), 8.24 (1 H, d, J = 7.9 Hz), 8.10–8.03 (3 H, m), 7.97 (1 H, d, J = 8.4 Hz), 7.71–7.65 (2 H, m), 7.45 (1 H, ddd, J = 8.4, 7.2, 1.3 Hz), 7.41–7.33 (1 H, m), 3.46 (2 H, t, J = 6.5 Hz), 2.01 (1 H, hept, J = 6.8 Hz), 0.91 (6 H, d, J = 6.7 Hz); 13C NMR (151 MHz, DMSO) δ 177.49, 140.55, 137.63, 135.77, 135.16, 130.63, 130.26, 129.28, 127.25, 126.45, 124.95, 123.46, 118.61, 113.58, 51.18, 28.31, 20.43; m/z calculated for C20H21ClN4O2S2 ([M + H]+) 449.0872, found 449.0795.
2-({1-[(4-Chlorophenyl)sulfonyl]-1H-indol-3-yl}methylene)-N-(3-(methylthio)propyl)hydrazine-1-carbothioamide. (5q)
Color: White; Yield: 68%; m.p.: 172–173 °C; δH (600 MHz, DMSO-d6) 11.53 (1 H, s), 8.35 (1 H, s), 8.28 (2 H, d, J = 13.1 Hz), 8.18 (1 H, t, J = 6.0 Hz), 8.09–8.02 (2 H, m), 7.96 (1 H, d, J = 8.3 Hz), 7.73–7.65 (2 H, m), 7.45 (1 H, ddd, J = 8.4, 7.3, 1.3 Hz), 7.42–7.35 (1 H, m), 3.69 (2 H, q, J = 6.7 Hz), 2.56–2.49 (3 H, m), 2.06 (3 H, s), 1.90 (2 H, p, J = 7.2 Hz); 13C NMR (151 MHz, DMSO) δ 177.29, 140.56, 137.79, 135.78, 135.12, 130.64, 130.21, 129.29, 127.22, 126.45, 124.96, 123.65, 118.58, 113.50, 43.31, 31.25, 28.68, 15.16; m/z calculated for C20H21ClN4O2S3 ([M + H]+) 481.0593, found 481.0517.
2-({1-[(4-Chlorophenyl)sulfonyl]-1H-indol-3-yl}methylene)-N-(2-(trifluoromethyl)phenyl)hydrazine-1-carbothioamide. (5r)
Color: White; Yield: 83%; m.p.: 236–237 °C; δH (600 MHz, DMSO-d6) 12.14 (1 H, s), 9.58 (1 H, s), 8.45 (1 H, s), 8.42 (1 H, s), 8.31 (1 H, d, J = 7.9 Hz), 8.12–8.04 (2 H, m), 7.97 (1 H, d, J = 8.4 Hz), 7.80–7.75 (2 H, m), 7.73 (1 H, td, J = 7.7, 1.5 Hz), 7.71–7.67 (2 H, m), 7.52 (1 H, t, J = 7.6 Hz), 7.44 (1 H, ddd, J = 8.3, 7.2, 1.2 Hz), 7.36–7.29 (1 H, m); 13C NMR (151 MHz, DMSO) δ 177.22, 140.63, 139.18, 137.68, 135.77, 135.13, 132.88, 132.34, 131.25, 130.67, 129.32, 127.55, 127.03, 126.49 (q, 3JF−C = 4.8 Hz, 126.52 126.50, 126.46, 126.43), 126.52, 126.49, 126.46, 126.01, 125.82, 125.07, 124.90, 123.67, 123.26, 118.25, 113.49; m/z calculated for C23H16ClF3N4O2S2 ([M + H]+) 537.0433, found 537.0358.
N-(4-Bromophenyl)-2-({1-[(4-chlorophenyl)sulfonyl]-1H-indol-3-yl}methylene)hydrazine-1-carbothioamide. (5s)
Color: White; Yield: 70%; m.p.: 236–237 °C; δH (600 MHz, DMSO-d6) 11.97 (1 H, s), 9.84 (1 H, s), 8.46 (1 H, s), 8.40 (1 H, s), 8.28 (1 H, d, J = 7.9 Hz), 8.10–8.05 (2 H, m), 7.97 (1 H, d, J = 8.3 Hz), 7.72–7.67 (2 H, m), 7.61–7.53 (4 H, m), 7.45 (1 H, ddd, J = 8.4, 7.2, 1.3 Hz), 7.40–7.34 (1 H, m); 13C NMR (151 MHz, DMSO) δ 176.23, 140.60, 139.12, 138.73, 135.77, 135.08, 131.43, 130.67, 130.46, 129.30, 128.21, 127.30, 126.46, 125.00, 123.58, 118.41, 118.03, 113.49; m/z calculated for C22H16BrClN4O2S2 ([M + H]+) 546.9664, found 546.9588.
2-({1-[(4-Chlorophenyl)sulfonyl]-1H-indol-3-yl}methylene)-N-(2,6-difluorophenyl)hydrazine-1-carbothioamide. (5t)
Color: White; Yield: 75%; m.p.: 232–233 °C; δH (600 MHz, DMSO-d6) 12.13 (1 H, s), 9.39 (1 H, s), 8.46 (1 H, s), 8.41 (2 H, d, J = 10.4 Hz), 8.12–8.05 (2 H, m), 7.96 (1 H, d, J = 8.4 Hz), 7.74–7.67 (2 H, m), 7.45 (2 H, tdd, J = 6.5, 5.2, 1.7 Hz), 7.38–7.32 (1 H, m), 7.20 (2 H, t, J = 8.0 Hz); 13C NMR (151 MHz, DMSO) δ 178.16, 160.43 (d, 1JF−C = 244.5 Hz, 160.43 and 158.81), 140.61, 139.41, 135.77, 135.06, 130.82, 130.68, 129.48, 129.31, 127.13, 126.48, 124.95, 123.97, 118.26, 117.62, 113.38, 112.26, 112.23, 112.11; m/z calculated for C22H15ClF2N4O2S2 ([M + H]+) 505.037, found 505.0295.
N-(4-Bromo-2-fluorophenyl)-2-({1-[(4-chlorophenyl)sulfonyl]-1H-indol-3-yl}methylene)hydrazine-1-carbothioamide. (5u)
Color: White; Yield: 80%; m.p.: 225–226 °C; δH (600 MHz, DMSO-d6) 12.13 (1 H, s), 9.62 (1 H, s), 8.46 (1 H, s), 8.41 (1 H, s), 8.33 (1 H, d, J = 7.9 Hz), 8.11–8.04 (2 H, m), 7.97 (1 H, d, J = 8.4 Hz), 7.73–7.67 (3 H, m), 7.65 (1 H, dd, J = 9.7, 2.2 Hz), 7.50–7.41 (2 H, m), 7.36 (1 H, t, J = 7.5 Hz); 13C NMR (151 MHz, DMSO) δ 176.92, 158.18 (d, 1JF−C = 251.4 Hz, 158.18 and 156.51), 140.62, 139.24, 135.76, 135.10, 131.32, 130.94, 130.68, 129.31, 127.64, 127.61, 127.59, 127.52, 127.12, 126.50, 124.97, 123.69, 119.56, 119.40, 119.24, 119.18, 118.24, 113.48; m/z calculated for C22H15BrClFN4O2S2 ([M + H]+) 564.9570, found 564.9495.
2-({1-[(4-Chlorophenyl)sulfonyl]-1H-indol-3-yl}methylene)hydrazine-1-carbothioamide. (5v)
Color: White; Yield: 80%; m.p.: 238–239 °C; δH (600 MHz, DMSO-d6) 11.50 (1 H, s), 8.35 (1 H, s), 8.34–8.24 (3 H, m), 8.08–8.02 (2 H, m), 7.95 (1 H, d, J = 8.4 Hz), 7.70–7.62 (3 H, m), 7.44 (1 H, ddd, J = 8.5, 7.3, 1.3 Hz), 7.38–7.32 (1 H, m);13C NMR (151 MHz, DMSO) δ 178.05, 140.55, 138.12, 135.79, 135.10, 130.63, 130.41, 129.27, 127.16, 126.41, 125.04, 123.96, 118.57, 113.40; m/z calculated for C16H13ClN4O2S2 ([M + H]+) 393.0246, found 393.0170.
2-({1-[(4-Chlorophenyl)sulfonyl]-1H-indol-3-yl}methylene)-N-(2,6-dichlorophenyl)hydrazine-1-carbothioamide. (5w)
Color: White; Yield: 70%; m.p.: 225–226 °C; δH (600 MHz, DMSO-d6) 12.04 (1 H, s), 9.66 (1 H, s), 8.43 (2 H, d, J = 7.0 Hz), 8.40 (1 H, s), 8.10–8.04 (2 H, m), 7.96 (1 H, d, J = 8.4 Hz), 7.73–7.67 (2 H, m), 7.56 (2 H, d, J = 8.1 Hz), 7.45 (1 H, ddd, J = 8.4, 7.2, 1.3 Hz), 7.39 (1 H, t, J = 8.1 Hz), 7.37–7.32 (1 H, m); 3C NMR (151 MHz, DMSO) δ 177.30, 140.59, 138.96, 135.84, 135.78, 135.08, 130.72, 130.67, 129.82, 129.29, 128.76, 127.17, 126.47, 124.95, 124.11, 118.40, 113.36; m/z calculated for C22H15Cl3N4O2S2 ([M + H]+) 536.9780, found 536.9705.
2-({1-[(4-Chlorophenyl)sulfonyl]-1H-indol-3-yl}methylene)-N-(2,4-dimethylphenyl)hydrazine-1-carbothioamide. (5x)
Color: White; Yield: 79%; m.p.: 236–237 °C; δH (600 MHz, DMSO-d6) 11.80 (1 H, s), 9.51 (1 H, s), 8.43 (1 H, s), 8.38 (1 H, s), 8.36 (1 H, d, J = 7.9 Hz), 8.09–8.03 (2 H, m), 7.96 (1 H, d, J = 8.3 Hz), 7.73–7.66 (2 H, m), 7.44 (1 H, ddd, J = 8.4, 7.2, 1.2 Hz), 7.38–7.31 (1 H, m), 7.23 (1 H, d, J = 7.9 Hz), 7.11–7.06 (1 H, m), 7.03 (1 H, dd, J = 8.1, 2.1 Hz), 2.29 (3 H, s), 2.21 (3 H, s); 13C NMR (151 MHz, DMSO) δ 177.04, 140.57, 138.08, 136.23, 136.04, 135.80, 135.39, 135.08, 131.07, 130.66, 130.29, 129.28, 128.92, 127.27, 126.88, 126.42, 124.92, 123.77, 118.55, 113.43, 21.08, 18.21; m/z calculated for C24H21ClN4O2S2 ([M + H]+) 497.0872, found 497.0795.
2-({1-[(4-Chlorophenyl)sulfonyl]-1H-indol-3-yl}methylene)-N-(naphthalen-1-yl)hydrazine-1-carbothioamide. (5y)
Color: White; Yield: 80%; m.p.: 234–235 °C; δH (600 MHz, DMSO-d6) 11.99 (1 H, s), 10.05 (1 H, s), 8.48 (2 H, d, J = 6.3 Hz), 8.41 (1 H, d, J = 8.0 Hz), 8.12–8.04 (2 H, m), 8.02–7.95 (2 H, m), 7.91 (2 H, ddd, J = 9.4, 5.9, 2.8 Hz), 7.73–7.67 (2 H, m), 7.62–7.50 (4 H, m), 7.43 (1 H, ddd, J = 8.4, 7.2, 1.2 Hz), 7.31 (1 H, t, J = 7.5 Hz); 13C NMR (151 MHz, DMSO) δ 178.01, 140.59, 138.43, 136.23, 135.80, 135.10, 134.20, 131.08, 130.67, 130.39, 129.29, 128.53, 127.40, 127.31, 126.91, 126.63, 126.51, 126.43, 125.93, 124.91, 123.82, 123.67, 118.56, 113.43; m/z calculated for C26H19ClN4O2S2 ([M + H]+) 519.0716, found 519.0639.
In-silico studies
Molecular docking studies were carried out using BioSolveIT’s LeadIT software (v 3.2.1; BioSolveIT GmbH, 2024). Visualization of docked conformations and interactions with binding site amino acids was performed using BIOVIA Discovery Studio Visualizer (v 4.5; BIOVIA, Dassault Systèmes, 2019). The crystal structure of S. cerevisiae α-glucosidase is not available from the PDB; hence its homology model was built and validated according to our already reported method. The most active inhibitors 5u, 5w, and 5 h were selected. A total of 10 docked conformations were generated for each inhibitor; finally, the conformation having the most favorable docking score was selected for further evaluation. The MD simulation study of inhibitor 5u-α-Glucosidase complex was performed on the Desmond Module (D.E. Shaw) in Schrödinger Maestro 2024.4 for 150 ns52. The complex of inhibitor 5u with α-glucosidase was used. Protein Preparation was used for pre-processing, refinement, and Capping of the termini of the protein structure, and then the hydrogen bond assignment was optimized. Solvation was carried out through the system builder panel by a pre-defined TIP3P solvent model, an orthorhombic box shape was used with buffer dimensions of 10 Å x 10 Å x 10 Å and minimized volume. Ions placement for neutralization was used as the provided default calculated by software, and 0.15 M NaCl salt was also added to simulate the biological natural environments53. In the Molecular Dynamics panel, 150 ns (nanoseconds) time of simulation was entered. In contrast, the trajectory of the simulation was set to be recorded after every 150 ps (picoseconds) which resulted in approximately 1000 frames. The system was run using the default relaxation protocol, NPT ensemble at 300 K temperature and 1.01325 bar pressure using Nosé-Hoover chain thermostat, and Martyna-Tobias-Klein barostat settings were used for the production run of 150ns simulation for the complex. The analysis of results was performed using the Simulations Interaction Diagram panel along with trajectory analysis. The three-dimensional structures of the screened hit compounds were sketched using GaussView 6.0, followed by their full geometry optimization with the aid of the Gaussian 16 software suite utility54,55,56 All calculations were computed in the gas phase using the B3LYP functional, employing B3LYP/6-311 + + G(d, p) basis set57 and empirical dispersion (GD3). To ascertain that the optimized geometrical configurations represented the true local minima on the potential energy surface, vibrational frequency analyses were performed. In addition to structural data, electronic properties were explored through the calculation of frontier molecular orbitals (FMOs), specifically the highest occupied molecular orbital (HOMO) and the lowest unoccupied molecular orbital (LUMO). These orbitals are of significant value to assess notable quantum chemical descriptors such as chemical reactivity, electrophilicity, chemical softness, chemical hardness, electron affinity and ionization potential, which were derived from the HOMO/LUMO energy gap (ΔƐ)55,58. To further seek out molecular potential regions likely to engage in electrophilic or nucleophilic attacks, Molecular Electrostatic Potential (MEP) maps were also rendered58,59. These MEP analyses, analyzed under the same DFT framework, furnished a quantitative and visual apprehension of the electronic landscape surrounding each hit compound.
Post-molecular dynamics simulation analyses
PCA and DCCM analyses
For the assessment of the collective movement of the protein and correlated residues movements, Principal Component Analysis (PCA) and Dynamic cross-correlation matrix (DCCM) analyses were performed using the Bio3D package version 2.4.560 in the R programming environment version 4.5.161. Appropriate topology and trajectory conversion (without waters and ions) of the simulation files for the Bio3D acceptable format was obtained through the VMD (Visual Molecular Dynamics) program version 2.0.0a462. Three atom selections were analyzed from MD simulation study, (A) All Cα of protein, (B) binding site residues within 5 Å of 5u ligand (5u’s atoms excluded), (C) binding site residues within 5 Å of ligand 5u including the ligand’s atoms (total 73 atoms, Cα of residues within 5 Å of 5u, 1–25, ligand atoms 26–73). MDAnalysis version 2.9.063,64 was used to calculate the residues within 5 Å distance of the ligand atoms.
Free energy landscape analysis
Free Energy Landscape (FEL) analysis based on the RG-RMSD method was performed to access the energy and stability of the protein-ligand complex using Geo Measures v0.9d65 plugin in PyMol version 3.1.0 open-source build66.
α-glucosidase inhibition assay
In recent research, a 50 mM phosphate buffer with a pH of 6.8 was used. Both the enzyme and the substrate were dissolved in this buffer. Furthermore, the experiments used the same buffer as the reaction buffer. Two units of the enzyme were dissolved for every two milliliters of reaction volume. 20 µL of test samples at a concentration of 0.5 mM and 135 µL of the reaction buffer per well were added to the 96-well plate along with this quantity of enzyme, which is equal to 0.02 u per well67,68,69,70. The 96-well plate was incubated for an additional 15 min at 37 °C. Following the incubation time, each well received 25 µL of the substrate 4-nitrophenyl-α-D-glucopyranoside. Absorbance was measured at 400 nm for 30 min to observe variations caused by the substrate’s varying concentrations. 7% DMSO served as the negative control in this experiment, whereas acarbose served as the positive control. Although the general process was the same, various doses of 4-nitrophenyl-α-D-glucopyranoside (substrate) were used to investigate the kinetics of enzyme inhibition (Figs. S51–52).
Statistical analysis
Programs such as Excel and the SoftMax Pro suite were used to examine the obtained findings for biological activity.
The formula below was used to calculate the percent inhibition.
For all studied samples, EZ-FIT (Perrella Scientific, Inc., USA) was utilised to calculate the IC50. All experiments were conducted in triplicate to minimise anticipated errors, and Standard Error of Mean values (SEM) are used to represent differences in the results.
Conclusion
In summary, this work introduces a structurally novel series of N-substituted indole-based thiosemicarbazones exhibiting exceptional α-glucosidase inhibitory activity, with all compounds significantly outperforming the standard inhibitor, acarbose. Relative to previously reported inhibitors, these derivatives offer both enhanced potency and unique pharmacophoric architecture, thereby addressing a critical gap in current antidiabetic drug development. Compound 5u, in particular, demonstrated superior binding affinity and stability within the enzyme active site, as confirmed by molecular docking and dynamic simulation studies. Future work will focus on in vivo validation, pharmacokinetic assessment, and structural optimization to enhance its drug-like properties. These efforts will provide critical insights into the translational potential of this scaffold and support the development of next-generation antidiabetic therapeutics. The quantum chemical descriptors’ analysis validates the original steric/electronic SAR hypothesis and explains the significant activity improvements. These parameters not only support the observed potency ranking (5u > 5 h ≈ 5w > 5s > others) but also provide predictive guidance for future structural optimization.
Data availability
All data generated or analyzed during this study are included in this published article [and its supplementary information files.
References
Saeedi, P. et al. Global and regional diabetes prevalence estimates for 2019 and projections for 2030 and 2045: results from the international diabetes federation diabetes atlas. Diabetes Res. Clin. Pract. 157, 107843 (2019).
Szczechla, M., Balewska, A., Naskręt, D., Zozulińska-Ziółkiewicz, D. & Uruska, A. Molecular changes in cells of patients with type 2 diabetes mellitus depending on changes in glycemia level in the context of Lifestyle—An overview of the latest scientific discoveries. Curr. Issues. Mol. Biol. 45 (3), 1961–1981 (2023).
Committee, A. D. A. P. P. & Committee:, A. D. A. P. P. 2. Classification and diagnosis of diabetes: standards of medical care in Diabetes—2022. Diabetes Care. 45 (Supplement_1), S17–S38 (2022).
Tancredi, M. et al. Excess mortality among persons with type 2 diabetes. N. Engl. J. Med. 373 (18), 1720–1732 (2015).
Lawrence, J. M. et al. Trends in prevalence of type 1 and type 2 diabetes in children and adolescents in the US, 2001–2017. Jama 326 (8), 717–727 (2021).
Kahn, S. E., Cooper, M. E. & Del Prato, S. Pathophysiology and treatment of type 2 diabetes: perspectives on the past, present, and future. Lancet 383 (9922), 1068–1083 (2014).
Baena-Díez, J. M. et al. Risk of cause-specific death in individuals with diabetes: a competing risks analysis. Diabetes Care. 39 (11), 1987–1995 (2016).
Al-Maskari, F., El-Sadig, M. & Nagelkerke, N. Assessment of the direct medical costs of diabetes mellitus and its complications in the united Arab Emirates. BMC public. Health. 10, 1–10 (2010).
Ye, J. et al. The global, regional and National burden of type 2 diabetes mellitus in the past, present and future: a systematic analysis of the global burden of disease study 2019. Front. Endocrinol. 14, 1192629 (2023).
Weinberg Sibony, R., Segev, O., Dor, S. & Raz, I. Drug therapies for diabetes. Int. J. Mol. Sci. 24 (24), 17147 (2023).
Nyenwe, E. A., Jerkins, T. W., Umpierrez, G. E. & Kitabchi, A. E. Management of type 2 diabetes: evolving strategies for the treatment of patients with type 2 diabetes. Metabolism 60 (1), 1–23 (2011).
Dirir, A. M., Daou, M., Yousef, A. F. & Yousef, L. F. A review of alpha-glucosidase inhibitors from plants as potential candidates for the treatment of type-2 diabetes. Phytochem. Rev. 21 (4), 1049–1079 (2022).
Roshan, M., Mirzazadeh, R., Tajmir-Riahi, A. & Asgari, M. S. Rational design, synthesis, in vitro, and in-silico studies of pyrazole–phthalazine hybrids as new α–glucosidase inhibitors. Sci. Rep. 15 (1), 3744 (2025).
Wang, G. et al. Synthesis, biological evaluation and molecular Docking studies of Chromone hydrazone derivatives as α-glucosidase inhibitors. Bioorg. Med. Chem. Lett. 27 (13), 2957–2961 (2017).
Mollica, A. et al. Combinatorial peptide library screening for discovery of diverse α-glucosidase inhibitors using molecular dynamics simulations and binary QSAR models. J. Biomol. Struct. Dynamics. 37 (3), 726–740 (2019).
Hsieh, J. F. et al. Antioxidant activity and Inhibition of α-glucosidase by hydroxyl-functionalized 2-arylbenzo [b] furans. Eur. J. Med. Chem. 93, 443–451 (2015).
Ghomi, M. K. et al. Evaluation of novel 2-(quinoline-2-ylthio) acetamide derivatives linked to diphenyl-imidazole as α-glucosidase inhibitors: insights from in silico, in vitro, and in vivo studies on their anti-diabetic properties. Eur. J. Med. Chem. 269, 116332 (2024).
Mushtaq, A., Azam, U., Mehreen, S. & Naseer, M. M. Synthetic α-glucosidase inhibitors as promising anti-diabetic agents: recent developments and future challenges. Eur. J. Med. Chem. 249, 115119 (2023).
Abuelizz, H. A. et al. Triazoloquinazolines as a new class of potent α-glucosidase inhibitors: in vitro evaluation and docking study. PLoS ONE 14 (8), e0220379. (2019).
Fan, M., Zhong, X., Huang, Y., Peng, Z. & Wang, G. Synthesis, biological evaluation and molecular Docking studies of Chromone derivatives as potential α-glucosidase inhibitors. J. Mol. Struct. 1274, 134575 (2023).
Wang, L. et al. Synthesis and evaluation of Phenyltriazole-Deoxynojirimycin hybrids as potent α-Glucosidase inhibitors. Molecules 29 (21), 5062 (2024).
Singh, T. P. & Singh, O. M. Recent progress in biological activities of Indole and Indole alkaloids. Mini Rev. Med. Chem. 18 (1), 9–25 (2018).
Locock, K. E. et al. Antimicrobial polymethacrylates synthesized as mimics of tryptophan-rich cationic peptides. ACS Macro Lett. 3 (4), 319–323 (2014).
Singh, R. V., Rana, L. & Bendi, R. A. Chemistry of quinoline based heterocycle scaffolds: a comprehensive review. ChemistrySelect 7 (46), e202203648. (2022).
Islam, M. S. et al. Catalytic asymmetric synthesis of Indole derivatives as novel α-glucosidase inhibitors in vitro. Bioorg. Chem. 79, 350–354 (2018).
Khan, M. et al. Discovery of novel oxindole derivatives as potent α-glucosidase inhibitors. Bioorg. Med. Chem. 22 (13), 3441–3448 (2014).
Kawde, A. N. et al. Exploring efficacy of indole-based dual inhibitors for α-glucosidase and α-amylase enzymes: in silico, biochemical and kinetic studies. Int. J. Biol. Macromol. 154, 217–232 (2020).
Solangi, M. et al. Indole acrylonitriles as potential anti-hyperglycemic agents: Synthesis, α-glucosidase inhibitory activity and molecular Docking studies. Bioorg. Med. Chem. 28 (21), 115605 (2020).
Sharma, P., Gupta, G. & Asati, V. Design, synthesis and antidiabetic study of Triazole clubbed Indole derivatives as α-glucosidase inhibitors. Bioorg. Chem. 139, 106750 (2023).
Altunoluk, O. C., Özbek, O., Kalay, E., Tokalı, F. S. & Aslan, O. N. Surface characterization of barium (II)-selective potentiometric sensor based on a newly synthesized thiosemicarbazone derivative molecule. Electroanalysis 36 (7), e202300407. (2024).
Batool, Z. et al. Design, synthesis, and in vitro and in Silico study of 1-benzyl-indole hybrid thiosemicarbazones as competitive tyrosinase inhibitors. RSC Adv. 14 (39), 28524–28542 (2024).
Batool, Z. et al. N-hexylsulfonyl indole based thiosemicarbazones as potent and selective ecto-5′-nucleotidase and NTPDase inhibitors. Bioorg. Chem. 108717. (2025).
Manaf, A. et al. Characterization and antioxidant activities of semicarbazide and thiosemicarbazide derivatives. J. Chem. Soc. Pakistan 43 (4). (2021).
Jacob, Í. T. et al. Anti-inflammatory activity of novel thiosemicarbazone compounds indole-based as COX inhibitors. Pharmacol. Rep. 73, 907–925 (2021).
Shakya, B. & Yadav, P. N. Thiosemicarbazones as potent anticancer agents and their modes of action. Mini Rev. Med. Chem. 20 (8), 638–661 (2020).
Kaplancıklı, Z. A., Altıntop, M. D., Sever, B., Cantürk, Z. & Özdemir, A. Synthesis and in vitro evaluation of new thiosemicarbazone derivatives as potential antimicrobial agents. J. Chem. 2016 (1), 1692540. (2016).
Batool, Z. et al. Design, synthesis, QSAR modelling and molecular dynamic simulations of N-tosyl-indole hybrid thiosemicarbazones as competitive tyrosinase inhibitors. Sci. Rep. 14 (1), 25754 (2024).
Rasool, A. et al. Bis-pharmacophore of cinnamaldehyde-clubbed thiosemicarbazones as potent carbonic anhydrase-II inhibitors. Sci. Rep. 12 (1), 16095 (2022).
Kim, S. J. et al. Bioprinting methods for fabricating in vitro tubular blood vessel models. Cyborg Bionic Syst. 4, 0043 (2023).
Pasha, A. R. et al. Synthesis, in vitro α-glucosidase inhibitory potential and in Silico study of 2–chloro pyridine incorporated thiosemicarbazones. J. Mol. Struct. 1317, 139089 (2024).
Islam, M. et al. Design, synthesis, in vitro, and in Silico studies of 4-fluorocinnamaldehyde based thiosemicarbazones as urease inhibitors. Sci. Rep. 15 (1), 609 (2025).
Tokalı, F. S., Taslimi, P., Usanmaz, H., Karaman, M. & Şendil, K. Synthesis, characterization, biological activity and molecular Docking studies of novel schiff bases derived from thiosemicarbazide: biochemical and computational approach. J. Mol. Struct. 1231, 129666 (2021).
Kang, L. et al. Structure–activity relationship investigation of coumarin–chalcone hybrids with diverse side-chains as acetylcholinesterase and butyrylcholinesterase inhibitors. Mol. Diversity. 22, 893–906 (2018).
Tokalı, F. S. et al. Synthesis of new carboxylates and sulfonates containing thiazolidin-4-one ring and evaluation of inhibitory properties against some metabolic enzymes. J. Iran. Chem. Soc. 20 (10), 2631–2642 (2023).
Ullah, W. et al. Synthesis of Indole based sulfonamide derivatives as potent inhibitors of α-glucosidase and α-amylase in management of type-II diabetes. Chem. Data Collections. 50, 101122 (2024).
Hu, C. et al. Synthesis and biological evaluation of Indole derivatives containing thiazolidine-2, 4-dione as α-glucosidase inhibitors with antidiabetic activity. Eur. J. Med. Chem. 264, 115957 (2024).
Ullah, A. et al. Synthesis of new indole‐Based thiazole derivatives as potential antiglycation and anti α‐Glucosidase agents: in vitro and in Silico studies. ChemistrySelect 8 (47), e202301884 (2023).
Gul, S. et al. Discovering the anti-diabetic potential of thiosemicarbazone derivatives: in vitro α-glucosidase, α-amylase inhibitory activities with molecular Docking and DFT investigations. J. Mol. Struct. 1312, 138671 (2024).
Zahra, S. B. et al. Synthesis of novel coumarin-based thiosemicarbazones and their implications in diabetic management via in-vitro and in-silico approaches. Sci. Rep. 13 (1), 18014 (2023).
Ni, X., Luo, X., Jiang, X., Chen, W. & Bai, R. Small-Molecule tyrosinase inhibitors for treatment of hyperpigmentation. Molecules 30 (4), 788 (2025).
Chaudhry, F. et al. A. In search of new α-glucosidase inhibitors: Imidazolylpyrazole derivatives. Bioorg. Chem. 71, 102–109 (2017).
Release, S. 4: Desmond Molecular Dynamics System. (DE Shaw Research, 2017).
Bashir, M., Abdullah, U., Siddique, F. & Jalal, N. Computational advances in the design and discovery of Artemis inhibitors for radiosensitization in cancer therapy. Front. Chem. 13, 1597454 (2025).
Abida Ejaz, S. et al. Computational exploration of fluorocyclopentenyl-purines and‐pyrimidines derivatives as potential inhibitors of epidermal growth factor receptor (EGFR) for the treatment of breast cancer. Chem. Biodivers. 20 (12), e202301190. (2023).
Bashir, M. et al. Computational insights into Structural, optoelectronic and charge transfer properties of monocarbonyl Curcumin derivatives for biomedical and photonic applications. J. Comput. Biophys. Chem. 25 (2), 185–211 (2026).
Wajid, M. et al. Synthesis, biological Assessment, and computational analysis of sulfathiazole schiff bases. J. Comput. Biophys. Chem. 25 (6), 893–917 (2026).
Tirado-Rives, J. & Jorgensen, W. L. Performance of B3LYP density functional methods for a large set of organic molecules. J. Chem. Theory Comput. 4 (2), 297–306 (2008).
Naseer, I. et al. Antidiabetic assessment, metal chelating impacts, and computational modeling of 4-fluorophenyl sulfonyl-indole based hydrazones. J. Mol. Struct. 143878. (2025).
Sheikhi, M., Balali, E. & Lari, H. Theoretical investigations on molecular structure, NBO, HOMO-LUMO and MEP analysis of two crystal structures of N-(2-benzoyl-phenyl) oxalyl: A DFT study. J. Phys. Theoretical Chem. 13 (2), 155–169 (2016).
Grant, B. J., Rodrigues, A. P., ElSawy, K. M., McCammon, J. A. & Caves, L. Bio3d: an R package for the comparative analysis of protein structures. Bioinformatics 22 (21), 2695–2696 (2006).
Team, R. C. R: A Language and Environment for Statistical Computing. (R Foundation for Statistical Computing, 2016).
Humphrey, W., Dalke, A. & Schulten, K. VMD: visual molecular dynamics. J. Mol. Graph. 14 (1), 33–38 (1996).
Gowers, R. J. et al. MDAnalysis: a Python Package for the Rapid Analysis of Molecular Dynamics Simulations (Los Alamos National Laboratory (LANL), 2019).
Michaud-Agrawal, N., Denning, E. J., Woolf, T. B. & Beckstein, O. MDAnalysis: a toolkit for the analysis of molecular dynamics simulations. J. Comput. Chem. 32 (10), 2319–2327 (2011).
Kagami, L. P., das Neves, G. M., Timmers, L. F. S. M., Caceres, R. A. & Eifler-Lima, V. L. Geo-Measures: A PyMOL plugin for protein structure ensembles analysis. Comput. Biol. Chem. 87, 107322 (2020).
Schrodinger, L. The PyMOL molecular graphics system. Version 1, 8 (2015).
Jenis, J. et al. Competitive α-glucosidase inhibitors, dihydrobenzoxanthones, from the barks of Artocarpus elasticus. J. Enzyme Inhib. Med. Chem. 34 (1), 1623–1632 (2019).
Basri, R. et al. Synthesis, biological evaluation and molecular modelling of 3-Formyl-6-isopropylchromone derived thiosemicarbazones as α-glucosidase inhibitors. Bioorg. Chem. 139, 106739 (2023).
Farooqi, R. et al. Design, synthesis, in-vitro and in-silico studies of novel N-heterocycle based hydrazones as α-glucosidase inhibitors. Bioorg. Chem. 156, 108155 (2025).
Alharthy, R. D. et al. Synthesis of the chromone-thiosemicarbazone scaffold as promising α‐glucosidase inhibitors: an in vitro and in Silico approach toward antidiabetic drug design. Arch. Pharm. 357 (8), 2400140 (2024).
Acknowledgements
This work was funded by the Ongoing Research Funding program (ORF-2025-1100), King Saud University, Riyadh, Saudi Arabia. Z.S. is grateful to the Alexander von Humboldt Foundation for the award of Return Fellowship.
Funding
This work was funded by the Ongoing Research Funding program (ORF-2025-1100), King Saud University, Riyadh, Saudi Arabia.
Author information
Authors and Affiliations
Contributions
I.N. and J.H. designed and synthesized the compounds; S.U. and A.K. performed the enzyme inhibition assay; M.a-R, T.I., and M.S.I. performed molecular modeling studies; A.M.T. carried out characterization and Funding acquisition; Z.S. and A.A-H. supervised the work and wrote the manuscript with the help of Z.B. All authors read and approved the manuscript.
Corresponding authors
Ethics declarations
Competing interests
The authors declare no competing interests.
Additional information
Publisher’s note
Springer Nature remains neutral with regard to jurisdictional claims in published maps and institutional affiliations.
Supplementary Information
Below is the link to the electronic supplementary material.
Rights and permissions
Open Access This article is licensed under a Creative Commons Attribution-NonCommercial-NoDerivatives 4.0 International License, which permits any non-commercial use, sharing, distribution and reproduction in any medium or format, as long as you give appropriate credit to the original author(s) and the source, provide a link to the Creative Commons licence, and indicate if you modified the licensed material. You do not have permission under this licence to share adapted material derived from this article or parts of it. The images or other third party material in this article are included in the article’s Creative Commons licence, unless indicated otherwise in a credit line to the material. If material is not included in the article’s Creative Commons licence and your intended use is not permitted by statutory regulation or exceeds the permitted use, you will need to obtain permission directly from the copyright holder. To view a copy of this licence, visit http://creativecommons.org/licenses/by-nc-nd/4.0/.
About this article
Cite this article
Naseer, I., Ullah, S., Batool, Z. et al. Synthesis, in vitro, and in silico studies of 4-chlorophenyl-sulfonyl Indole based thiosemicarbazones as competitive α-glucosidase inhibitors. Sci Rep 15, 38832 (2025). https://doi.org/10.1038/s41598-025-24251-w
Received:
Accepted:
Published:
Version of record:
DOI: https://doi.org/10.1038/s41598-025-24251-w

















