Fig. 11
From: Distributed fixed time adaptive cooperative tracking control for quadrotor unmanned aerial vehicle

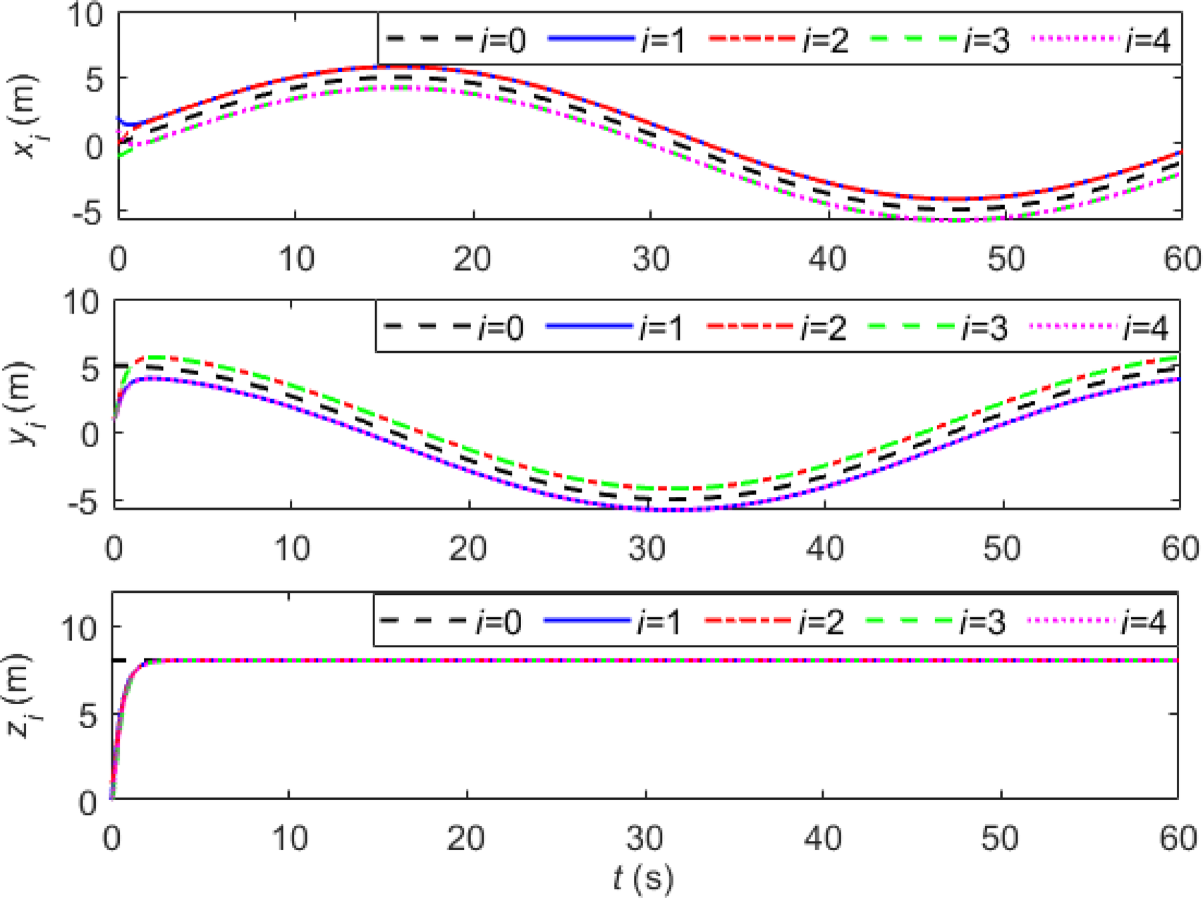
Case2: Position tracking control.
From: Distributed fixed time adaptive cooperative tracking control for quadrotor unmanned aerial vehicle

Case2: Position tracking control.