Abstract
High-strength and thermally resistant foamed concrete is increasingly demanded in low- to mid-rise energy-efficient buildings, serving as insulating material as well as part of the structural systems in lightweight load-bearing applications. Existing studies characterized foamed concrete strength below 600 °C and thermal/durability properties above 600 °C but inadequately addressed mechanical degradation beyond this threshold. Following the standard procedures for post-fire assessment of buildings, the foamed concrete with densities of 625 and 750 kg/m3 were investigated after exposure to temperatures ranging from ambient to 800 °C, with an emphasis on the residual mechanical properties and macroscopic morphology. The experimental results indicate that fire exposure temperature is the dominant factor affecting the morphological evolution and mechanical degradation, whereas density has a limited influence on the post-fire appearance in low-density mixes. The uniaxial compressive strength, splitting tensile strength, and elastic modulus exhibit similar degradation trends with increasing temperature. Degradation functions are proposed for the stress–strain relations and the compressive and splitting tensile strength for post-fire evaluation. Additionally, the underlying chemical degradation mechanisms responsible for the strength loss is revealed through thermogravimetric and differential scanning calorimetry analyses. These results provide a valuable basis for the structural application and fire safety assessment of high-performance foamed concrete.
Similar content being viewed by others
Introduction
High temperatures weaken the strength and stability of building components, leading to potential structural damage or even building collapse1,2,3,4. In recent years, fire disasters caused by exterior insulation materials have resulted in structural damage to an increasing number of buildings, prompting governments in many regions to enact new regulations for exterior wall insulation systems. These regulations prohibit the use of main insulation systems on the outer walls of newly constructed, renovated, or expanded buildings. Prohibited systems include those constructed using bonding agents or anchor bolts combined with specific construction techniques, rock wool insulation decorative composite panels, and insulation decorative composite panels with a B1 fire performance rating for buildings over certain heights. With many exterior insulation technologies being phased out or restricted, there is a growing trend in the research and utilization of non-combustible insulation materials5,6.
Foamed concrete, a cement-based inorganic material, is a lightweight porous concrete formed by introducing air into a cement matrix through physical or chemical foaming7,8,9. Due to its low density, good heat insulation, favorable fire resistance, and seismic performance, foamed concrete serves mainly as non-load-bearing or light-load-bearing wall materials, floor heating layers, and roof insulation layers in building construction engineering10,11,12,13. However, the porous structure of foamed concrete renders it susceptible to degradation under high temperatures14,15,16. Therefore, it is important to study the performance of foamed concrete at high temperatures.
The fire resistance of foamed concrete has garnered attention in the construction industry. Researchers have investigated the microstructure, the thermal and mechanical properties, and the durability of foamed concrete under high temperatures. For instance, Tan, et al.14 studied the impact of elevated temperatures (< 600 °C) on foamed concrete with varying densities from 300 to 800 kg/m3, including appearance, mass, compressive strength, and elastic modulus. They proposed predictive models for the compressive strength and elastic modulus of foamed concrete at different densities under high temperatures and compared with other existing models. Similarly, Liu, et al.15 delved into expanded vermiculite incorporated foamed concrete under high temperatures (< 900 °C), and reported that a higher content of expanded vermiculite reduced the strength loss rate, total cumulative water absorption, and mitigated the coarsening of the pore structure coarsened pore structure of the cement matrix at high temperatures. Chen, et al.16 analyzed the effects of high temperatures (< 800 °C) on the pore structure, mass loss, water absorption rate, and compressive strength of foamed concrete (with 500 and 750 kg/m3 densities). Othuman and Wang17 focused on studying the thermal properties of foamed concrete with densities between 600 and 1800 kg/m3 under high temperatures (< 1200 ℃) and proposed a calculation model and a numerical model for the thermal parameters under high temperatures. Furthermore, Mydin and Wang 18 revealed that the reduction in stiffness of foamed concrete with 650 and1000 kg/m3 densities primarily occurred after reaching approximately 90 °C, and the compressive strength under high temperatures (< 600 °C) could be predicted using models developed for ordinary concrete. Sayadi, et al.19 demonstrated that an increase in expanded polystyrene (EPS) particle volume led to a significant decrease in thermal conductivity and compressive strength of foamed concrete with densities from 150 to 1200 kg/m3 subjected to high temperatures (< 600 °C). Early studies primarily focused on investigating the strength properties below 600 °C and the thermal and durability properties above 600 °C. However, existing researches15,16,20,21 indicate that more surface cracks and strength loss occur at temperatures above 600 °C. Therefore, it is essential to ensure the mechanical performance of foamed concrete above 600 °C in fire situations.
The aforementioned researches14,15,16,17,18,19 on foamed concrete at temperatures of 800 °C and above have mainly concentrated on micro-pore characteristics and durability performance, whereas research on its mechanical properties under such conditions remains comparatively scarce. Therefore, further research is needed to explore the variations of elastic modulus and splitting tensile strength of foamed concrete under high temperatures. Meanwhile, the compressive strength of cement-based pure slurry foamed concrete is 1.61, 1.92, and 2.44 MPa, respectively, and corresponding densities are 500, 600, and 750 kg/m3 at ambient temperature16. Lower compressive strength at ambient temperature is usually associated with lower pore wall strength, which also affects its strength at high temperature16. Moreover, due to its low strength, it is primarily used as an internal filling material instead of being independently employed in lightweight load-bearing structures. A previous study by the authors9 developed a pure slurry foamed concrete exhibiting lightweight, high strength, and thermally insulating properties. The cube compressive strength of foamed concrete with A07 density reaches almost 5 MPa, representing a considerable advancement over existing research on foamed concrete. To further extend its applications in building construction engineering, its physical and mechanical performance under high temperatures requires thorough investigation.
In this study, the physical and mechanical properties of foamed concrete with two different densities (625 and 750 kg/m3) are examined at both ambient temperature and elevated temperatures (100 °C, 200 °C, 300 °C, 400 °C, 600 °C, 800 °C). The residual physio-mechanical behavior, including macroscopic appearance, failure mode, stress–strain relationship, as well as cube compressive and splitting tensile strength are systematically analyzed. Furthermore, a stress–strain constitutive model for the post-high-temperature behavior of foamed concrete is obtained, combining predictive compressive strength and peak strain with the traditional concrete stress–strain constitutive equations. Finally, the strength degradation mechanism induced from chemical reactions is declared via thermal gravimetric (TG) analysis and differential scanning calorimetry (DSC).
Experimental scheme
Materials and specimens
The main original ingredients for producing foamed concrete includes: Chinese Portland cement P.O 42.5R with a specific surface area 358 m2/kg, dry discharged class I fly ash with a density of 2.4 g/cm3, a polycarboxylate superplasticizer (PR) with water reduction rate reaching up to 30%. The polypropylene (PP) fiber has a length of 12 mm and a diameter of 30 μm, with a tensile strength of 400 MPa, a modulus of 3.5 GPa, an elongation at break of 16%, and an ignition point of 580 ℃. The compound animal protein foaming agent has a PH value of 6.5 and a density of 1.02 g/cm3, and was mixed with water at a ratio of 1:40 by weight to create foam with a density of about 42 g/L. The mixture proportion of the foamed concrete used in this study is shown in Table 1.
The casting process of foamed concrete specimens includes four steps: (ⅰ) mix cement, fly ash and PP fiber homogenously; (ⅱ) add the mixed dry ingredients into the blended solution of water and PR admixture and stir to form a uniform slurry; (ⅲ) pipe pre-prepared foam into the cement slurry and mix uniformly at a speed lower than 800 rpm for 3 min; (ⅳ) pour the fresh mixture into the mold for shaping. Note that the stirring speed should not be too fast and the mixing duration should not be too long to prevent foam breakage. Foam breakage can lead to increasing water-cement ratio, resulting in strength decrease of the foamed concrete. After three days, the foamed concrete specimens are demolded and placed in the curing chamber at 20 ± 2 ℃ with a relative humidity of 95% for curing 28 days.
For each target density and exposure temperature, three specimens were prepared in accordance with the Chinese code JG/T 26622. Totaling 42 prismatic specimens of dimensions 100 mm × 100 mm × 300 mm were casted for axial compressive stress–strain test, and 84 cube specimens with dimensions 100 mm × 100 mm × 100 mm were casted for determining the compressive and splitting tensile strengths.
Elevated temperatures treatment
High moisture content of foamed concrete causes bursting during high temperatures. Thus, the foamed concrete specimens were dried in an oven at 65 °C until reaching a constant weight. A 45-kW box-type resistance furnace was applied to heat specimens at temperatures of 100 °C, 200 °C, 300 °C, 400 °C, 600 °C, and 800 °C. The heating rate and holding time has a significant influence on the mechanical properties of the specimens after high temperature exposure. The heating rate was selected to balance two key considerations: preventing excessive temperature gradients that could induce high thermal stresses leading to cracking or spalling, and controlling the rate of moisture evaporation to avoid internal pressure buildup that may cause explosive failure. Based on these factors and in reference to existing literature16,20, the specimens were heated in the furnace at a rate of 10 ℃/min and held at the target temperature for 2 h so that the center of the specimens reaches the target temperature. Then, the heated specimens were taken out of the furnace and cooled naturally to ambient temperature.
Residual strength test
The mechanical property tests after elevated temperatures were conducted via a SANS electronic testing machine, including the axial compressive stress–strain test, cube compressive strength test, and splitting tensile strength tests on foamed concrete. The setup is shown in Fig. 1. According to Chinese code GB/T 11,96923, the loading rate was 0.05 MPa/s.
Results and discussion
Macroscopic appearance
Figure 2 shows the macroscopic appearances of the foamed concrete with 625 and 750 kg/m3 densities after thermal exposure at ambient temperature, 100 °C, 200 °C, 300 °C, 400 °C, 600 °C, and 800 °C. No visible changes were observed on the surface of the specimens after 100 °C exposure. Similarly, only slight microcracks appeared at the edge of the specimen surface after 200 °C exposure. As the temperature reached 300 °C, more fine cracks appeared on the surface edge and propagated along direction nearly parallel to the adjacent edge. When the temperature increased to 400 °C, the cracks became more pronounced and intersected with each other at surface center, and the surface color turned into grayish. At 600 °C, specimen surface color turned into pale pink, and the surface cracks increased significantly and developed into a network. Also, localized spalling of foamed concrete occurred. At 800 °C, the surface color became faint yellow, and the network cracks continued to propagate resulting in concrete spalling on the surface of the specimen. The specimens were split along the cracks, and the interior almost turned into a powder state. Based on the appearance characteristics, the highest surface temperatures range the material has experienced can be preliminarily determined.
The transition from pale pink to light yellow is primarily governed by the thermal decomposition of hydration products and the oxidation of iron compounds14,16. In particular, the release of chemically bound water from C–S–H gel and the decomposition of calcium hydroxide result in a pinkish appearance, whereas the subsequent decomposition of calcium carbonate and the formation of calcareous phases together with ferric oxides contribute to the yellowish coloration. It is also observed from Fig. 2 that the surface cracks widened as temperature increases, and the cracks near the edge of the surface are wider in general compared with those near the surface center. In addition, the foamed concrete with two different densities has similar macroscopic morphology in general under elevated temperatures, possibly due to their similar physical properties. One key difference is that the cracks in the low-density foamed concrete specimens were wider than those in the high-density specimens, and fewer cracks were observed in the low-density specimens. These findings align with the conclusions from previous researches14,16,18.
Residual stress–strain relationship
The failure mode and residual stress–strain curves of foamed concrete M1 and M2 after elevated temperatures are presented in Figs. 3 and 4. The foamed concrete specimens with two different densities exhibited similar failure modes (see Fig. 3), on which the temperatures exerted minimal impact. At the initial stage of loading, a few vertical cracks emerged at both the top and the bottom of the specimens. These cracks progressively extended towards the middle as the load increased. When the load approached the peak point, the vertical cracks propagated and eventually merged into a primary crack. Subsequently, the stress began to decrease, and the testing machine automatically terminated loading until the stress decreased to 85% of the peak value.
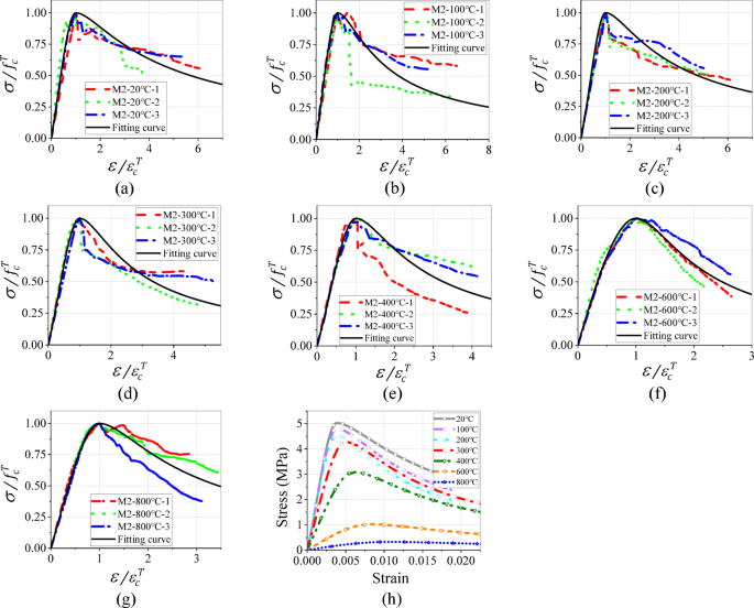
Figure 4 illustrates that the ascending segment of the stress–strain curve primarily reflects elastic compaction, where the foamed concrete undergoes elastic deformation as stress increases. However, brittle compaction due to the compression of weaker or defective pores is also observed, especially at elevated temperatures of 100 °C and 400 °C. After peak stress, the stress–strain curve exhibits both oscillatory decay and brittle fracture behaviors. A slight stress drop occurs as individual pores collapse, followed by a marginal increase when these pores are fully compressed, creating an oscillatory decay. In contrast, brittle fracture causes a rapid stress decline after peak stress. In addition, it is observed that the stress–strain curve progressively flattens as temperatures exceed 600 °C. As shown in Fig. 4, 600 °C was identified as a critical threshold. Below this temperature, strength loss was limited and failure was primarily brittle. Above 600 °C, however, extensive decomposition of internal compounds increased porosity and induced progressive compaction during loading, causing stress to plateau while strain continued to increase after reaching the compressive limit.
Residual prismatic compressive strength, elastic modulus, and peak strain
Figure 5a presents the average prismatic compressive strength, denoted as \({f}_{c}^{T}\)(unit: MPa), which is the maximum stress observed in the stress–strain curve. Elevated temperature induced mechanical alteration of foamed concrete, resulting in a distinct reduction of \({f}_{c}^{T}\). Within the range from ambient temperature to 300 °C, the compressive strength \({f}_{c}^{T}\) decreased gradually and the strength at 300 °C was approximately 85% of that at ambient temperature. As the temperature escalated to 400 °C, the strength dropped rapidly. More specifically, at 400 °C, 600 °C, and 800 °C, the \({f}_{c}^{T}\) values for M1 sharply decreased to 62.2%, 27.9%, and 5.9% of the strength at ambient temperature, while the declined percentage for M2 were 64.1%, 18.9%, and 6%, respectively. At ambient temperature, the porosity of foamed concrete is already much higher than that of normal concrete. Upon heating, the melting of fibers and decomposition of other constituents further increase porosity15,16. Consequently, the internal autoclave phenomenon occurring around 400–500 °C is insufficient to enhance its strength. Thus, in these foamed concretes, only a reduction of strengths can be seen.
The elastic modulus (denoted as \({E}_{c}^{T}\), unit: MPa) shown in Fig. 5b is determined by the secant modulus corresponding to the 40% peak stress point on the rising segment of the stress–strain curve. The degradation pattern of \({E}_{c}^{T}\) at elevated temperatures is similar to that of \({f}_{c}^{T}\). The reduction in \({E}_{c}^{T}\) was gradual when the temperature is below 300 °C, while the reduction rate accelerated sharply as the temperature exceeded 400 °C. At temperatures of 300 °C, 400 °C, 600 °C, and 800 °C, the average \({E}_{c}^{T}\) of M1 and M2 reduced to 77.2%, 48.7%, 13.4%, and 2% of the value at ambient temperature, respectively. As a comparison, the temperature has a greater effect on \({E}_{c}^{T}\) than \({f}_{c}^{T}\) for the foamed concrete with the same density.
Figure 5c illustrates that the peak strain (denoted as \({\varepsilon }_{c}^{T}\)), corresponding to the maximum stress of the stress–strain curve, exhibits a consistent increasing trend with elevated temperatures. However, above 600 °C, the degradation gap between the two concretes with different densities became more apparent due to the significant strength reduction and more surface cracks at high temperatures. The initial strength variations contribute to the instability during the rapid strength drop. This supports the need for studying the mechanical properties of foamed concrete at temperatures above 600 °C, as highlighted in Section “Introduction”.
Figure 5d demonstrates the Poisson ratios (denoted as \(\nu\)) of the foamed concrete with two different densities at elevated temperatures, which was measured by dividing the lateral strain by the axial strain. The experimental results suggest that \(\nu\) shows minimal sensitivity to temperature and density, which can be taken as 0.215.
Residual cube compressive and splitting tensile strength
The cube specimens of foamed concrete with two different densities exhibited similar compressive failure modes after elevated temperature exposures. During the loading stage, microcracks initiated at the top of the specimens. As the applied load increased, these cracks widened, lengthened, and extended vertically through the specimens. Upon failure, a characteristic compressed lens-shaped crack pattern was observed, as shown in Fig. 6a. Similarly, the foamed concrete specimens displayed a consistent splitting failure mode. Cracks initiated around the contact region between the specimen and the wooden strip, and propagated towards the center. As the load increased to the peak point, the specimens split into two halves along the propagating cracks with a snap sound, exhibiting brittle failure15,18,19, as shown in Fig. 6b.
Figure 7 presents the average cube compressive and splitting tensile strengths (denoted as \({f}_{cu}^{T}\) and \({f}_{s}^{T}\), respectively, unit: MPa) and the ranges between their maximum and minimum values of \({f}_{cu}^{T}\) and \({f}_{s}^{T}\) of M1 and M2 under elevated temperatures. Distinct reduction of \({f}_{cu}^{T}\) and \({f}_{s}^{T}\) can be observed from Fig. 7. And the decline trend of \({f}_{cu}^{T}\) was consistent with the prismatic compressive strength \({f}_{c}^{T}\). At 100 °C, 200 °C, 300 °C, 400 °C, 600 °C, and 800 °C, \({f}_{cu}^{T}\) decreased to 99.5%, 92.2%, 89.2%, 69.6%, 24.8%, and 6.6% of the strength at ambient temperature, respectively. However, the splitting tensile strength \({f}_{s}^{T}\) at temperatures of 100 °C, 200 °C, 300 °C, 400 °C, 600 °C, and 800 °C decreased to 85.2%, 75%, 65.5%, 46.1%, 18.9%, and 5.2% of the strength at ambient temperature, respectively. Significant reduction in \({f}_{s}^{T}\) has already occurred between 100 and 200 °C. Apart from the factors related to the reduction of prismatic compressive strength (see Section “Residual prismatic compressive strength, elastic modulus, and peak strain”), one possible explanation is the melting of PP fibers with typical melting temperature between 165 and 173 °C. The melting of PP fibers reduces the splitting tensile strength of foamed concrete.
Residual strength predictive model
Prismatic compressive strength
The residual mechanical properties discussed in Section “Results and discussion” reveals that the strength degradation of foamed concrete at high temperatures is impacted by both initial strength and temperature. Considering that the initial strength is associated with the density of the foamed concrete, the residual strength \({f}_{c}^{T}\) of the foamed concrete at elevated temperatures is calculated as
where \({f}_{c}\) is the prismatic compressive strength at ambient temperature, i.e., is the initial strength (unit: MPa), which is characterized by the density \(\rho\) (unit: kg/m3) of the foamed concrete; T is the temperature (°C); and \({K}_{f}\text{(}T\text{)}\) is the reduction coefficient for a strength performance, dependent on the heating temperature T.
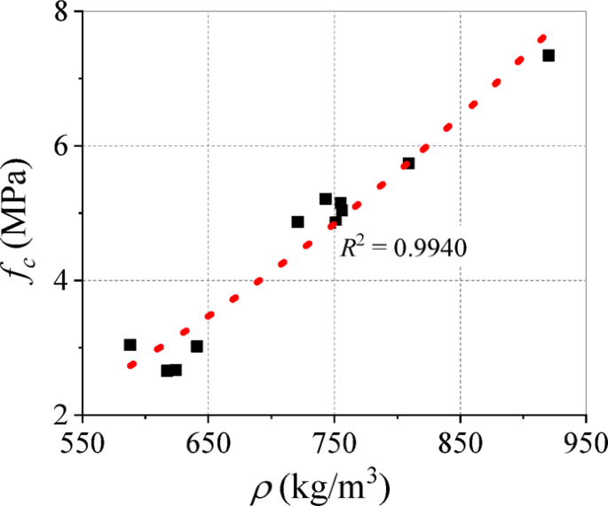
During the mix design for foamed concrete with high strength and high heat-resistance, exponential and polynomial functions provide a more accurate representation of the relationship between the initial strength and the dry density. To improve the accuracy, experimental data from different batches with the same mix-design9,24,25 were integrated (shown in Fig. 8), leading to the following mathematical expression:
There are no standard models to depict the mechanical attenuation of concrete materials under high temperatures. Thus, four widely used constitutive models were tested against our experimental measurements, aimed at motivating the construction of an appropriate constitutive model for foamed concrete. As shown in .
Figure 9, when the temperature is below 300 °C, the Hertz26 model and the Wu27 model for normal concrete offer upper and lower bounds. While, the Tan, et al.14 model for foamed concrete and the EN1992-1-228 model for normal concrete exhibit good agreement with the test results. As the temperature exceeds 400 °C, only the Wu27 model provides reliable prediction. The Tan, et al.14 model is not suitable for residual strength prediction at temperatures above 800 °C.
Based on the proceeding discussions, a piecewise smooth polynomial is proposed to calculate the reduction coefficient \({K}_{f}\text{(}T\text{)}\):
Substituting Eqs. (2) and (3) into Eq. (1), the residual strength \({f}_{c}^{T}\) is related to temperature and density as
Elastic modulus
Based on the experimental results in Section “Residual prismatic compressive strength, elastic modulus, and peak strain”, the elastic modulus and the prismatic compressive strength have a similar degradation pattern. These observations are consistent with existing results from the literature, which concludes that these two properties are influenced by the same factors18,29. Hence, an expression similar to Eq. (1) is adopted to depict the variation of modulus after high temperatures:
where \({E}_{c}\) is the elastic modulus at ambient temperature, \({E}_{c}^{T}\) is the elastic modulus after elevated temperatures, and \({K}_{E}\text{(}T\text{)}\) is the reduction coefficient for modulus.
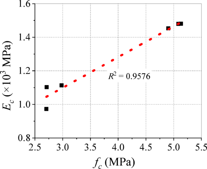
Based on the data obtained from the test (see Fig. 10), the relationship between the initial modulus \({E}_{c}\) and the strength \({f}_{c}\) of the foamed concrete at ambient temperature takes the form:
Substituting Eq. (2) into Eq. (6), the expression of \({E}_{c}\) associating with density can be obtained:
Three most widely used modulus predictive models are compared with our test results for concrete materials at different temperatures, and the results are shown in .
Figure 11 The modulus prediction of Wu27 model and Chang, et al.30 model for normal concrete is quite consistent with our tested value as temperatures less than 200 ℃. On the other hand, the EN1992-1-228 model does not reflect the modulus degradation upon elevating temperature for concrete materials. While, the Tan, et al.14 model and the Wu27 model are not suitable for temperatures above 800 °C. All the proceeding models underestimate the degradation degree compared with our test data, particularly in the temperature range between 200 and 400 ℃ where the discrepancy is most significant. Also, the predictive models are linear for temperatures below 200 °C, and the trend demarcation point in this study is 300 ℃.
Based on the experimental measurement of the modulus degradation, piecewise functions are adopted in this paper:
Comparing Eqs. (3) and (8), it is observed that the degradation part of the elastic modulus and the prismatic compressive strength have the same function form, differing only in the decay rates. Furthermore, the final expression of \({E}_{c}^{T}\) as a function of temperature and density is derived by substituting Eq. (7) into Eq. (8).
Peak strain
Mydin and Wang18 recommended that the peak strain of foamed concrete was about 1.78 times the elastic strain at ultimate stress, as prescribed in EN1992-1-228. We found that it is more appropriate to use the multiples of 1.36 for M1 and 1.16 for M2 for foamed concrete in this paper. However, due to the presence of a few outliers in the calculation results, this method is not recommended for strain prediction of foamed concrete in this study.
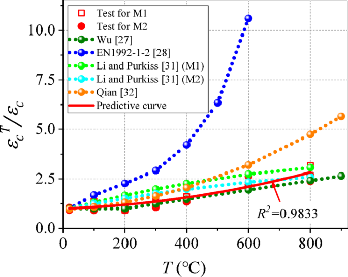
Figure 12 presents a comparison of several existing predictive models27,28,31,32 with our test peak strain. It is found that the EN1992-1-228 model (see Table 3.1 of the code) provides much higher results than the measurements and is not suitable for our foamed concrete. Both Wu27 model and Li and Purkiss31 model for ordinary concrete after high temperature exposure provide closer agreement with the test results. Among all these models, the Wu27 model provides good prediction, but its predictions tend to be conservative for temperatures above 600 ℃.
Based on these considerations, a predictive model for the relationship between the peak strain and temperature is shown in .
Figure 13, and the peak strain enlargement coefficient \({K}_{\varepsilon }\text{(}T\text{)}\) and peak strain \({\varepsilon }_{c}^{T}\) can be calculated as:
Stress–strain relationship
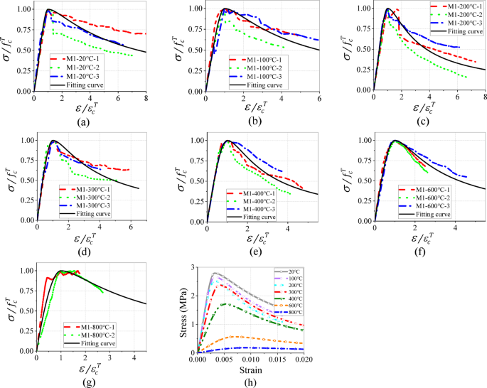
The stress–strain curves from the tests were normalized, with strain and stress represented as ratios relative to their peak values on the horizontal and vertical axis respectively, as shown in Figs. 14 and 15. Notably, the normalized stress–strain curves of foamed concrete after high-temperature exposure exhibit geometric similarities to those of normal concrete. Thus, the concrete stress–strain model by Guo33 was adopted for analysis, as indicated:
where the parameter a represents the ratio of initial tangent modulus to the secant modulus at the peak point, and a smaller a value indicates greater material brittleness; the parameter b reflects the rate of stress reduction in the descending segment, with a larger b value indicating a steeper slope.
Parameters a and b were calculated via Eq. (11) (see Table 2). Regression analysis established their relationship with temperature T, as presented in Eqs. (12) and (13):
According to the predictive results of prismatic compressive strength, elastic modulus, and peak strain in Sections “Prismatic compressive strength” to “Peak strain”, the predicted stress–strain curves can be obtained as Figs. 14h and 15h. Upon comparing the normalized fitting curves with the experimental data, a good agreement between the experimental and predicted values is achieved.
Cube compressive and splitting tensile strength
In Sections “Residual stress–strain relationship” and “Residual prismatic compressive strength, elastic modulus, and peak strain”, the experimental measurements show that the strength degradation trends of the uniaxial prismatic compressive strength \({f}_{c}^{T}\) and cube compressive strength \({f}_{cu}^{T}\) are extremely similar. Figure 16 shows the evolution of the ratio \(\alpha = f_{cu}^{T} /f_{c}^{T}\) for foamed concrete M1 and M2 at elevated temperatures, which is insensitive to temperature and is taken as 1.08. Hence, the cube compressive strength \({f}_{cu}^{T}\) is determined by multiplying the prismatic compressive strength \({f}_{c}^{T}\) in Eq. (8) with 1.08. Similarly, the evolution of the ratio \({{\upbeta} =f}_{s}^{T}/{f}_{c}^{T}\) between the splitting tensile strength \({f}_{s}^{T}\) and the prismatic compressive strength \({f}_{c}^{T}\) is shown in Fig. 16, which is also insensitive to temperature and is taken as 0.112, and \({f}_{s}^{T}\) can be obtained by multiplying Eq. (8) by 0.112.
Verification of predictive results
Detailed comparisons between experiment and predictive results are further plotted in Fig. 17a for strength reduction coefficient \({K}_{f}\text{(}T\text{)}\), Fig. 17b for reduction coefficient of elastic modulus \({K}_{E}\text{(}T\text{)}\), and Fig. 17c for enlargement coefficient of peak strain \({K}_{\varepsilon }\text{(}T\text{)}\). Meanwhile, some previous test results on foamed concrete after elevated temperatures is plotted for comparison. It can be declared that the proposed reduction coefficient models for a strength, elastic modulus, and peak strain can achieve agreed predictive results with regarding to test results.
From Fig. 17a, the uniaxial compressive reduction coefficient \({K}_{f}\text{(}T\text{)}\) for foamed concrete M1 and M2 are similar, with some differences at 100 ℃ and 600 ℃. Before 400 ℃, the coefficients are similar to other studies, but after 600 ℃, they are lower than previous studies. This may be due to different admixtures, heating regimes, and cracks caused by temperature differences after cooling, which change the performance degradation law of foamed concrete. Figure 17b shows that reduction coefficients of elastic modulus \({K}_{E}\text{(}T\text{)}\) for M1 and M2 after high temperatures are consistent, with differences generally within 10% compared to other studies. In Fig. 17c, the enlargement coefficient of peak strain \({K}_{\varepsilon }\text{(}T\text{)}\) for M1 and M2 follows a similar increasing trend with temperatures. However, there is greater data dispersion at 800 ℃, possibly due to chemical changes causing the softening and weakening of foamed concrete, leading to increased cracking and greater variability in crack dispersion after high temperatures. Following the approach outlined in Section “Stress–strain relationship”, the predicted values in Figs. 17d and 14e match the experimental values well of cube compressive and splitting tensile strengths.
Based on a comparison of test results for similar densities, it can be observed that the strength of the foamed concrete M1 developed in this study at ambient temperature is approximately 1.28 times that of Tan, et al.14 and 1.15 times that of Chen, et al.16. Up to 400 ℃, the residual strength of the foamed concrete in this study after high-temperature exposure is higher than that of Tan, et al.14 and Chen, et al.16. However, when the temperature exceeds 400 ℃, the residual concrete strength of this study is lower than that of Tan, et al.14 and Chen, et al.16. This finding also supports the previous conclusions: (a) The different mix ratios of foamed concrete may lead to different performance degradation laws; (b) the high-temperature performance of foamed concrete, when applied in practical engineering, relies on experimental determination.
Previous researches either lack residual mechanical property data above 800 °C14,18,34 or do not include elastic modulus testing16. In contrast, the reduction coefficients of \({K}_{f}\text{(}T\text{)}\), \({K}_{E}\text{(}T\text{)}\), and cubic compressive strength \({f}_{cu}^{T}\) in Fig. 17 indicate that foamed concrete continues to lose strength above 800 ℃, and its insufficient load-bearing capacity upon detailed assessment would severely impact building safety. Therefore, experimental research on the residual strength of materials above 800 ℃ is of significant importance for the practical application of this material in engineering.
Degradation mechanism analysis
The macroscopic appearance changes at elevated temperatures due to thermal imbalance between the foamed concrete slurry and the pores, which causes varying degrees of expansion and contraction35,36,37. As outlined in Section “Macroscopic appearance”, it becomes apparent that the resistance of foamed concrete to crack propagation diminishes under high-temperature conditions, thereby contributing to the decrease in strength38. Furthermore, a significant theory posits that chemical changes contribute to the degradation of mechanical properties16,39. Thus, tests of thermal gravimetric (TG) analysis and differential scanning calorimetry (DSC) were conducted according to ASTM E1269-1140 to explain mechanical changes of foamed concrete exposed to high temperatures.
Given the similar TG and DSC profiles of M1 and M2, only a representative test graph is shown in Fig. 18. The TG curve presents the weight loss of foamed concrete at high temperatures. While, the DTG is the first derivative of TG with respect to temperature, indicating the rate of thermal weight loss. DSC reflects the rate of heat absorption or release in foamed concrete. Each peak in the DSC and TG curves represents physical and chemical changes in the material.
In the provided Fig. 18, both the TG and DSC test results exhibit three consistent endothermic stages. Strength reduction below 300 °C can be attributed to the evaporation of gel water and the partial decomposition of C–S–H gel14,41. The degradation of mechanical properties at this stage is exemplified by the prismatic axial compressive strength, which decreases by 15% compared to its strength at ambient temperature. Calcium hydroxide plays a pivotal role in facilitating an alkaline environment for the secondary reaction of low-hydrated cementitious materials, thereby further enhancing the strength of the foamed concrete material14,42. Nevertheless, within the temperature range of 400–600 °C, calcium hydroxide undergoes decomposition, leading to the release of chemically combined water. With a peak at 435.47 °C to 438.34 °C, the mass loss ranges from 3.3 to 4.09%. Consequently, this phase exhibits a relatively substantial decline in strength compared to the preceding stage. For instance, the prismatic axial compressive strength decreases by 55% at this stage. As the temperatures elevate from 600 to 800 °C, calcium carbonate decomposes to form calcareous aggregates, resulting in a significant strength dropping of foamed concrete43,44. With a peak at 719.58 °C to 754.48 °C, the mass loss rate during this stage ranges from 9.46 to 13.16%. At this stage, the prismatic compressive strength decreases by 20%.
Conclusions
This study investigated the residual physio-mechanical properties of low-density foamed concrete after elevated temperature exposure and proposed predictive models for strength degradation. The main findings are as follows:
-
1.
Critical temperature thresholds govern the macroscopic appearance changes: minor surface cracks appear below 400 °C, networked cracks and pink color emerge at 600 °C, while significant spalling and yellowish discoloration occur at 800 °C.
-
2.
The uniaxial compressive strength, splitting tensile strength, and elastic modulus degrade markedly with elevated temperatures, with strength losses of approximately 15%, 55%, and 20% across the three identified thermal decomposition stages. Poisson’s ratio remains essentially unchanged (about 0.215), whereas peak strain increases with temperature.
-
3.
Quadratic polynomial models incorporating both temperature and density accurately predict the residual strengths and stress–strain relations, showing strong agreement with experimental measurements.
Macroscopic morphology can serve as a preliminary fire-damage indicator, while the proposed predictive models provide a reliable tool for post-fire structural assessment. Furthermore, this study focuses on foamed concrete with only two specific densities. Additional validation is needed to evaluate the suitability of the predictive models for foamed concrete with lower and higher densities.
Data availability
All data generated or analysed during this study are included in this published article.
Reference s
Kiakojouri, F., De Biagi, V., Chiaia, B. & Sheidaii, M. R. Strengthening and retrofitting techniques to mitigate progressive collapse: A critical review and future research agenda. Eng. Struct. https://doi.org/10.1016/j.engstruct.2022.114274 (2022).
Kodur, V. K. R. & Banerji, S. Comparative fire behavior of reinforced concrete beams made of different concrete strengths. Fire Technol. https://doi.org/10.1007/s10694-023-01375-x (2023).
Ma, Q. M., Guo, R. X., Zhao, Z. M., Lin, Z. W. & He, K. C. Mechanical properties of concrete at high temperature-A review. Constr. Build. Mater. 93, 371–383. https://doi.org/10.1016/j.conbuildmat.2015.05.131 (2015).
Narayanaswamy, P., Srinivasan, S. K. & Murugan, P. Developments and research on fire-induced progressive collapse behaviour of reinforced concrete elements and frame–a review. Environ. Sci. Pollut. Res. 30, 72101–72113. https://doi.org/10.1007/s11356-022-22336-x (2023).
Huang, X. Y., Wang, Y. & Guillaume, E. Special issue on facade flammability and fire engineering. Fire Technol. 59, 1–3. https://doi.org/10.1007/s10694-023-01361-3 (2023).
Yan, W. G., Jiang, L., An, W. G., Zhou, Y. & Sun, J. H. Large scale experimental study on the fire hazard of buildings’ U-shape facade wall geometry. J. Civ. Eng. Manag. 23, 455–463. https://doi.org/10.3846/13923730.2016.1210671 (2017).
Ramamurthy, K., Nambiar, E. K. K. & Ranjani, G. I. S. A classification of studies on properties of foam concrete. Cem. Concr. Comp. 31, 388–396. https://doi.org/10.1016/j.cemconcomp.2009.04.006 (2009).
Liu, M. Y. J., Alengaram, U. J., Jumaat, M. Z. & Mo, K. H. Evaluation of thermal conductivity, mechanical and transport properties of lightweight aggregate foamed geopolymer concrete. Energ. Build. 72, 238–245. https://doi.org/10.1016/j.enbuild.2013.12.029 (2014).
Ding, X. M., Yu, J., Lin, J. K., Chen, Z. F. & Li, J. B. Experimental investigations of prefabricated lightweight self-insulating foamed concrete wall panels. Structures https://doi.org/10.1016/j.istruc.2024.106001 (2024).
Ahmad, M. R. & Chen, B. Experimental research on the performance of lightweight concrete containing foam and expanded clay aggregate. Compos. Part B.Eng. 171, 46–60. https://doi.org/10.1016/j.compositesb.2019.04.025 (2019).
Raj, A., Sathyan, D. & Mini, K. M. Physical and functional characteristics of foam concrete: A review. Constr. Build. Mater. 221, 787–799. https://doi.org/10.1016/j.conbuildmat.2019.06.052 (2019).
Amran, Y. H. M., Farzadnia, N. & Ali, A. A. A. Properties and applications of foamed concrete: A review. Constr. Build. Mater. 101, 990–1005. https://doi.org/10.1016/j.conbuildmat.2015.10.112 (2015).
Jones, M. R. & McCarthy, A. Preliminary views on the potential of foamed concrete as a structural material. Mag. Concr. Res. 57, 21–31. https://doi.org/10.1680/macr.57.1.21.57866 (2005).
Tan, X. J. et al. Influence of high temperature on the residual physical and mechanical properties of foamed concrete. Constr. Build. Mater. 135, 203–211. https://doi.org/10.1016/j.conbuildmat.2016.12.223 (2017).
Liu, J. B. et al. Physical and mechanical properties of expanded vermiculite (EV) embedded foam concrete subjected to elevated temperatures. Case Stud. Constr. Mat. https://doi.org/10.1016/j.cscm.2022.e01038 (2022).
Chen, X. D., Shi, D. D., Zhang, J. H. & Cheng, X. Y. Experimental investigation of the residual physical and mechanical properties of foamed concrete exposed to high temperatures. J. Mater. Civ. Eng. https://doi.org/10.1061/(Asce)Mt.1943-5533.0003779 (2021).
Othuman, M. A. & Wang, Y. C. Elevated-temperature thermal properties of lightweight foamed concrete. Constr. Build. Mater. 25, 705–716. https://doi.org/10.1016/j.conbuildmat.2010.07.016 (2011).
Mydin, M. A. O. & Wang, Y. C. Mechanical properties of foamed concrete exposed to high temperatures. Constr. Build. Mater. 26, 638–654. https://doi.org/10.1016/j.conbuildmat.2011.06.067 (2012).
Sayadi, A. A., Tapia, J. V., Neitzert, T. R. & Clifton, G. C. Effects of expanded polystyrene (EPS) particles on fire resistance, thermal conductivity and compressive strength of foamed concrete. Constr. Build. Mater. 112, 716–724. https://doi.org/10.1016/j.conbuildmat.2016.02.218 (2016).
Canbaz, M., Dakman, H., Arslan, B. & Büyüksungur, A. The effect of high-temperature on foamed concrete. Comput. Concrete. 24, 1–6. https://doi.org/10.12989/cac.2019.24.1.001 (2019).
Gencel, O. et al. Effect of waste marble powder and rice husk ash on the microstructural, physico-mechanical and transport properties of foam concretes exposed to high temperatures and freeze-thaw cycles. Constr. Build. Mater. 291, ARTN 123374. https://doi.org/10.1016/j.conbuildmat.2021.123374 (2021).
Vol. JG/T 266 (Standards Press of China, Beijing, China, 2011).
Vol. GB/T 11969 (Standards Press of China, Beijing, China, 2008).
Chen, L. Experimental study on the durability of assembled foamed concrete filled walls (Southeast University, 2019).
Zhao, Z. Y. Study on the mechanical properties of foamed concrete prefabricated filled wallboards (Southeast University, 2019).
Hertz, K. D. Concrete strength for fire safety design. Mag Concrete Res 57, 445–453. https://doi.org/10.1680/macr.2005.57.8.445 (2005).
Wu, B. Mechanical Properties of Reinforced Concrete Structures after fire (Science Press, 2003).
Vol. EN1992–1–2 (European Committee for Standardisation Document: Brussels, 2004).
Malhotra, H. L. Design of fire-resisting structures (Surrey University Press, 1982).
Chang, Y. F., Chen, Y. H., Sheu, M. S. & Yao, G. C. Residual stress-strain relationship for concrete after exposure to high temperatures. Cem. Concr. Res. 36, 1999–2005. https://doi.org/10.1016/j.cemconres.2006.05.029 (2006).
Li, L. Y. & Purkiss, J. Stress-strain constitutive equations of concrete material at elevated temperatures. Fire Saf. J. 40, 669–686. https://doi.org/10.1016/j.firesaf.2005.06.003 (2005).
Qian, Z. Z. In Proceedings of the Third National Structural Engineering Academic Conference Engineering Mechanics Editorial Department of the Chinese Society of Mechanics, 121–126 (1994).
Guo, Z. H. Strength and deformation of concrete: experimental basis and constitutive relationships (Tsinghua University Press, 1997).
Mydin, M. A. O., Zamzani, N. M. & Ghani, A. N. A. Experimental data on compressive and flexural strengths of coir fibre reinforced foamed concrete at elevated temperatures. Data Brief https://doi.org/10.1016/j.dib.2019.104320 (2019).
Chen, B., Li, C. L. & Chen, L. Z. Experimental study of mechanical properties of normal-strength concrete exposed to high temperatures at an early age. Fire Saf. J. 44, 997–1002. https://doi.org/10.1016/j.firesaf.2009.06.007 (2009).
Scherer, G. W. Thermal expansion kinetics: Method to measure permeability of cementitious materials: I, theory. J. Am. Ceram. Soc. 83, 2753–2761. https://doi.org/10.1111/j.1151-2916.2000.tb01627.x (2000).
Ai, H., Young, J. F. & Scherer, G. W. Thermal expansion kinetics: Method to measure permeability of cementitious materials: II, Application to hardened cement pastes (vol 84, pg 385, 2001). J Am Ceram Soc 87, 1611–1611 (2004).
Ahmad, S., Sallam, Y. S. & Al-Hawas, M. A. Effects of key factors on compressive and tensile strengths of concrete exposed to elevated temperatures. Arab. J. Sci. Eng. 39, 4507–4513. https://doi.org/10.1007/s13369-014-1166-8 (2014).
Huang, Z. C. et al. Improving the post-fire behaviour of steel slag coarse aggregate concrete by adding GGBFS. J. Build. Eng. https://doi.org/10.1016/j.jobe.2023.107283 (2023).
Vol. ASTM E1269–11 (ASTM International, 2011).
Saad, M., AboElEnein, S. A., Hanna, G. B. & Kotkata, M. F. Effect of temperature on physical and mechanical properties of concrete containing silica fume. Cem. Concr. Res. 26, 669–675. https://doi.org/10.1016/S0008-8846(96)85002-2 (1996).
Min, L., Qian, C. X. & Wei, S. Mechanical properties of high-strength concrete after fire. Cem. Concr. Res. 34, 1001–1005. https://doi.org/10.1016/j.cemconres.2003.11.007 (2004).
Novak, J. & Kohoutkova, A. Mechanical properties of concrete composites subject to elevated temperature. Fire Saf. J. 95, 66–76. https://doi.org/10.1016/j.firesaf.2017.10.010 (2018).
Masse, S., Vetter, G., Boch, P. & Haehnel, C. Elastic modulus changes in cementitious materials submitted to thermal treatments up to 1000 °C. Adv. Cem. Res. 14, 169–177. https://doi.org/10.1680/adcr.14.4.169.38911 (2002).
Funding
The works described in this paper are financially supported by National Program on Key R&D Project of China (2022YFE0210500), the National Natural Science Foundation of China (52108120, 52408511, 52078120), the Natural Science Foundation of Jiangsu Province (BK20210258, BK20241333), the State Key Laboratory of Disaster Reduction in Civil Engineering (SLDRCE23-04), the Major Special Projects of Science and Technology Plan of Tibet Autonomous Region (XZ202201ZD0002G-02). The financial support is gratefully appreciated.
Author information
Authors and Affiliations
Contributions
Xiaomeng Ding drafted the original manuscript, conducted formal analysis, and managed the project. Ran Ma contributed to manuscript review and editing, and methodology. Ming Xu performed the investigation, methodology, and provided supervision. Kezheng Wu contributed to data curation and formal analysis. Zhongfan Chen provided resources, acquired funding, and managed the project. All authors reviewed and approved the final manuscript.
Corresponding author
Ethics declarations
Competing interests
The authors declare no competing interests.
Additional information
Publisher’s note
Springer Nature remains neutral with regard to jurisdictional claims in published maps and institutional affiliations.
Rights and permissions
Open Access This article is licensed under a Creative Commons Attribution-NonCommercial-NoDerivatives 4.0 International License, which permits any non-commercial use, sharing, distribution and reproduction in any medium or format, as long as you give appropriate credit to the original author(s) and the source, provide a link to the Creative Commons licence, and indicate if you modified the licensed material. You do not have permission under this licence to share adapted material derived from this article or parts of it. The images or other third party material in this article are included in the article’s Creative Commons licence, unless indicated otherwise in a credit line to the material. If material is not included in the article’s Creative Commons licence and your intended use is not permitted by statutory regulation or exceeds the permitted use, you will need to obtain permission directly from the copyright holder. To view a copy of this licence, visit http://creativecommons.org/licenses/by-nc-nd/4.0/.
About this article
Cite this article
Ding, X., Ma, R., Xu, M. et al. Residual physio-mechanical properties and degradation analysis of foamed concrete exposed to elevated temperatures. Sci Rep 15, 41034 (2025). https://doi.org/10.1038/s41598-025-24934-4
Received:
Accepted:
Published:
Version of record:
DOI: https://doi.org/10.1038/s41598-025-24934-4




















