Fig. 15
From: Distributed fixed time adaptive cooperative tracking control for quadrotor unmanned aerial vehicle

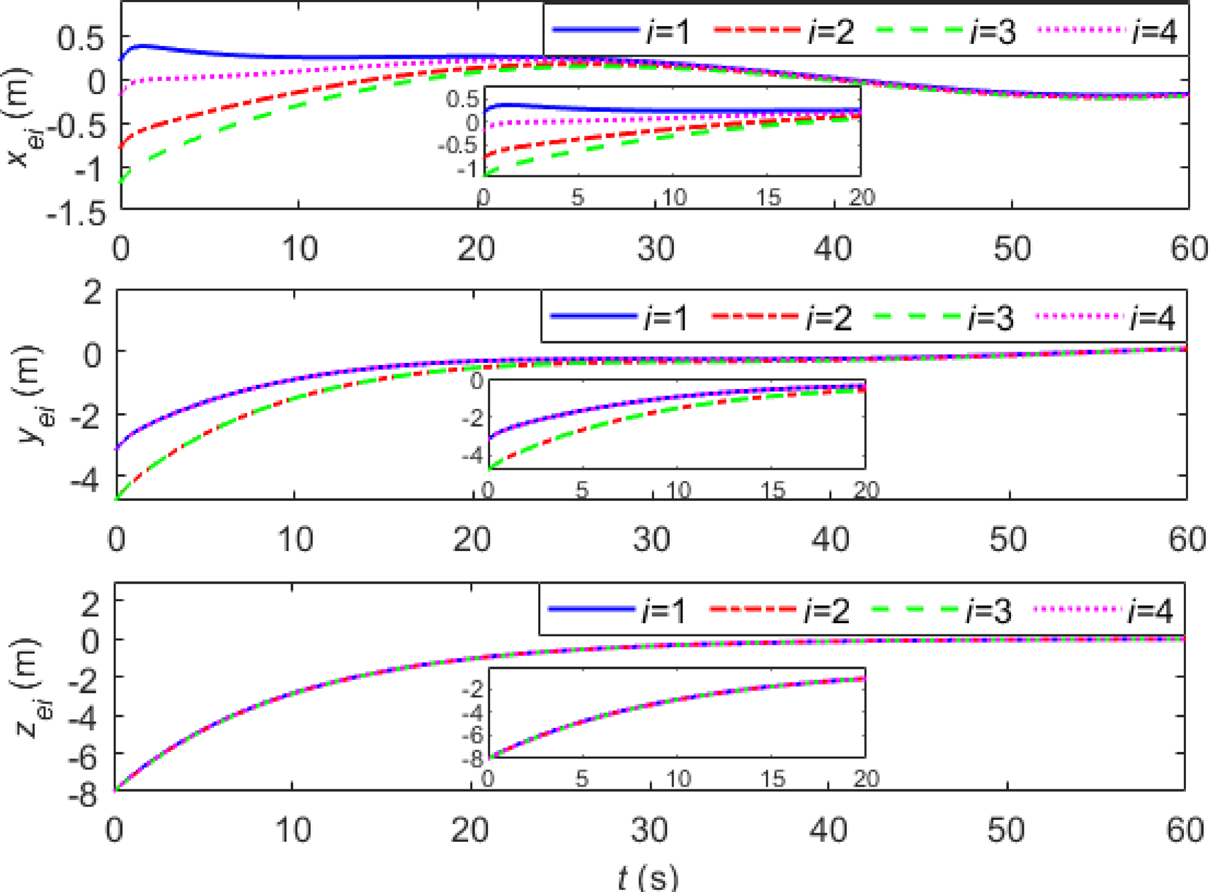
Position tracking errors under AFSMC.
From: Distributed fixed time adaptive cooperative tracking control for quadrotor unmanned aerial vehicle

Position tracking errors under AFSMC.