Abstract
Artificial intelligence and machine learning are increasingly applied in civil engineering to predict material performance and optimize mix design. This study compares three ensemble learning approaches, Boosting, Bagging, and Stacking, for predicting the slump and compressive strength (CS) of eco-friendly mortars produced in the laboratory by partially replacing cement with glass powder (GP) and reinforcing with flax fibers (FF) and polypropylene fibers (PPF). Seven input variables were considered: the amounts of cement, GP, water, water-to-binder ratio (W/B), FF, PPF, and the superplasticizer dosage. A database of 580 experimental mixtures was created and used to train six predictive models: XGBoost and LightGBM (Boosting), Random Forest and Extra Trees (Bagging), and two hybrid Stacking models. Model performance was assessed using statistical metrics (R2, RMSE, MAE), and SHAP (Shapley Additive Explanations) analysis was conducted to enhance interpretability and assess the influence of each input variable. This research is among the first to model both fresh (spread) and hardened (CS) properties of sustainable mortars with dual reinforcement using natural and synthetic fibers. The study highlights the critical role of W/B and SP dosage in workability and demonstrates the beneficial effect of GP in densifying the matrix and improving strength. The addition of FF and PPF enhanced CS by improving crack control, although higher fiber contents led to reduced workability. Overall, the study delivers both an original dataset and innovative mortar formulations, while demonstrating that ensemble ML techniques—particularly Stacking—offer superior predictive capability and practical support for eco-mortar mix design. This study is limited to short-term properties and a specific dataset; future work will expand the database and include durability assessments for broader applicability.
Similar content being viewed by others
Introduction
The construction sector is under increasing pressure to reduce its environmental footprint, particularly due to the high carbon emissions associated with the production of ordinary Portland cement (OPC)1, which remains the most environmentally detrimental component of concrete mixes2. At the same time, the use of recyclable waste materials, such as glass, offers an effective solution for sustainable recovery and progress toward a circular economy3. Numerous studies have shown that the controlled integration of such waste, at optimal dosages, can significantly improve the properties of construction materials. Glass powder (GP), derived from recycled glass, has proven to be a promising supplementary cementitious material (SCM) due to its pozzolanic reactivity4. Its composition, rich in SiO25, enables it to actively participate in secondary cementitious reactions (C-S-H formation), thereby enhancing the cement matrix6. Many studies have reported a progressive increase in compressive strength (CS) with increasing replacement rates, often identifying an optimal dosage beyond which performance gains plateau or decline7. This improvement is generally attributed to refined capillary porosity8 and microstructural densification9 resulting from the pozzolanic reaction of GP. These effects also contribute to improved long-term durability, particularly in terms of resistance to aggressive agents, carbonation, and alkali-silica reaction10. In line with sustainable material substitution strategies, the incorporation of finely ground waste GP (< 45 μm) has been shown to influence both fresh and hardened concrete properties. At low dosages, a 10% replacement improves compressive strength and 5% enhances flexural strength (FS), while higher contents may impair abrasion resistance and adhesion. Additionally, GP tends to increase slump and water permeability, highlighting its dual impact which depends on dosage and particle characteristics11. Some studies have reported notable improvements, reflected in higher slump values12, while others have observed negligible effects13, or even decreased workability14. These inconsistencies are often attributed to factors such as particle size distribution, morphology, impurity levels, and GP processing methods1516,. The integration of GP in cementitious systems offers notable sustainability and cost advantages. From an environmental perspective, replacing a portion of Portland cement with finely ground waste glass significantly reduces CO2 emissions associated with clinker production, while simultaneously diverting non-biodegradable glass waste from landfills12. This approach supports circular economy principles by transforming an abundant by-product into a valuable supplementary cementitious material. Economically, the partial substitution of cement, which is the most expensive component of mortar production, by recycled glass waste can lower material costs, especially when using locally available waste streams. Moreover, the use of glass waste reduces energy and resource consumption linked to cement production1718, thereby making eco-mortars more cost-effective and sustainable for large-scale applications.
To further enhance mechanical performance and durability, fiber reinforcement is increasingly explored. Fibers reduce crack propagation19,20, increase ductility, and mitigate microstructural degradation caused by environmental exposure21. Various types of natural and synthetic fibers have been studied for this purpose. Among natural fibers, flax fibers (FF) are particularly notable for their renewability, low density, and cost-effectiveness22. However, their performance in cementitious matrices strongly depends on the treatments applied. Chemical modifications using NaOH or AlCl3 have been shown to improve surface roughness, reduce water absorption, and enhance bonding to the matrix23,24. These natural fibers are recognized as sustainable alternatives, offering improved tensile properties and crack resistance when properly treated, contributing to the development of more sustainable and environmentally friendly building materials25. Simultaneously, synthetic fibers such as polypropylene fibers (PPF) are widely used to improve crack resistance26, especially under high temperatures, and to mitigate plastic shrinkage27,28. Although fiber incorporation may reduce mortar workability, many studies assert that it generally leads to improved mechanical properties29. For instance, Rahimi, Omran et al.30 reported that an optimal dosage of 0.9% FF significantly enhanced CS and FS. Likewise, several studies have observed CS gains of up to 12% with proper inclusion of PPF31. Recent investigations demonstrated that the incorporation of polyolefin and PPF significantly enhances both the CS and durability, with polyolefin showing superior performance, achieving up to 30.47% increase in CS and 35% improvement in acid resistance compared to control32. Furthermore, hybrid fiber combinations, such as FF/PPF blends, have demonstrated synergistic effects on concrete mechanical behavior, particularly in improving ductility and toughness26. The combined incorporation of fibers and SCMs, such as GP, is drawing growing interest. Orouji et al.33 found that an optimal mixture containing 25% GP and 1.5% PPF significantly enhanced CS, FS, and overall deformation capacity.
The variability of the mechanical and rheological properties of cementitious composites, especially when multiple constituents are incorporated, complicates performance prediction34. In this context, machine learning (ML), a subfield of artificial intelligence (AI), provides an effective framework for optimizing mortar formulations. It enables the learning of complex, nonlinear, and interdependent relationships among material parameters based on experimental data35. Unlike regression models, which often fail to capture these complex interactions and therefore yield lower predictive accuracy36 and empirical models, which are frequently constrained by simplifying assumptions, ML algorithms are capable of autonomously capturing such relationships and synergistic effects between variables37. The successful application of ML techniques in construction materials has been reported by many researchers, particularly for predicting hardened-state properties3839, such as CS40, with high accuracy through the integration of multiple influencing parameters41. In contrast, studies focused on predicting fresh-state properties, such as slump, remain relatively limited42. Zhang et al43. identified extreme gradient boosting (XGBoost) and Random Forest (RF) as the most accurate slump predictors. In a comparative study, Pal et al44. evaluated twelve ML models using seven input variables, including water-to-cement ratio (W/C), SCM replacement rate, fiber type and percentage, and superplasticizer dosage (SP). The results confirmed the superiority of the XGBoost model, which achieved the highest coefficient of determination (R2) and lowest root mean square error (RMSE). Among the variables, W/C ratio was found to be the most dominant factor influencing workability. In addition, Gomaa et al45. demonstrated the ability of RF algorithms to predict CS and slump in alkali-activated composites simultaneously.
Along the same lines, several studies have highlighted the effectiveness of ML models in predicting CS. Kang et al.46 showed that decision tree-based models and boosting techniques were particularly suitable for predicting CS in steel fiber-reinforced concrete. Similarly, the findings of Ansari et al.47 and Askari et al.48 highlighted the superior performance of the Ensemble Boosting Tree model in predicting the CS of mixtures incorporating pozzolanic materials, followed by the RF algorithm. In contrast, artificial neural networks (ANN) and support vector machines (SVM) yielded lower predictive accuracy in their study. However, this contrasts with the results reported by Mahmood et al.49 who demonstrated that ANN outperformed traditional regression models, achieving a high level of accuracy (R2 = 0.99, RMSE = 0.66 MPa) in forecasting the CS of geopolymer mortars. Nigam & Verma50 highlighted the strong performance of the RF model in capturing fine correlations between SCM replacement levels and CS in composites. Bentegri et al.51 obtained similar results, emphasizing the outstanding predictive performance of the Extra Trees model (R2 = 0.944). Similarly, Meng et al.52 demonstrated the superiority of the LightGBM model over classical approaches such as SVMs and Gated Recurrent Units (GRUs), achieving an RMSE of 1.873 and an R2of 0.984 for CS prediction. In addition, Karthik et al53., Kumar et al54., and Sathvik et al.55 all reported very high predictive accuracy (R2 up to 0.99), further confirming the effectiveness of ensemble ML models in predicting the mechanical performance of reinforced and waste-incorporated composites. In parallel, the integration of fiber-reinforced polymer (FRP) bars into cementitious systems has also been explored to improve structural durability. A recent study employed ANN to predict the FS of FRP-reinforced concrete beams, achieving high accuracy (R2 = 0.99). SHAP analysis further revealed that effective depth and reinforcement ratio were the most influential parameters, highlighting ML’s potential for both performance prediction and the identification of critical design variables in fiber-reinforced composites56. A recent study conducted by Manan et al.57 on reinforced concrete columns incorporating recycled concrete powder (RCP) and steel fibers demonstrated that AI-based modeling can effectively predict axial load–deformation behavior with high accuracy (R2 = 0.95 for training and 0.91 for testing). The optimal mechanical performance was achieved at 10% RCP replacement, and sensitivity analysis confirmed the dominant role of specific input parameters in governing structural response.
Recently, Ali et al.58 developed a hybrid model combining XGBoost and LightGBM, reaching optimal accuracy with R² = 0.976, confirming the growing interest in hybrid approaches in this field. Alyami et al.59 demonstrated that hybrid ML models combining SVR with metaheuristic optimizers (FFA, PSO, GWO) significantly improved CS prediction accuracy of CMT-based concretes (R2 up to 0.96). Similarly, research by Ullah et al.60 confirmed that the use of hybrid ML models significantly enhances strength prediction of RFC, particularly those incorporating basalt fibers, with R2 values reaching up to 0.993 for compressive and 0.954 for tensile strength, while SHAP analysis identified curing age and cement as the most influential features. Miao et al.61 showed that hybrid models generally outperform base models in predictive accuracy. In particular, the SSA–XGB model stood out with very high accuracy (R2 = 0.9645; RMSE = 3.0640 MPa) for mixtures containing GP. These findings confirm that GP content is a key parameter that interacts with other variables to significantly influence performance. Indeed, the effect of GP cannot be dissociated from its interaction with the W/C ratio, an essential parameter balancing fresh and hardened properties of cementitious composites, as well as with fiber content and admixtures. This highlights the importance of integrating ML-based modeling to effectively manage these complex and interdependent interactions. Such comparisons highlight the strengths and limitations of each approach, fostering the development of more reliable predictive tools. These tools not only support the design of more durable structures but also provide valuable insights into the behavior of concrete under extreme conditions62.
Moreover, several interpretability approaches have been developed to make ML models more transparent. Among them, local methods such as LIME (Local Interpretable Model-Agnostic Explanations) explain individual predictions by constructing simple surrogate models around a given point63. In contrast, global methods such as Partial Dependence Plots (PDP), Individual Conditional Expectation (ICE), and Accumulated Local Effects (ALE) aim to represent the average or individual influence of variables on the model’s output64. However, these approaches have certain limitations, particularly in terms of consistency between local and global interpretations. In this context, the SHAP (Shapley Additive Explanations) method has emerged as a robust alternative, relying on cooperative game theory to quantify the contribution of each variable65. SHAP thus provides a unified framework that allows both the assessment of the relative importance of parameters and the consistent explanation of each prediction66. For instance, Kumar rt al67. applied SHAP alongside advanced RF variants, including differential evolution-based RF (RF-DE), to predict the CS of self-compacting concrete incorporating fly ash and silica fume, confirming the effectiveness of SHAP in improving model transparency and supporting sustainable concrete design. In a study reported recently by Alyami et al.68 was also used SHAP interpretability to explore the influence of curing age, W/B ratio, and metakaolin dosage on mortar performance, demonstrating again the value of interpretable hybrid models in explaining complex interactions and guiding sustainable mix design decisions.
Although ML models, and in particular ensemble learning models, have already been explored in the field of concrete, most previous studies still present several limitations: they typically focus on a single mechanical property, mainly CS, and rarely address fresh-state properties such as slump. Moreover, they often consider only one type of addition (recycled GP or fibers), without assessing their interactions, and provide limited interpretability. Furthermore, the potential of advanced hybrid models, particularly in predicting fresh-state behavior such as slump, remains largely underexploited, which limits their predictive accuracy and robustness in practical applications. The present study helps to fill this gap by proposing a predictive framework that combines these sustainable constituents with advanced ensemble techniques, while also integrating interpretable analysis (SHAP). This work carries both scientific and practical value. The database includes reference formulations, some of which are without glass powder but reinforced with fibers, thereby broadening the applicability of the models beyond the academic context and positioning them as a decision-support tool for researchers and practitioners in eco-mortar formulation. The proposed approach thereby enhances the accuracy of slump and CS predictions, while also providing a clearer understanding of the relative influence of formulation parameters, offering a dual scientific and practical contribution.
A comparative overview of recent literature is presented in Table 1, summarizing key findings on recycled materials and ML applications in cementitious composites. This synthesis supports the motivation for the ensemble SHAP-enhanced modeling strategy proposed in this study.
Research objectives
The primary objective of this research is to develop a predictive framework that can jointly estimate the fresh-state (slump) and hardened-state (CS) properties of eco-mortars incorporating GP as a sustainable cement substitute and reinforced with both natural fibers (FF) and synthetic fibers (PPF). To achieve this, an extensive experimental database was established, comprising 580 systematically designed formulations that varied in GP content, fiber dosage, and SP incorporation. Based on this dataset, six ensemble learning models were developed and compared, including two Boosting techniques (XGBoost and LightGBM), two Bagging approaches (RF and Extra Trees), and two hybrid Stacking configurations. The evaluation of these models demonstrated their ability to reduce prediction error and enhance the robustness of results. In addition, an interpretable analysis using the SHAP method was employed to rank the relative influence of formulation parameters and provide deeper mechanistic insights into the underlying phenomena. Accordingly, this study aims to deliver a dual contribution: on the one hand, a reliable and practical predictive tool for designing high-performance and sustainable eco-mortars, and on the other, new scientific insights into the combined effects of ecological constituents and fiber reinforcement on material properties.
Materials and methods
Methods
Sample preparation
The experimental design was based on a multifactorial approach including the following parameter levels: GP content at seven levels (0%, 5%, 10%, 15%, 20%, 25%, 30%), FF and PPF content at five levels each (0%, 0.25%, 0.5%, 0.75%, 1% by volume), SP dosage at three levels (0%, 0.5%, 1%), and W/B ratio at three levels (0.35, 0.425, 0.50). To reduce redundancy, mixtures without fiber reinforcement were considered only once and not duplicated across FF and PPF conditions. Additionally, 13 hybrid mixes combining both FF and PPF were designed based on representative combinations to span the overall fiber content spectrum. These were selected to ensure representative distribution across W/B and GP content values, resulting in diverse rheological and mechanical behaviors.
Thus, the total number of unique mortar formulations was calculated as (1):
The subtraction accounts for the exclusion of duplicated fiber-free cases, and the addition of the hybrid fiber mixes.
This experimental design yielded the formulation of 580 distinct mixtures, allowing for a comprehensive examination of the individual and combined effects of the selected parameters. The eco-mortar mixtures were prepared following standard mixing procedures. To assess workability and flow characteristics, fresh mortar properties were evaluated through slump tests conducted following the ASTM C1437 guideline69. For mechanical properties assessment, cubic specimens (5 × 5 × 5 cm3) were cast and cured under standard conditions (20 ± 2 °C, 95% RH) for 28 days. CS testing was performed under the NF EN 196–1 standard70. The experimental program encompassed 580 different mixture proportions, with each test result representing the average of three identical specimens to ensure statistical reliability.
Modeling methodology
Dataset development and data preprocessing
To predict the slump and the CS of the mixtures, this study adopted a four-phase sequential modeling approach, as outlined in Fig. 1: (I) Development and characterization of the dataset, (II) Data preprocessing, (III) Machine learning model identification and training, (IV) Validation of the ML models.
Initially, a database was constructed from experimental results obtained on 580 cubic specimens. Seven input variables were considered: Cement, GP, W/B ratio, W, FF, PPF, and SP. For each mixture, the fresh-state (slump) and hardened-state (CS) were measured.
Two representative models were selected for each category to conduct a rigorous comparative analysis of three ML strategies: Boosting, Bagging, and Stacking. Regarding the Boosting techniques, XGBoost and LightGBM were chosen based on a comprehensive literature review52,71,72,73 and their anticipated suitability within Stacking architecture. Similarly, RF Regressor and Extra Trees Regressor were selected for Bagging techniques. In the stacking strategies, two hybrid ensembles were constructed: (i) Stacking-Bagging, where RF and ET served as level-0 learners, and (ii) Stacking-Boosting, where XGB and LGBM were used as level-0 learners. In both cases, a ridge regressor (linear meta-learner) was used at level-1 to combine base predictions.
The data preparation phase included several preprocessing steps to ensure model stability and reproducibility. The dataset was first screened for missing values. No missing entries were found; however, in case of future incompleteness, median imputation would be applied within each training fold during cross-validation to prevent data leakage. Outliers were then screened using boxplots and robust statistics (median, IQR, skewness, kurtosis). Extreme values were cross-checked with experimental records and retained, as they reflected genuine material variability rather than measurement errors.
Normalization was then applied to make variables comparable and to improve numerical stability. Following the approach proposed by Alyami et al74., cement content was defined as the reference (normalized to unity), and the proportions of the other constituents were adjusted accordingly. Such normalization is crucial in ML, as it ensures a balanced influence of each feature on model performance, preventing dominance by variables with large numerical ranges75. It also improves algorithm convergence and enhances model robustness, especially for methods sensitive to data scale76. A Min–Max scaling was subsequently applied to constrain all variables to the [0,1] range. Additionally, z-score standardization was used exclusively for the stacking meta-learner (ridge regression), given its sensitivity to feature magnitude.
To ensure reproducibility, all machine learning tasks and SHAP-based interpretability analyses were implemented using Python 3.10.
The correlation matrix is illustrated in Fig. 2. Pearson’s correlation coefficient (r) was used to quantify linear interdependencies between variables. An r-value near 1 indicates a strong positive association, near − 1 a strong negative association, and close to 0 the absence of a linear relationship77,78.
To capture potential non-linear dependencies not revealed by Pearson correlation, we computed mutual information (MI) between each input and each target using mutual_info_regression (scikit-learn) with a fixed random state. MI and correlation were both calculated on the preprocessed (normalized) dataset to ensure comparability across variables. The MI heatmap, illustrated in Fig. 3, complements the correlation analysis by capturing nonlinear dependencies between inputs and target properties. Unlike Pearson’s correlation, which is restricted to linear associations and ranges from − 1 to + 1, MI is always non-negative and quantifies the degree of dependency between variables regardless of functional form. Higher MI values indicate that the input feature carries more information about the target, while values close to zero suggest weak or negligible influence. This representation therefore provides a broader perspective on feature–target relationships and enhances the robustness of subsequent interpretability analyses.
To ensure robust evaluation, the dataset was first divided into a training set comprising 80% of the data and a test set containing the remaining 20%. The test set was kept completely independent and used solely for validating the final model. Within the training subset, a 5-fold cross-validation (CV) protocol was implemented to evaluate robustness. For each fold, all preprocessing operations—including potential median imputation, normalization relative to cement, Min–Max scaling, and autoscaling for the stacking meta-learner—were fitted exclusively on the training partition and then applied to the validation fold, thereby eliminating the risk of data leakage. This two-level evaluation framework enabled us to (i) assess model stability and reproducibility through CV results (reported as mean ± standard deviation) and (ii) rigorously confirm generalization capacity on the unseen 20% test set. In parallel, descriptive statistics of the database are presented in Table 2. The distribution of input variables must be provided to ensure the model’s generalization capability. The table reports central tendency metrics and extreme values. Additionally, skewness and kurtosis coefficients were included to assess, respectively, the symmetry and shape of the distributions (i.e., peakedness or flatness). These indicators can take positive or negative values and may sometimes be undefined79. Acceptable ranges for skewness and kurtosis are typically between − 3 and + 3, and − 10 and + 10, respectively80. As shown in Table 2, the values for all input variables fall within the recommended ranges, indicating satisfactory data distribution. Most variables exhibit negative kurtosis, suggesting a more homogeneous distribution around the mean than a normal distribution. Regarding skewness, the flow spread exhibits a concentration toward lower values, whereas CS displays a slight shift toward higher values. Other variables are relatively symmetric or mildly skewed.
Validation strategy
To ensure robust model evaluation and avoid optimistic bias, we adopted a two-level approach. First, the dataset was split into 80% for training and 20% for testing, with the test set reserved exclusively for final performance assessment. Second, the training subset (80%) was further evaluated using 5-fold cross-validation (CV), with all preprocessing steps (scaling, and when necessary, robust outlier handling and feature selection) performed strictly inside each fold to eliminate data leakage.
In addition, to further probe generalization, a Group K-Fold strategy was explored by defining folds according to mix-production batches, thereby emulating model deployment on unseen experimental batches. When feasible, one entire batch was held out as an external validation set. Model performance was reported both as the mean ± SD across CV folds and as a single unbiased estimate on the untouched 20% test set.
To achieve consistent comparison and enhance robustness, hyperparameter tuning was nested within the cross-validation loop, ensuring that parameter optimization did not contaminate validation results. We adopted a two-step search strategy:
-
Random search across a broad parameter space to efficiently identify promising regions.
-
Bayesian optimization (Tree-Parzen Estimator, TPE) for fine-grained exploration around the best candidates.
The parameter ranges were informed by prior studies on ML applied to cementitious materials and by widely recommended defaults59,60,68. For gradient boosting models, tree depth and learning rates were restricted to mitigate overfitting, while for bagging models, the number of estimators and minimum leaf size were adjusted to balance bias and variance.
SHAP interpretation
Although ensemble ML models achieve high predictive accuracy, they often suffer from limited interpretability, commonly referred to as the “black-box” effect of AI81. To overcome this limitation, the SHAP (Shapley Additive exPlanations) framework was employed to provide a consistent and quantitative interpretation of model outputs82. SHAP assigns an important value to each input feature by computing its marginal contribution to the prediction relative to a baseline, typically the mean value of the dataset58. A large positive or negative SHAP value indicates that the variable has a strong influence on the target, whereas values close to zero reflect minimal impact. Mathematically, the prediction function can be expressed as (2):
where \(\:Q\left(s\right)\) is the model output, \(\:{\varphi\:}_{0}\) represents the baseline prediction, and \(\:{\varphi\:}_{i}\) denotes the contribution of feature \(\:i\) with presence indicator \(\:{s}_{i}\). This approach enables transparent feature ranking and facilitates a deeper mechanistic understanding of how input parameters govern both fresh and hardened properties of the investigated eco-mortars.
Materials
The eco-mortar mixtures investigated in this study were prepared using six primary raw materials. CEM I 42.5 N-type Portland cement was used as the primary binder. The cement had a density of 3.1 and a Blaine fineness of 355 m2/kg. Glass waste was subjected to grinding processes, resulting in a 345 m2/kg fineness and a density of 2253 kg/m3. GP was utilized as a partial cement replacement to enhance the mortar’s eco-friendly characteristics. The chemical compositions of CEMI and GP are presented in Table 3.
The particle size distributions of both CEMI and GP are displayed in Fig. 4. The particle size distributions were determined using laser diffraction with a Malvern Mastersizer 3000 instrument. This technique measures the volume-based particle size distribution based on light scattering. The resulting data provided D10, D50, and D90 values, representing the particle diameters at 10%, 50%, and 90% cumulative volume, respectively. The GP sample exhibited a finer distribution compared to cement, with D10 = 2 μm, D50 = 9 μm, and D90 = 23 μm, whereas CEM I had D10 = 4 μm, D50 = 31 μm, and D90 = 66 μm. This finer particle size distribution of GP contributes to its potential pozzolanic activity and may enhance the packing density of the cementitious matrix.
A polycarboxylate-based high-range water reducer (SikaPlast®−380 RMX) was employed to improve workability and maintain adequate slump values. The superplasticizer had a density of 1.06 g/cm3; the dosage was varied between 0 and 1% by weight of binders to optimize the flow spread properties of the fresh mortar. Standard normalized sand conforming to ASTM C77883 was used as the fine aggregate. The sand-to-binder ratio was kept constant at 1:3 throughout all mixture proportions.
Two types of fibers were employed as reinforcement in the eco-mortar mixtures: natural FF and synthetic PPF. FF was incorporated to provide eco-friendly reinforcement and improve the tensile properties of the mortar. The PPF served as a synthetic reinforcement option designed to enhance crack resistance and post-crack behavior. The FF was used without any additional surface treatment, whereas the PPF featured a smooth monofilament structure. The detailed physical and mechanical properties of both fiber types are presented in Table 4.
Results
Analysis of average, minimum, and maximum errors
The performance evaluation of the developed models was conducted through the analysis of average, minimum, and maximum errors for both target variables: slump and CS, as demonstrated in Table 5. In slump prediction, the Extra Trees model exhibited the highest level of accuracy, with the lowest average error and relatively small maximum deviation. XGBoost and RF also achieved moderate error levels with robust generalization capabilities. By contrast, Stacking Bagging, LightGBM, and to a lesser extent Stacking Boosting showed slightly reduced accuracy, with larger maximum error values indicating less consistent predictions.
For CS predictions, the performance hierarchy shifted. The Stacking Boosting model demonstrated excellent stability with competitive average errors and controlled extremes, ranking as the most reliable overall. Extra Trees also performed well, achieving the lowest mean error and ranking just behind the hybrid Stacking model in terms of robustness. LightGBM and XGBoost delivered intermediate results, while Stacking Bagging remained competitive. In contrast, the RF model displayed the highest deviation, with the most significant maximum error values, reflecting greater variability in its predictions. These findings confirm that hybrid ensemble techniques, particularly Stacking based on Boosting models, are well suited for predicting hardened-state properties like CS, while Extra Trees stand out in modeling fresh-state behavior such as slump.
Regression slope analysis
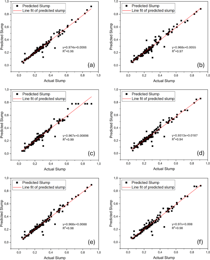
The regression analysis (Fig. 5) confirms a strong predictive performance for slump estimation, as indicated by the high R² values. The Boosting-based models, namely XGBoost and LightGBM, achieve R2 values of 0.96 and 0.97, respectively. Their integration via the Stacking approach yields an enhanced R2 of 0.99, highlighting the complementary nature of these algorithms. Similarly, the Bagging technique yields reliable results: RF achieves an R² of 0.94, and Extra Trees attain 0.98. Their combination through Stacking maintains a high performance (R2 = 0.98), comparable to that of the best-performing individual model. Although the R2 values for slump prediction are very high (up to 0.99), the close agreement between train and test performance, further confirmed by cross-validation and external validation, indicates genuine predictive capability rather than overfitting.
Regarding the CS (Fig. 6), XGBoost and LightGBM models, using the Boosting approach, reach R2 values of 0.92 and 0.94, respectively, while their ensemble through Stacking results in a superior R2 of 0.96. As for the Bagging-based models, Extra Trees achieves the highest R2of 0.96, while RF follows with 0.90, consistent with the results reported by Ansari et al84. The hybrid model created via Stacking reaches an R2 of 0.94, only marginally below the best standalone model, which underscores its robustness while avoiding overfitting.
These findings are consistent with those reported by Manan et al85. who demonstrated that Boosting models, particularly XGBoost, achieved the highest predictive accuracy when estimating CS. Their model successfully captured complex non-linear interactions between key parameters such as OPC content, cement replacement percentage, and W/C ratio, three variables also identified as significant in our SHAP-based interpretability analysis. In a separate study, Manan et al.86 applied SHAP analysis in conjunction with ML algorithms to assess the influence of recycled components in concrete. They similarly identified cement content and replacement ratio as the most sensitive input features. These results further confirm the ability of ensemble models, especially Boosting algorithms, not only to achieve high predictive performance but also to provide interpretable insights into the synergistic effects of multiple input parameters in sustainable cementitious systems.
Error metrics and cross-validation
Table 6 presents the predictive accuracy of the models for slump. The results confirm the hierarchy already highlighted by regression slope analysis (Sect. 4.2): ensemble methods (particularly Stacking) achieve the highest accuracy, followed by Boosting and then Bagging. The Stacking-Boosting and Stacking-Bagging ensembles reached R2 values of 0.991 and 0.992 on the independent test set, corresponding to RMSE values of 0.032–0.034 cm and very low MAE values of 0.017–0.019 cm. Such small MAE values indicate that, on average, prediction errors remain within only a few millimeters, which is negligible in practical construction settings. Both ensembles also maintained ρ coefficients above 0.97, highlighting their strong linear agreement with experimental measurements. Among the individual learners, Extra Trees achieved the best performance with the lowest errors, consolidating its position as the strongest Bagging model. Boosting methods also delivered competitive results, with LightGBM slightly outperforming XGBoost. RF remained the weakest, consistent with its tendency toward higher variance.
Cross-validation results confirmed these rankings, with XGBoost and Stacking-Hybrid recording mean R2 values of 0.977 ± 0.020 and 0.976 ± 0.015, respectively. The associated CV MAE values remained below 0.021 cm and CV ρ coefficients consistently above 0.95, showing both robustness and consistency across folds. Residual analysis revealed a symmetric distribution with no strong evidence of heteroscedasticity, further confirming the models’ reliability for slump prediction.
Table 7 summarizes the results for CS. Consistent with Sect. 4.2, Extra Trees and Stacking ensembles achieved the highest predictive accuracy, both reaching an R2 of approximately 0.96, while Stacking-Boosting had lower errors. Both models achieved Pearson correlations above 0.95, confirming strong linear agreement with the measured CS values. Stacking-Bagging followed closely, with R2 = 0.949 and ρ = 0.949. Boosting models yielded intermediate performance, with LightGBM outperforming XGBoost. Although XGBoost produced slightly lower R2 values, its lower MAE and higher Pearson coefficient highlight its efficiency in reducing average prediction errors while maintaining strong correlation. RF remained the weakest learner (R2 = 0.901, RMSE = 0.056 MPa, MAE = 0.035 MPa, ρ = 0.911), showing both higher error magnitudes and weaker correlations.
Cross-validation reinforced these findings: Stacking-Boosting and Extra Trees achieved mean R2 values of 0.949 ± 0.016 and 0.947 ± 0.017, with CV MAE values remaining within the 0.026–0.029 MPa range. Their CV Pearson values (0.943–0.944) further confirm strong and stable correlations across folds. Boosting models delivered reliable performance with mean R2 = 0.93–0.95 and Pearson ≈ 0.93–0.95, while RF lagged in both accuracy and correlation. Residual distributions remained centered, with only slight heteroscedasticity at higher CS levels, supporting the models’ generalization ability.
Residual and bias-variance assessments
To complement the error metrics and cross-validation results, parity plots were generated for all six models in both slump and CS prediction tasks. Each plot includes a ± 1.96 RMSE band (grey zone) and an empirical 95% residual envelope (blue zone), thereby providing both theoretical and data-driven assessments of prediction uncertainty.
For slump (Fig. 7), the predicted values align closely with the perfect-fit line, confirming the high R2 reported in Sect. 4.2. The stacking-based models and Extra Trees exhibit the narrowest empirical bands, reflecting their superior accuracy and stability (low RMSE and MAE). Conversely, RF shows slightly larger scatter, consistent with its weaker test-set R2 (0.94) and higher error values.
For CS (Fig. 8), the parity plots confirm the robust performance of ensemble models, with Extra Trees, XGBoost, and stacking approaches displaying predictions that remain well within the ± 1.96 RMSE interval. The dispersion of residuals is slightly wider at higher strength levels, suggesting minor heteroscedasticity; however, this effect remains moderate and aligns with cross-validation variability. Again, RF exhibits the broadest residual bands, consistent with its relatively higher error rates.
The introduction of parity plots with ± 1.96 RMSE confidence bands and empirical 95% residual envelopes (Sect. 4.4) already provides visual evidence that most predictions lie close to the perfect-fit line, with residual dispersion well-constrained for both slump and compressive strength. These observations suggest that the models capture the true experimental variability rather than overfitting noise.
To further assess overfitting and underfitting, we compared the performance gap between training and test datasets using R2, RMSE, and MAE (Tables 6 and 7). For slump prediction, the best-performing models (Stacking-Boosting and Stacking-Bagging) achieved nearly identical results on both training (R2 ≈ 0.999, RMSE = 0.004 mm) and test sets (R2 ≈ 0.991–0.992, RMSE ≈ 0.032–0.034 mm), indicating stable generalization. Extra Trees also performed consistently (R2 = 0.999 train vs. 0.981 test). Conversely, RF showed a slightly larger train–test gap (ΔR2 ≈ 0.04), suggesting mild underfitting relative to other bagging-based models.
For CS, Extra Trees and Stacking-Boosting demonstrated the most balanced performance, with train R2 > 0.97 and test R2 between 0.94 and 0.97, alongside low error metrics (RMSE = 0.038–0.045 MPa; MAE = 0.022–0.029 MPa). Random Forest again exhibited the weakest generalization (train R2 = 0.988 vs. test R2 = 0.901, ΔR² ≈ 0.09), consistent with its higher residual dispersion observed in the parity plots.
Cross-validation results (Tables 6 and 7) further confirmed these findings: the mean ± standard deviation of R2 and RMSE values were stable across folds, with low variability (< 0.05), demonstrating that the models generalize well across different data subsets. Notably, stacking strategies consistently ranked among the most robust learners, combining the strengths of boosting and bagging while minimizing the risks of overfitting.
Improving model interpretability with SHAP feature importance
The SHAP value decomposition for slump prediction (Fig. 9a) revealed a clear dominance of the SP dosage, which recorded a SHAP value exceeding + 6.0. This highlights the SP’s pivotal role in improving the mortar’s flow behavior through dispersion and steric hindrance mechanisms. Following this, water content and W/B ratio exhibited SHAP values of approximately + 5.5, highlighting their synergistic influence on paste consistency and particle mobility. The impact of fiber incorporation was also evident: PPF had a more substantial influence on slump (SHAP ≈ + 2.2) than F (SHAP ≈ + 1.1), likely due to their hydrophobic nature and ability to reduce water demand. Cement and GP contributed moderately (SHAP ≈ + 1.0), suggesting that their effect on fresh-state behavior is more indirect, through modification of particle packing and paste viscosity.
On the other hand, CS is governed by more complex and cumulative mechanisms. The SHAP analysis provided valuable insights by isolating the most impactful features (Fig. 9b). The most influential parameter was GP, with a SHAP value reaching + 7.0. This confirms the pozzolanic reactivity and filler effect of GP, which enhances matrix densification and long-term strength gain. Closely following GP, cement content showed a substantial positive contribution (SHAP ≈ + 6.5), affirming its fundamental role in hydration and C-S-H gel formation. The W/B ratio and water content also contributed positively (SHAP ≈ + 4.6 and + 3.2, respectively), supporting the notion that adequate water availability ensures complete hydration and improved early strength. Interestingly, the SHAP values also helped reveal inverse relationships: while PPF (SHAP ≈ + 2.2) and FF (SHAP ≈ + 2.0) fibers may enhance strength at optimal dosages, their excessive use or improper dispersion could negatively impact compressive strength. Similarly, SP had a weaker and occasionally adverse effect (SHAP ≈ + 1.5), likely due to its influence on delaying setting or modifying pore structure.
The SHAP summary plot (Fig. 10) visually confirms these findings. Features are ranked by their mean absolute SHAP value on the Y-axis, while the color gradient (from blue to red) indicates feature values68. High red points located on the right side for SP, W, and W/B suggest that higher values of these inputs consistently push the model towards higher predicted slump, aligning with known rheological principles. Conversely, lower values (in blue) clustered on the left reflect reduced workability when these inputs are minimal.
Regarding CS, the SHAP summary plot indicates that high GP and cement values (in red) cluster on the far right, positively driving CS predictions. In contrast, SP, FF, and PPF appear as blue points skewed to the right, suggesting that at higher amounts, these features may reduce strength, reinforcing the importance of dose optimization.
To further quantify the explanatory power of individual features, Table 8 reports the mean absolute SHAP values, along with their relative contributions, for slump and CS. For the fresh-state properties, the SP (28.0%) emerged as the most influential factor, confirming its decisive role in enhancing flowability by improving particle dispersion and reducing inter-particle friction. It was followed by W (22.0%) and the W/B ratio (18.0%), both of which play a synergistic role in controlling paste consistency. The contribution of fibers was minor, with PPF slightly surpassing FF, highlighting their limited but non-negligible impact on workability. Finally, cement and GP showed the weakest influences on slump prediction, indicating that binder characteristics indirectly affect flow compared to water-related parameters.
In contrast, CS prediction remained primarily governed by binder reactivity. GP (25.0%) and cement (22.0%) dominated strength prediction, reflecting their fundamental roles in hydration and pozzolanic reactions. They were followed by W/B and W, underlining the importance of water balance in ensuring optimal strength development. Fibers again contributed marginally (FF: 10.0%, PPF: 6.0%), mainly through crack-bridging effects, while SP displayed only a minor role, occasionally negative, due to its potential influence on setting behavior.
Discussion
Slump
SHAP value analysis revealed a strong influence of the SP, W, and the W/B ratio on the fresh-state properties of the mixtures, confirming findings from several prior studies87. The workability of cementitious systems, such as pastes, mortars, or concretes, incorporating OPC can be adjusted by incorporating water-reducing admixtures. Among these, polycarboxylate-based superplasticizers are particularly effective due to their steric hindrance mechanism, which prevents direct contact between cement particles88. This mechanism enhances workability by modifying the molecular structure between the polymer backbone and its side chains89. The performance of SP depends on their adsorption capacity onto cement particles and the electrostatic repulsion generated by the adsorbed molecules. Their chemical structure, consisting of a polyethylene backbone, polyether side chains, and carboxylic functional groups, enables strong dispersion efficiency, effective slump retention, and potential reduction in setting time90. Consequently, the addition of superplasticizers improves particle dispersion, reduces colloidal interactions, and significantly alters the rheological behavior of the mixtures87.
A direct correlation is generally observed between the W/B ratio and workability: higher W/B ratios lead to increased fluidity. Moreover, the incorporation of mineral additions such as GP also affects the interaction between SP and cement particles91. The rheological performance of mortars is susceptible to the physico-chemical characteristics of these additions, including chemical composition, dosage, packing density, fineness, particle size distribution, and surface texture92,93. These parameters act through the combined effects of packing, morphology, dispersion, and adsorption phenomena8794,.
As for fiber incorporation, its impact on workability is generally less pronounced than that of other variables, although it depends heavily on the surface treatment. Workability tends to decrease as fiber content increases. Slump reduction was observed with increasing FF content, whereas increasing the W/B and cement content led to improved workability95. These trends were also confirmed by De Figueiredo and Ceccato96, who emphasized the significant role of FF in reducing slump. Similarly, Sahmaran et al97. reported a decline in slump flow with increased natural fiber volume fractions. The increased volume of natural fibers raises the number of filaments within the cementitious matrix, thereby increasing internal friction and impeding flow98. Higher FF concentrations also promote entanglement effects, further reducing workability99. In addition, PP-based mixtures exhibited lower workability than those containing FF, due to lower water absorption compared to FF100. In this context, the use of PPF appears to be an effective strategy for limiting workability loss induced by FF incorporation.
Compressive strength
SHAP analysis results highlighted the significant contribution of GP to the development of CS in the studied mixtures. This improvement can be attributed to several mechanisms, foremost among them being the pozzolanic reactivity of GP. Through this reaction, calcium hydroxide (CH), generated during cement hydration, is consumed while secondary C-S-H products are formed, leading to a denser mortar matrix101. As noted by102, the incorporation of GP promotes both pozzolanic reactions and filler effects, thereby enhancing the microstructure. Accordingly, increasing GP content is directly associated with enhanced CS.
In addition, W/B ratio and W play a crucial role in mechanical performance. Numerous studies have confirmed that reducing the W/B can enhance CS. Prochon et al103. emphasized that a lower W/B ratio promotes a denser microstructure with reduced capillary porosity. However, as shown by Zhou et al104., excessive water increases porosity and degrades strength, whereas too low a ratio may hinder proper binder hydration and limit strength development. Regarding fiber incorporation, the addition of both PPF and FF had an overall beneficial effect on CS. In both cases, moderate increases in fiber content initially enhanced CS, primarily due to reduced cracking and improved stress distribution within the matrix22. This behavior is attributed to the fibers’ ability to bridge microcracks and transfer loads, enhancing internal cohesion105. However, this trend reverses at higher fiber contents, as observed in the study by26, possibly due to excessive fibers disrupting the homogeneity of the mix and increasing localized porosity.
It should be emphasized that the mechanistic explanations proposed in this study are not based on direct microstructural characterization of the tested mortars but are consistent with well-established findings in the literature. Previous XRD analyses106,107 have confirmed that GP incorporation promotes the consumption of portlandite (CH) through pozzolanic reactions, leading to the formation of additional C–S–H gel and improved matrix densification. Similarly, mercury intrusion porosimetry (MIP) and BSE/SEM imaging studies107,108 have shown that GP reduces capillary porosity and refines pore structure. Regarding fibers, microscopic investigations from prior work109 have illustrated the crack-bridging role of FF and PPF, which delays crack propagation and enhances load transfer across the interfacial transition zone (ITZ). While the present study does not include such microstructural tests, the SHAP-derived insights align well with these reported microstructural mechanisms, providing a consistent interpretative framework.
Conclusion
This study provided a comparative evaluation of three machine learning (ML) techniques—Boosting, Bagging, and Stacking—for predicting the mechanical performance of fiber-reinforced eco-mortars incorporating glass powder (GP) as a partial cement replacement. Based on the results, the following conclusions can be drawn:
-
All developed models showed strong ability to predict slump and compressive strength (CS), with R2 values up to 0.99 and 0.97, respectively. Among Bagging models, Extra Trees was the most effective individual model (R2 = 0.98 for slump, 0.96 for CS, ρ = 0.97), while Random Forest yielded the weakest results with R² = 0.90 and significantly higher errors. Boosting models also demonstrated reliable accuracy, although they were slightly less effective than the best-performing approaches.
-
The Stacking-Boosting hybrid (XGBoost + LightGBM) outperformed all other models, achieving the highest accuracy (R2 = 0.99 for slump, 0.97 for CS), lowest error values (RMSE, MAE), and highest correlation. The Stacking-Bagging hybrid (RF + ET) also showed strong potential, with a particularly low RMSE, but remained slightly less effective than Stacking-Boosting.
-
The SHAP analysis yielded valuable insights into the relative importance of input variables, thereby enhancing model transparency and interpretability. The dosage of superplasticizer (SP), the water-to-binder ratio (W/B), and the water content emerged as the primary drivers of workability, exhibiting high positive SHAP values of approximately + 6.0 and + 5.5, respectively. In terms of strength development, glass powder (GP) displayed the strongest influence (SHAP = + 7.0), followed closely by cement content (SHAP = + 6.5). Notably, both positive and negative correlations between input features and target properties were captured by the SHAP framework, reinforcing confidence in the model’s interpretability and its ability to reflect the complex interactions within eco-mortar formulations.
-
The incorporation of 20% GP improved compressive strength through pozzolanic reactivity, filler effect, and matrix densification. At moderate dosages, FF and PPF fibers enhanced CS by controlling crack propagation and improving stress distribution. At higher fiber contents, however, workability decreased, and mixture uniformity was negatively affected. Nevertheless, PPF proved effective in mitigating excessive slump loss.
Overall, this research highlights the dual contribution of ensemble ML techniques and eco-friendly material innovations. It demonstrates that hybrid Stacking approaches can provide highly accurate and interpretable predictions, while the combination of GP with natural and synthetic fibers offers a viable pathway toward sustainable mortar design.
Practical implications and limitations
Although the direct implementation of GP in large-scale construction remains limited, particularly due to its current lack of standardization and commercialization within cement plants in our region, the findings of this study provide a scientifically validated foundation for future application. The predictive framework developed here, which combines ensemble learning algorithms with SHAP-based interpretability, enables the accurate estimation of both slump and compressive strength for eco-mortars incorporating GP and fibers. While presently applicable primarily within academic or research contexts, these models offer valuable guidance for optimizing mortar formulations, minimizing material waste, and reducing experimental trial-and-error efforts.
Moreover, in anticipation of GP’s integration into commercial cementitious systems, this work supports future decision-support tools for sustainable construction, highlighting clear environmental benefits such as reduced CO2 emissions and enhanced material circularity. From an economic standpoint, partial cement substitution with GP—once standardized—may lower production costs, especially when using locally available waste streams. In contrast, fiber-reinforced mortars based on conventional CEM I binders, especially those incorporating FF and PPF, are already commercially feasible and can be deployed in projects requiring enhanced ductility, thermal resistance, and crack control.
Finally, while this study focused on the development and validation of predictive models (Part A), the next phase of this research (Part B) is programmed to include the implementation of a Graphical User Interface (GUI). This interface will allow practitioners to input mix proportions and directly obtain predicted performance values, thereby translating the present methodological framework into a practical decision-support tool for sustainable construction.
Although the proposed ensemble models demonstrated excellent predictive performance, several limitations remain and pave the way for future research:
-
From a modeling perspective, hyperparameter tuning was not the primary focus of this study. To ensure fairer benchmarking and potentially enhance predictive accuracy, future work should systematically incorporate advanced optimization strategies such as Bayesian search, random/grid search, or metaheuristic algorithms. Furthermore, the application of deep learning architectures—notably Convolutional Neural Networks (CNNs), Long Short-Term Memory (LSTM) networks, and transformer-based frameworks—could enable the capture of more complex and nonlinear interactions between input variables and target properties.
-
Although SHAP analysis has been used to capture global feature importance, future work should integrate LIME to explore localized, instance-level explanations and enhance interpretability, particularly for properties not covered in the present study, such as flexural strength and durability.
-
From a materials science standpoint, the scope of this study was intentionally limited to the prediction of slump and compressive strength at 28 days. Other key performance indicators, particularly durability-related properties (e.g., chloride ion penetration, carbonation depth, freeze–thaw resistance, sulfate attack, etc.), were not investigated and should be prioritized in future studies to evaluate the lifecycle behavior of eco-mortars.
-
Additionally, the experimental database was developed based on 580 laboratory-fabricated mortar mixtures using GP as a partial cement replacement, in combination with flax and polypropylene fibers. To improve model generalizability and applicability, the dataset should be broadened to include other sustainable supplementary cementitious materials (SCMs) such as fly ash, ground granulated blast-furnace slag (GGBS), and calcined clay. This would enable the proposed models to accommodate a broader range of eco-friendly mortar formulations.
Data availability
All data generated or analyzed during this study are included in this published article (and its Supplementary Information files).
Abbreviations
- OPC:
-
Ordinary portland cement
- GP:
-
Glass powder
- SCM:
-
Supplementary cementitious material
- CS:
-
Compressive strength
- C-S-H:
-
Calcium silicate hydrate
- W/C:
-
Water-to-cement ratio
- W/B:
-
Water-to-binder ratio
- FF:
-
Flax fibers
- PPF:
-
Polypropylene fibers
- NaOH:
-
Sodium hydroxide
- AlCl₃:
-
Aluminum chloride
- FS:
-
Flexural strength
- ML:
-
Machine learning
- AI:
-
Artificial intelligence
- SVM:
-
Support vector machines
- GRU:
-
Gated recurrent units
- CNN:
-
Convolutional neural network
- LSTM:
-
Long short-term memory
- XGBoost:
-
Extreme gradient boosting
- RF:
-
Random forest
- ET:
-
Extra trees
- LightGBM:
-
Light gradient boosting machine
- SP:
-
Superplasticizer
- PCE:
-
Polycarboxylate ether
- PEO:
-
Polyether oxide
- R²:
-
Coefficient of determination
- RMSE:
-
Root mean square error
- MAE:
-
Mean absolute error
- MAPE:
-
Mean absolute percentage error
- RRMSE:
-
Relative root mean square error
- ρ (rho):
-
Pearson’s correlation coefficient
- SSA–XGB:
-
Sparrow search algorithm–XGBoost (hybrid model)
- FRP:
-
Fiber-reinforced polymer
- RCP:
-
Recycled concrete powder
- LIME:
-
Local interpretable model-agnostic explanations
- PDP:
-
Partial dependence plots
- ICE:
-
Individual conditional expectation
- ALE:
-
Accumulated local effects
- SHAP:
-
Shapley additive explanations
- MI:
-
Mutual information
References
Mohammad, T., Ibrahim, S. M., Ansari, S. S. & Rehman, A. U. Feasibility study and optimization of limestone calcined clay composites for compressive strength using multi-layered explainable artificial intelligence models. Mater. Today Commun. 40, 109676 (2024).
Manan, A. et al. Environmental and human health impact of recycle concrete powder: an emergy-based LCA approach. Front. Environ. Sci. 12, 1505312 (2024).
Kameche, Z., Djelil, A. & Dahmani, B. Effects of incorporating silica glass powder as a supplementary cementitious material on selected properties of portland cement mortar. J. Build. Eng. 78, 107550 (2023).
Chandra Paul, S., Šavija, B. & Babafemi, A. J. A comprehensive review on mechanical and durability properties of cement-based materials containing waste recycled glass. J. Clean. Prod. 198, 891–906 (2018).
BERKOUCHE, A. et al. Modeling and optimization of eco-friendly cellular foam geopolymer with recycled concrete and glass wastes using Box-Behnken design. Structures 76, 109054 (2025).
Alkhalafalallian, R. & Ekmen, Ş. Optimisation of synergistic utilization of glass and pumice powder in fiber-reinforced mortars: balancing rheology, strength and durability. Constr. Build. Mater. 483, 141598 (2025).
Tahwia, A. M., Essam, A., Tayeh, B. A. & Elrahman, M. A. Enhancing sustainability of ultra-high performance concrete utilizing high-volume waste glass powder. Case Stud. Constr. Mater. 17, e01648 (2022).
Elaqra, H. A., Haloub, M. A. A. & Rustom, R. N. Effect of new mixing method of glass powder as cement replacement on mechanical behavior of concrete. Constr. Build. Mater. 203, 75–82 (2019).
Ibrahim, K. I. M. Recycled waste glass powder as a partial replacement of cement in concrete containing silica fume and fly Ash. Case Stud. Constr. Mater. 15, e00630 (2021).
Lu, J. X. et al. Early-age and microstructural properties of glass powder blended cement paste: improvement by seawater. Cem. Concr Compos. 122, 104165 (2021).
Ahmad, D. A. et al. Effect of waste glass powder as partial cement replacement on fresh properties, mechanical strength, bond, water penetration and thermal conductivity of normal concrete. Multiscale Multidisciplinary Model. Experiments Des. 8, 1–14 (2025).
Abderraouf Belkadi, A. et al. Experimental investigation into the potential of recycled concrete and waste glass powders for improving the sustainability and performance of cement mortars properties. Sustain. Energy Technol. Assess. 64, 103710 (2024).
Islam, G. M. S., Rahman, M. H. & Kazi, N. Waste glass powder as partial replacement of cement for sustainable concrete practice. Int. J. Sustainable Built Environ. 6, 37–44 (2017).
Limantono, H., Ekaputri, J. J. & Susanto, T. E. Effect of silica fume and glass powder on High-Strength paste. Key Eng. Mater. 673, 37–46 (2016).
Aliabdo, A. A., Elmoaty, A., Aboshama, A. Y. & A. E. M. & Utilization of waste glass powder in the production of cement and concrete. Constr. Build. Mater. 124, 866–877 (2016).
Al Goody, A. Y. et al. Correction: comprehensive experimental investigation on using single size glass granular as partial replacement of sand on the fresh and mechanical, durability, thermal conductivity properties of mortar. J. Build. Pathol. Rehabil. 10(2), 106 (2025).
Hammouche, R. et al. Synergistic effects and optimization of cement kiln dust and glass powder incorporation in self compacting mortar using central composite design. Sci. Rep. 15, 1–17 (2025).
Lyes, M. et al. Recycling of brick and road demolition waste in the production of concrete. Sci. Eng. Technol. 4, 14–23 (2024).
Zhang, P., Wang, C., Gao, Z. & Wang, F. A review on fracture properties of steel fiber reinforced concrete. J. Building Eng. 67, 105975 (2023).
Alsuhaibani, E. Mechanical and ultrasonic evaluation of Epoxy-Based polymer mortar reinforced with discrete fibers. Polym. (Basel). 17, 1250 (2025).
Zheng, Y., Zhang, Y., Zhuo, J., Zhang, Y. & Wan, C. A review of the mechanical properties and durability of basalt fiber-reinforced concrete. Constr. Build. Mater. 359, 129360 (2022).
Berkouche, A. et al. Experimental Optimization of Low-Carbon Cellular Foam Geopolymers Incorporating Crushed Stone Sand and Flax Fiber Using Central Composite Design. Iran. J. Sci. Technol. - Trans. Civil Eng. https://doi.org/10.1007/S40996-024-01692-3/METRICS (2024).
Zhang, H., Sarker, P. K., Wang, Q., He, B. & Jiang, Z. Comparative fracture properties of ambient-cured geopolymer concrete containing four different fibers in mono and hybrid combinations using digital image correlation. J. Building Eng. 89, 109288 (2024).
Wu, Z., Shi, C., He, W. & Wang, D. Static and dynamic compressive properties of ultra-high performance concrete (UHPC) with hybrid steel fiber reinforcements. Cem. Concr Compos. 79, 148–157 (2017).
Akın, E. & Rashidi, M. Axial behavior of concrete confined with flax fiber-reinforced polymers. Mater. Today Commun. 28, 102646 (2021).
Guehlouz, I., Ben ammar, B., khadda, Belkadi, A. A. & Soualhi, H. Experimental analysis of mechanical behavior, rheology, and endogenous shrinkage in high-performance concrete with flax and polypropylene fibers. Constr. Build. Mater. 460, 139856 (2025).
Cui, K., Xu, L. & Chi, Y. Deformation behavior of polypropylene fiber reinforced concrete subject to compressive fatigue loading: averaged ε-n curve and probabilistic ultimate fatigue strain model. Compos. Struct. 357, 118914 (2025).
Alomayri, T. & Ali, B. Effect of plant fiber type and content on the strength and durability performance of high-strength concrete. Constr. Build. Mater. 394, 132166 (2023).
Kouta, N., Saliba, J. & Saiyouri, N. Fracture behavior of flax fibers reinforced Earth concrete. Eng. Fract. Mech. 241, 107378 (2021).
Rahimi, M., Omran, A. & Tagnit-Hamou, A. Role of homogenization and surface treatment of flax fiber on performance of cement-based composites. Clean. Mater. 3, 100037 (2022).
Mohebi, Z. H., Bahnamiri, A. B. & Dehestani, M. Effect of polypropylene fibers on bond performance of reinforcing bars in high strength concrete. Constr. Build. Mater. 215, 401–409 (2019).
Gorji Azandariani, M., Vajdian, M., Asghari, K. & Mehrabi, S. Mechanical properties of polyolefin and polypropylene fibers-reinforced concrete–An experimental study. Compos. Part. C: Open. Access. 12, 100410 (2023).
Orouji, M., Zahrai, S. M. & Najaf, E. Effect of glass powder & polypropylene fibers on compressive and flexural strengths, toughness and ductility of concrete: an environmental approach. Structures 33, 4616–4628 (2021).
Alyami, M. et al. Predictive modeling for compressive strength of 3D printed fiber-reinforced concrete using machine learning algorithms. Case Stud. Constr. Mater. 20, e02728 (2024).
Ahmed, T., Elchalakani, M., Karrech, A., Ali, M., Guo, L. & M. S. & Development of ECO-UHPC with very-low-C3A cement and ground granulated blast-furnace slag. Constr. Build. Mater. 284, 122787 (2021).
Subramanya, S. H., Raj, S. D., Kumar, R. & Chandra, S. S. Predicting split tensile strength of Hollow concrete blocks using PCA-enhanced machine learning models. Asian J. Civil Eng. 26, 3533–3551 (2025).
Rathnayaka, M. et al. Machine learning approaches to predict compressive strength of fly ash-based geopolymer concrete: A comprehensive review. Constr. Build. Mater. 419, 135519 (2024).
Ansari, S. S., Ibrahim, S. M. & Hasan, S. D. Interpretable Machine-Learning models to predict the flexural strength of Fiber-Reinforced SCM-Blended concrete composites. J. Struct. Des. Constr. Pract. 30, 04024113 (2024).
Dahish, H. A. & Almutairi, A. D. Compressive strength prediction models for concrete containing nano materials and exposed to elevated temperatures. Results Eng. 25, 103975 (2025).
Ansari, M. A. et al. Incorporating non-destructive UPV into machine learning models for predicting compressive strength in SCM concrete. Mater. Today Proc. https://doi.org/10.1016/J.MATPR.2024.04.059 (2024).
Yang, J. et al. Experimental investigation and AI prediction modelling of ceramic waste powder concrete – An approach towards sustainable construction. J. Mater. Res. Technol. 23, 3676–3696 (2023).
Idrees, S. et al. Automatic concrete slump prediction of concrete batching plant by deep learning. Developments Built Environ. 18, 100474 (2024).
Zhang, X., Akber, M. Z. & Zheng, W. Predicting the slump of industrially produced concrete using machine learning: A multiclass classification approach. J. Building Eng. 58, 104997 (2022).
Pal, A., Ahmed, K. S. & Mangalathu, S. Data-driven machine learning approaches for predicting slump of fiber-reinforced concrete containing waste rubber and recycled aggregate. Constr. Build. Mater. 417, 135369 (2024).
Gomaa, E., Han, T., ElGawady, M., Huang, J. & Kumar, A. Machine learning to predict properties of fresh and hardened alkali-activated concrete. Cem. Concr Compos. 115, 103863 (2021).
Kang, M. C., Yoo, D. Y. & Gupta, R. Machine learning-based prediction for compressive and flexural strengths of steel fiber-reinforced concrete. Constr. Build. Mater. 266, 121117 (2021).
Ansari, S. S., Ansari, H., Khateeb, A. & Ibrahim, S. M. Comparative study of machine learning models for predicting the compressive strength of concrete using Non-Destructive testing methods. Mater. Today Proc. https://doi.org/10.1016/J.MATPR.2024.04.009 (2024).
Askari, D. F. A. et al. Assessing the impact of pozzolanic materials on the mechanical characteristics of UHPC: analysis, and modeling study. Discov. Civ. Eng. 2(1), 1–25 (2025).
Mahmood, H. F., Mustafa, R. O., Mohammed, B. K., Ali, S. S. H. & Ahmad, S. A. Machine learning model to predict the compressive strength of geopolymer mortar modified with palm oil fuel ash, incorporating linear, nonlinear, and artificial neural network (ANN) approaches. Mat. Circ. Econ. 7(1), 1–22 (2025).
Nigam, M. & Verma, M. Prediction of compressive strength of nano-silica concrete by using random forest algorithm. Asian J. Civil Eng. 25, 5205–5213 (2024).
Bentegri, H. et al. Assessment of compressive strength of eco-concrete reinforced using machine learning tools. Sci. Rep. 15(1), 1–24 (2025).
Meng, S., Shi, Z., Xia, C., Zhou, C. & Zhao, Y. Exploring LightGBM-SHAP: interpretable predictive modeling for concrete strength under high temperature conditions. Structures 71, 108134 (2025).
Karthik, M., Varalakshmi, H. A., Madhura, J., Sathvik, S. C. & Kumar, R. Eco-friendly asphalt design: machine learning analysis of stone mastic asphalt containing shredded cigarette butt fibres. Asian J. Civil Eng. https://doi.org/10.1007/S42107-025-01473-X/FIGURES/17 (2025).
Kumar, R. et al. Machine learning approach for predicting the compressive strength of biomedical waste Ash in concrete: a sustainability approach. Discov Mater. 5, 1–21 (2025).
Sathvik, S. et al. Analyzing the influence of manufactured sand and fly Ash on concrete strength through experimental and machine learning methods. Sci. Rep. 15, 1–23 (2025).
Manan, A., Zhang, P., Ahmad, S. & Ahmad, J. Prediction of flexural strength in FRP bar reinforced concrete beams through a machine learning approach. Anti-Corros. Methods Mater. 71, 562–579 (2024).
Manan, A. et al. AI-based constitutive model simulator for predicting the axial load-deflection behavior of recycled concrete powder and steel fiber reinforced concrete column. Constr. Build. Mater. 470, 140628 (2025).
Ali, T. et al. Advanced and hybrid machine learning techniques for predicting compressive strength in palm oil fuel ash-modified concrete with SHAP analysis. Sci. Rep. 15(5), 1–23 (2025).
Alyami, M. et al. Innovative hybrid machine learning models for estimating the compressive strength of copper mine tailings concrete. Case Stud. Constr. Mater. 21, e03869 (2024).
Ullah, I., Javed, M. F., Alabduljabbar, H. & Ullah, H. Estimating the compressive and tensile strength of basalt fibre reinforced concrete using advanced hybrid machine learning models. Structures 71, 108138 (2025).
Miao, X., Chen, B. & Zhao, Y. Prediction of compressive strength of glass powder concrete based on artificial intelligence. J. Building Eng. 91, 109377 (2024).
Ansari, S. S., Azeem, A., Asad, M., Zafar, K. & Ibrahim, S. M. Comparative analysis of conventional and ensemble machine learning models for predicting split tensile strength in thermal stressed SCM-blended lightweight concrete. Mater. Today Proc. https://doi.org/10.1016/J.MATPR.2024.04.081 (2024).
Mulwa, M. M., Mwangi, R. W. & Mindila, A. GMM-LIME explainable machine learning model for interpreting sensor-based human gait. Eng. Rep. 6, e12864 (2024).
Molnar, C. et al. General pitfalls of Model-Agnostic interpretation methods for machine learning models. Lecture Notes Comput. Sci. (including Subser. Lecture Notes Artif. Intell. Lecture Notes Bioinformatics). 13200 LNAI, 39–68 (2022).
Chandra, S. S. et al. Predicting the compressive strength of polymer-infused bricks: A machine learning approach with SHAP interpretability. Sci. Rep. 15, 8090 (2025).
Ansari, S. S., Ibrahim, S. M., Hasan, S. D. & Rehman, A. U. Experiments and predictive modelling on sustainable cementitious mortar with perforated fly Ash cenospheres and effectively dispersed nano silica. Mater. Today Commun. 47, 113020 (2025).
Kumar, S. et al. Smart prediction: hybrid random forest for high-volume fly Ash self-compacting concrete strength. Front. Struct. Civil Eng. 19, 892–918 (2025).
Alyami, M. et al. Machine learning models for predicting the compressive strength of cement-based mortar materials: hyper tuning and optimization. Structures 71, 107931 (2025).
Standard, A. S. T. M. & C1437-20. https://www.boutique.afnor.org/en-gb/standard/astm-c143720/standard-test-method-for-flow-of-hydraulic-cement-mortar/am107366/273578
EN-196-1. Methods of testing cement-part 1: determination of strength. Quality and Standards Authority of Ethiopia. https://www.boutique.afnor.org/en-gb/standard/nf-en-1961/methods-of-testing-cement-part-1-determination-of-strength/fa184622/57803
Huu Nguyen, M., Nguyen, T. A. & Ly, H. B. Ensemble XGBoost schemes for improved compressive strength prediction of UHPC. Structures 57, 105062 (2023).
Nguyen, N. H., Abellán-García, J., Lee, S., Garcia-Castano, E. & Vo, T. P. Efficient estimating compressive strength of ultra-high performance concrete using XGBoost model. J. Building Eng. 52, 104302 (2022).
Daniel, C. A robust LightGBM model for concrete tensile strength forecast to aid in resilience-based structure strategies. Heliyon 10, e39679 (2024).
Alyami, M. et al. Estimating compressive strength of concrete containing rice husk Ash using interpretable machine learning-based models. Case Stud. Constr. Mater. 20, e02901 (2024).
Zakir Sarothi, S., Sakil Ahmed, K., Imtiaz Khan, N., Ahmed, A. & Nehdi, M. L. Predicting bearing capacity of double shear bolted connections using machine learning. Eng. Struct. 251, 113497 (2022).
Zakir Sarothi, S., Sakil Ahmed, K., Imtiaz Khan, N., Ahmed, A. & Nehdi, M. L. Machine learning-based failure mode identification of double shear bolted connections in structural steel. Eng. Fail. Anal. 139, 106471 (2022).
Iqbal, M. F. et al. Sustainable utilization of foundry waste: forecasting mechanical properties of foundry sand based concrete using multi-expression programming. Sci. Total Environ. 780, 146524 (2021).
Azim, I. et al. Prediction of catenary action capacity of RC Beam-Column substructures under a missing column scenario using evolutionary algorithm. KSCE J. Civ. Eng. 25, 891–905 (2021).
Sharma, C. & Ojha, C. S. P. Statistical parameters of hydrometeorological variables: standard Deviation, SNR, skewness and kurtosis. Lecture Notes Civil Eng. 39, 59–70 (2020).
Brown, S. C. & Greene, J. A. The wisdom development scale: translating the conceptual to the concrete. J. Coll. Stud. Dev. 47, 1–19 (2006).
Azfar Shaida, M. et al. Prediction of CO2 uptake in bio-waste based porous carbons using model agnostic explainable artificial intelligence. Fuel 380, 133183 (2025).
Ekanayake, I. U., Meddage, D. P. P. & Rathnayake, U. A novel approach to explain the black-box nature of machine learning in compressive strength predictions of concrete using Shapley additive explanations (SHAP). Case Stud. Constr. Mater. 16, e01059 (2022).
ASTM C 778. 2021 Standard Specification for Standard Sand. https://www.intertekinform.com/en-gb/standards/astm-c-778-2021-149388_saig_astm_astm_3083314/?srsltid=AfmBOoq4MbDSYUESeGfhYMGsAzMbbXJjQkKsF2hKXesXTj7jCKwqrsc9
Ansari, S. S., Ansari, M. A., Shariq, M., Mahdi, F. & Ibrahim, S. M. Ensemble machine learning models to predict the compressive strength and ultrasonic pulse velocity of sustainable concrete. Lecture Notes Civil Eng. 459, 57–69 (2024).
Manan, A. et al. Machine learning prediction of recycled concrete powder with experimental validation and life cycle assessment study. Case Stud. Constr. Mater. 21, e04053 (2024).
Manan, A., Pu, Z., Ahmad, J. & Umar, M. Multi-targeted strength properties of recycled aggregate concrete through a machine learning approach. Eng. Comput. (Swansea). 42, 388–430 (2025).
Jiao, D. et al. Effect of constituents on rheological properties of fresh concrete-A review. Cem. Concr Compos. 83, 146–159 (2017).
Zhang, L., Miao, X., Kong, X. & Zhou, S. Retardation effect of PCE superplasticizers with different architectures and their impacts on early strength of cement mortar. Cem. Concr. Compos. 104, 103369 (2019).
Kong, F. R. et al. Effects of polycarboxylate superplasticizers with different molecular structure on the hydration behavior of cement paste. Constr. Build. Mater. 105, 545–553 (2016).
Sha, S., Wang, M., Shi, C. & Xiao, Y. Influence of the structures of polycarboxylate superplasticizer on its performance in cement-based materials-A review. Constr. Build. Mater. 233, 117257 (2020).
Toledano-Prados, M., Lorenzo-Pesqueira, M., González-Fonteboa, B. & Seara-Paz, S. Effect of polycarboxylate superplasticizers on large amounts of fly Ash cements. Constr. Build. Mater. 48, 628–635 (2013).
Lu, J., xin, Duan, Z. & Poon, C. S. Fresh properties of cement pastes or mortars incorporating waste glass powder and cullet. Constr. Build. Mater. 131, 793–799 (2017).
Adesina, A. et al. Fresh and mechanical properties overview of alkali-activated materials made with glass powder as precursor. Clean. Mater. 3, 100036 (2022).
Al Goody, A. Y. et al. Comprehensive experimental investigation on using single size glass granular as partial replacement of sand on the fresh and mechanical, durability, thermal conductivity properties of mortar. J. Building Pathol. Rehabilitation. 10, 1–9 (2025).
Page, J., Khadraoui, F., Gomina, M. & Boutouil, M. Influence of different surface treatments on the water absorption capacity of flax fibres: rheology of fresh reinforced-mortars and mechanical properties in the hardened state. Constr. Build. Mater. 199, 424–434 (2019).
De Figueiredo, A. D. & Ceccato, M. R. Workability analysis of steel fiber reinforced concrete using slump and Ve-Be test. Mater. Res. 18, 1284–1290 (2015).
Sahmaran, M. & Yurtseven, A. Ozgur Yaman, I. Workability of hybrid fiber reinforced self-compacting concrete. Build. Environ. 40, 1672–1677 (2005).
Page, J., Khadraoui, F., Boutouil, M. & Gomina, M. Multi-physical properties of a structural concrete incorporating short flax fibers. Constr. Build. Mater. 140, 344–353 (2017).
Sawsen, C., Fouzia, K., Mohamed, B. & Moussa, G. Effect of flax fibers treatments on the rheological and the mechanical behavior of a cement composite. Constr. Build. Mater. 79, 229–235 (2015).
Benaddache, L. et al. Comparative study on externally bonded heat-treated jute and glass fiber reinforcement for repair of pre-cracked high performance concrete beams. Archives Civil Mech. Eng. 24, 1–14 (2024).
Zhang, X., Zhao, H., Tao, Z. & Li, W. Performance of sustainable cementitious mortar incorporating hybrid waste glass powder and steel slag. Constr. Build. Mater. 472, 140928 (2025).
Chen, W., Liu, D. & Liang, Y. Influence of ultra fine glass powder on the properties and microstructure of mortars. Fluid Dynamics Mater. Process. 20, 915–938 (2024).
Prochon, P. & Piotrowski, T. The effect of cement and aggregate type and w/c ratio on the bound water content and neutron shielding efficiency of concretes. Constr. Build. Mater. 264, 120210 (2020).
Zhou, J., Ji, L., Gong, C., Lu, L. & Cheng, X. Ceramsite vegetated concrete with water and fertilizer conservation and light weight: effect of w/c and fertilizer on basic physical performances of concrete and physiological characteristics of Festuca arundinacea. Constr. Build. Mater. 236, 117785 (2020).
Das, C. S., Dey, T., Dandapat, R., Mukharjee, B. B. & Kumar, J. Performance evaluation of polypropylene fibre reinforced recycled aggregate concrete. Constr. Build. Mater. 189, 649–659 (2018).
Muhedin, D. A. & Ibrahim, R. K. Effect of waste glass powder as partial replacement of cement & sand in concrete. Case Stud. Constr. Mater. 19, e02512 (2023).
Li, Q., Qiao, H., Li, A. & Li, G. Performance of waste glass powder as a pozzolanic material in blended cement mortar. Constr. Build. Mater. 324, 126531 (2022).
Kabay, N., Miyan, N. & Özkan, H. Utilization of pumice powder and glass microspheres in cement mortar using paste replacement methodology. Constr. Build. Mater. 282, 122691 (2021).
Burgos Cotrina, J. A., Benavides, C., Garcia Chumacero, J. M. & E. A. & Analysis of the combination of glass and polypropylene fibers on the mechanical properties of mortar. J. Building Pathol. Rehabilitation. 10, 1–13 (2025).
Acknowledgements
Acknowledgments: The researcher would like to thank the Deanship of Graduate Studies and Scientific Research, Qassim University, for the financial support provided (QU-APC-2025). Also, during the preparation of this work, the authors used ChatGPT4.5 (OpenAI) to refine language, improve readability, and enhance formatting consistency. After using this tool, the authors thoroughly reviewed and edited the content as needed and took full responsibility for the content of the publication.
Author information
Authors and Affiliations
Contributions
A.A.B., A.B., and A.D. conceived the study. Methodology was developed by A.A.B., E.A., A.B., A.D., and A.C. Software was implemented by S.R., E.A., and A.B., while validation was carried out by S.R., A.B., and A.D. Formal analysis and data curation were performed by S.R., A.A.B., Y.A., E.A., and A.B. The investigation was conducted by S.R., A.A.B., Y.A., E.A., and A.D., with resources provided by S.R., Y.A., A.B., and A.D. Visualization was handled by S.R., Y.A., A.B., and A.D. The original draft was prepared by S.R., A.A.B., Y.A., and A.B., and the manuscript was reviewed and edited by E.A., A.D., and A.C. Supervision and project administration were managed by A.A.B., E.A., and A.C. Funding was acquired by E.A. All authors contributed to the review of the manuscript and approved the final version.
Corresponding author
Ethics declarations
Competing interests
The authors declare no competing interests.
Additional information
Publisher’s note
Springer Nature remains neutral with regard to jurisdictional claims in published maps and institutional affiliations.
Rights and permissions
Open Access This article is licensed under a Creative Commons Attribution-NonCommercial-NoDerivatives 4.0 International License, which permits any non-commercial use, sharing, distribution and reproduction in any medium or format, as long as you give appropriate credit to the original author(s) and the source, provide a link to the Creative Commons licence, and indicate if you modified the licensed material. You do not have permission under this licence to share adapted material derived from this article or parts of it. The images or other third party material in this article are included in the article’s Creative Commons licence, unless indicated otherwise in a credit line to the material. If material is not included in the article’s Creative Commons licence and your intended use is not permitted by statutory regulation or exceeds the permitted use, you will need to obtain permission directly from the copyright holder. To view a copy of this licence, visit http://creativecommons.org/licenses/by-nc-nd/4.0/.
About this article
Cite this article
Rahmani, S., Belkadi, A.A., Achour, Y. et al. Machine learning models with SHAP for performance prediction of eco-friendly fiber reinforced mortars with glass waste. Sci Rep 15, 40973 (2025). https://doi.org/10.1038/s41598-025-24781-3
Received:
Accepted:
Published:
Version of record:
DOI: https://doi.org/10.1038/s41598-025-24781-3












