Fig. 7

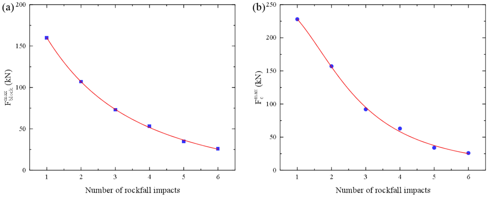
Evolution of the maximum value of impact force with the number of rockfall impacts at \(h_{f}\)= 5m: (a) impact force; (b) bottom force.

Evolution of the maximum value of impact force with the number of rockfall impacts at \(h_{f}\)= 5m: (a) impact force; (b) bottom force.