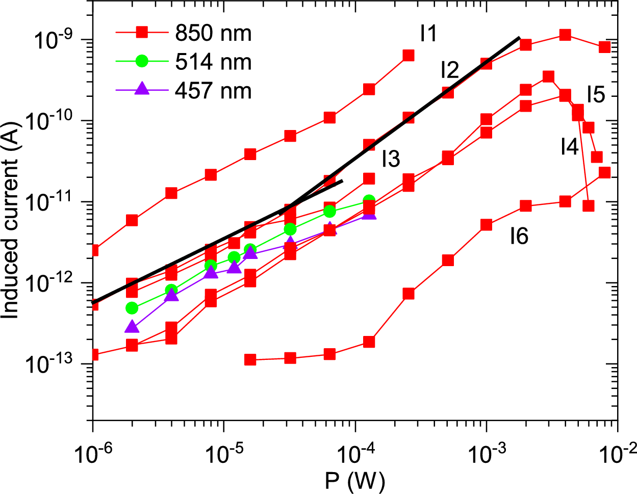
Fig. 5
From: Light-induced current in Cooper pair insulators in NbTiN films

Current through six NbTiN insulator films at 20 mK induced by light pulses. For samples I1, I2, I4, I5, I6 are shown only at wavelength 850 nm. For sample I3 are shown at wavelengths 457, 514, and 850 nm. Solid lines are shown change in the exponent in power dependence of induced current from light power.