Fig. 4
From: Modeling dysentery spread and the impact of public awareness on control dynamics

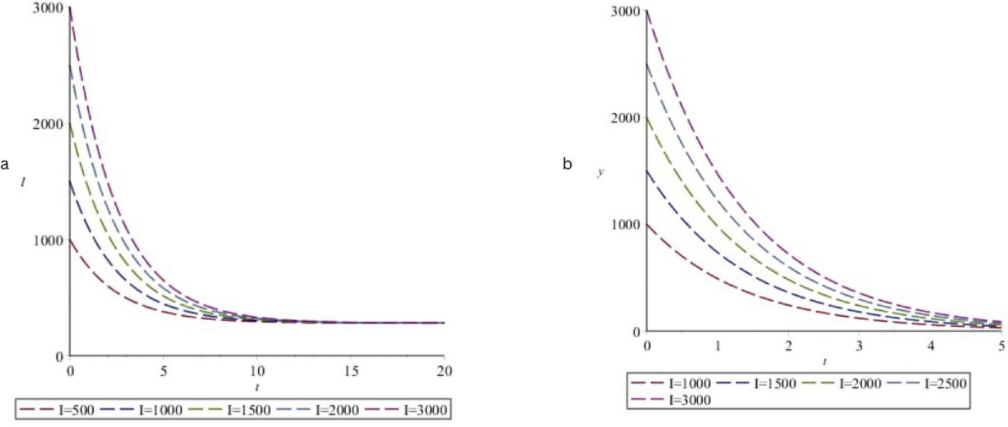
Flow diagram showing dysentery diseases free equilibrium is globally stable for severely infected person. Flow diagram showing dysentery diseases free equilibrium is globally stable for mildly infected person.