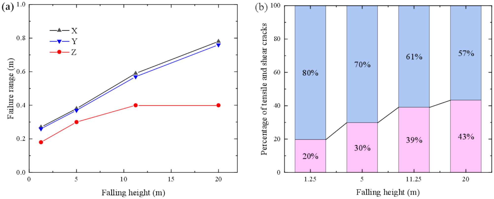
Fig. 18

Evolution of the model fracture mechanism under different falling heights: (a) damage extent; (b) proportion of crack types (pink: tensile cracks; blue: shear cracks).

Evolution of the model fracture mechanism under different falling heights: (a) damage extent; (b) proportion of crack types (pink: tensile cracks; blue: shear cracks).